Samuel Sossalla
@SamuelSossalla
Followers
571
Following
1K
Media
24
Statuses
385
Cardiologist & Clinician Scientist. Chair of Cardiology at: University Hospital Gießen & Kerckhoff-Clinic Bad Nauheim, Germany. Tweets are my own.
Gießen, Hessen
Joined December 2018
Proud to be Part of this outstanding authors team that@SamuelSossalla has brought together to address unresolved questions on Heart Failure and Afib. @ESCHeartFailure @DGK_org @UKGM_Presse @WGPharmacoChair @DiRudiger
onlinelibrary.wiley.com
Heart failure (HF) and atrial fibrillation (AF) are major global health challenges with rising prevalence and significant morbidity, mortality, and healthcare burden. Despite advances in HF managem...
0
2
6
@CircAHA Thank you for publishing or work! Don‘t wait ➡️ ablate ‼️ all patients in end-stage #HeartFailure with #AFib @Phiso_de @SamuelSossalla @harry_crijns @nmarrouche @ChristianHeeger @purerfellner @AGEP_DGK @DGK_org @YoungDgk @TinaBaykaner45 @drjohnm @HdzNrw
1
5
16
0
0
2
Why does restoring sinus rhythm in HF&AF improve outcomes? A new mechanism behind CASTLE-HTx: AF rapidly worsens contractility and Ca handling in human failing hearts https://t.co/6uTfpV3qrx
@chris_sohns @nmarrouche @Phiso_de @Dominik_Linz @ESC_Journals @ehra_esc #EPeeps
onlinelibrary.wiley.com
Click on the article title to read more.
2
5
11
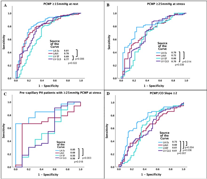
Simultaneous Publication with #ESCCongress 2025 in #CircHF: Abnormal Left Atrial Strain by CMR is Associated w. Left Heart Disease in Patients w. Pulmonary Hypertension #ESC2025 @SamuelSossalla @anderassy @AndreasJ_Rieth
https://t.co/uzVtur9j8F
#AHAJournals @DrNancySweitzer
0
2
9
Just presented at #ESC2025 now published in @CircAHA! The CASTLE is back! @Phiso_de @nmarrouche @SamuelSossalla @AGEP_DGK @DGK @melhamriti @TinaBaykaner @YoungDgk @ChristianHeeger @veramasloo @laura_rottner @sebFeickert @HdzNrw #AGEP_NextLevel
https://t.co/g5Pp4ofbaU
ahajournals.org
2
15
42
The ESC is looking for an internationally recognised expert in clinical cardiovascular pharmacology to lead the European Heart Journal – Cardiovascular Pharmacotherapy. Find out more and apply by 30 Sept 2025. https://t.co/ftEmOuQpXc
0
3
3
The #CASTLE is back! Thank you @escardio for selecting our data for another late braking clinical science session! 3-year outcomes of CASTLE HTx @SamuelSossalla @Phiso_de @harry_crijns @nmarrouche @melhamriti @AGEP_DGK @DGK_org @afnet_ev @YoungDgk
0
8
33
SGLT2 inhibitors may be good for your heart in many ways. Here is one of them https://t.co/eW09rtQTqm
@SamuelSossalla @UKGM @DiRudiger @J_Sedighi @tom_luedde @chris_sohns
2
3
7
👏@LuddeMark from our department: Important work indicating that SGLT2 inhibitors are associated with a reduced incidence of AF in type 2 diabetes mellitus. New antiarrhythmic agent? Or effects via re-remodeling?
SGLT2 inhibitors may be good for your heart in many ways. Here is one of them https://t.co/eW09rtQTqm
@SamuelSossalla @UKGM @DiRudiger @J_Sedighi @tom_luedde @chris_sohns
0
0
1
Welcome to this new account representing the @escardio Working Group on Cardiovascular Pharmacotherapy. Please follow for updates from our team highlighting news, events and developments in this exciting field.
2
8
20
🚨New #OpenAccess Article in @JICE_EP Acute Outcomes of Cryoballoon vs. Circular vs. Pentaspline Pulsed Field Ablation Catheters in Combined PVI & Roof line Ablation 🧐📖 https://t.co/efw4de2fIR by Joerg Yogarajah, Julie Hutter, Patrick Kahle, Philipp Beaujean, Marko Tomic,
0
7
20
What a fantastic success 😀🍀👏 'Cardio Pulmonary Institute' for the 4th time in a row awarded 'Excellence Cluster' status by the #DFG #Exzellenzwettbewerb Thanks to all wonderful scientists contributing over 19 years 🫶 @dzhk_germany @StefanieDimmel1 @CPI_ExStra
@ERC_Research
0
5
32
🚨New findings from DECAAF2‼️ MRI helps to identify arrhythmia-induced cardiomyopathy https://t.co/fT1GFcywuV
@TulaneTriad @HdzNrw @nmarrouche @Phiso_de @EJHFEiC @SamuelSossalla @AGEP_DGK @afnet_ev @YoungDgk @HanFengGHD @AlaAssaf3 @westernAFib @ChristianHeeger
onlinelibrary.wiley.com
Arrhythmia-induced cardiomyopathy (AIC) in left ventricular systolic dysfunction with atrial fibrillation (AF). HFrEF, heart failure with reduced ejection fraction; LVEF, left ventricular ejection...
1
11
27
Clinical Considerations for Competitive Sports Participation for Athletes With Cardiovascular Abnormalities: A Scientific Statement From the American Heart Association and American College of Cardiology @CircAHA
https://t.co/A9URLJO6yw
0
25
61
Visit this poster! Effects of #AFib on the ventricle! @AGEP_DGK @YoungDgk @SamuelSossalla @Phiso_de @ChristianHeeger
https://t.co/ib4kNsLHde
#DGKJahrestagung
#DGK #DGK2025JT #KardiovaskuläreMedizin #Kardiologie
herzmedizin.de
Das Portal für Kardiologie & Herzgesundheit
0
1
6
CASTLE-HTx trial demonstrated among pts w/ #AFib & end-stage #heartfailure, the combination of AF ablation & #GDMT was assoc w/ ⬇️ likelihood of death from any cause, implantation of #LVAD, or #Hearttx than medical therapy alone https://t.co/kzp7JiztgI
#JACC @chris_sohns
2
31
71
The CASTLE is back! Thank you #EHRA for inviting us to present #CASTLEVT as LBCT of the future! @Phiso_de @nmarrouche @harry_crijns @VanessaSciacca_ @ChristianHeeger @AGEP_DGK @melhamriti @HdzNrw @DrJasonAndrade @VivekReddyMD @purerfellner @joselmerino
1
37
95
Join our @escardio webinar on management of myocardial #hypertrophy and #HOCM 📅 3 February 18:00 – 19:00 CET ✅ Free registration: https://t.co/qMLU6uHNPg 📍 Organized by: ESC WG on CV Pharmacotherapy @IacopoOlivotto @ProfCerbai @YoungDgk @DGK_org @AgewallStefan @ESCardioNews
3
3
11