Giuseppe Di Gioia Profile
Giuseppe Di Gioia

@GiuseppeDiGioi9

Followers
1K
Following
2K
Media
10
Statuses
389

Interventional Cardiologist. Innovation enthusiast.

Italia
Joined October 2018
Don't wanna be here? Send us removal request.
@JCM_MDPI
JCM MDPI
1 month
#mdpijcm ๐Ÿ“ขCall for Reading Views 5354, Citations 5๐Ÿ™Œ Contemporary Use of ๐ƒ๐ซ๐ฎ๐ -๐‚๐จ๐š๐ญ๐ž๐ ๐๐š๐ฅ๐ฅ๐จ๐จ๐ง๐ฌ for #Coronary_Angioplasty: A Comprehensive Review ๐Ÿ”— https://t.co/xkXAhPi8kO by Nicola Verde et al. @GiuseppeDiGioi9 @Unicatt @MediPharma_MDPI
0
1
1
@EuroInterventio
EuroIntervention
18 days
The Drug-Coated Balloon Academic Research Consortium presents a global consensus to standardise clinical trials on DCBs in obstructive CAD. It defines study designs, endpoints, imaging methods, follow-up, and introduces the concept of โ€œblended therapy.โ€ @FezziSimone ;
3
38
76
@sbrugaletta
Salvatore Brugaletta
2 months
The story of AAS use on the top of anticoagulant is finally end. everyone will be now very conscious to avoid this combination, as it is unfortunately still used. https://t.co/JGF6yncQPX #ESCCongress 2025
1
28
81
@PCRonline
PCRonline ๐Ÿซ€
3 months
PCR Perspectives: What are the essentials of the provisional strategy for non-left main true bifurcation lesions? ๐Ÿ“บ https://t.co/vEeRtM5X8n @GiuseppeDiGioi9 and @flensted_jens explore how the stepwise approach can offer simplicity while preserving flexibility, focus on
0
8
14
@KardiologieHH
Erik Rafflenbeul
5 months
Lets go for itโ€ฆ โ€ฆAfterWorkParty @ #EuroPCR DAY 3๏ธโƒฃ
1
5
45
@jamiemccabeMD
Jamie McCabe
9 months
FRONTEER TMVR. (Fully percutaneous Removal Of Nonfunctional TEER with TMVR). 5 now done in the US. Imagine if we had dedicated devices?
9
24
160
@ColletCarlos
Carlos Collet MD PhD
1 year
Honoring @BernardBruyne at #TCT2024 for his remarkable contributions and exceptional career, during his last live case from @CardioAalst. A fitting tribute to a legacy of excellence and dedication in cardiovascular care. ๐Ÿ™๐Ÿป@crfheart and Dr. Gary Mintz @PCRonline @MortonKern
3
20
90
@CardiologyClub
Online Cardiology Club
1 year
๐Ÿ”ฅ#OCCSummit is around the corner๐Ÿ”ฅ A true privilege to share our distinguished faculty from all over the globe ๐ŸŒŽ๐ŸŒ๐ŸŒ Mirvat Alasnag - @mirvatalasnag Chiara De Biase - @kiadeb87 Guillaume Bonnet - @guilbon Aaysha Cader - @aayshacader Valeria Paradies - @valeriaparadies
4
13
23
@TCTMD_Yael
Yael L. Maxwell
1 year
Compared with ticagrelor or aspirin alone, 12 months of DAPT after CABG is associated with a reduced risk of MACE that persists out to 5 years without an increase in major bleeding, according to new follow-up from the DACAB trial. https://t.co/HjAtPC5LGs @DLBHATTMD @bmj_latest
Tweet card summary image
tctmd.com
The researchers hypothesize that adding ticagrelor to aspirin for the first year preserves graft patency and reduces later events.
0
7
16
@a_h_ghoneem
Ahmed Ghoneem, MD MSc
1 year
Interesting results of the meta-analysis โ€œAortic valve replacement Versus clinical surveillance in moderate AS with reduced EFโ€ by @AbdelfattahMD @ClavelLabo , @PPibarot @PhilGenereuxMD #NYValves2024 @crfheart
1
11
30
@GilbertTangMD
Dr. Gilbert Tang
1 year
Just OUT by @PradeepYadavMD on the 8F Siegel #TAVR with 2X radial ๐Ÿ’ช๐ŸผRhenium stent. Balloon mounted, shorter balloon, commissural alignment. Fully expansion even in bicuspid. Game changer? #NYValves2024 @TCTMD @crfheart @DLBHATTMD @bapat_savrtavr @KendraGrubb @igeorge1975 @djc795
5
46
152
@PPibarot
Philippe Pibarot
2 years
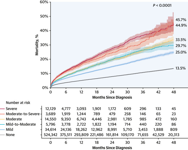
Major Study including >1 million patients from 24 US centers demonstrating the mortality burden of the different degrees of severity of aortic stenosis. And with an editorial from the godfather of AS Dr. E. Braunwald! https://t.co/GaCYHst2ZF
6
121
279
@GiuseppeDiGioi9
Giuseppe Di Gioia
1 year
Eruptive CNโ€”> worse outcome-early ISR Non-eruptive โ€”> stent underexpansion Coronary radiolucent mass in CCS โ€”> 95% chance of CN. If Angio negative still 15% chance of CN Probe with balloonโ€”> IVL, RA or OA โ€”> shave and shock
0
0
3
@GiuseppeDiGioi9
Giuseppe Di Gioia
1 year
Not everyone has imaging. Not everyone can use imaging liberally (reimbursement issues). This paper finally addresses how to perform angio-guided bifurcation PCI.
@DFCapodanno
Davide Capodanno
1 year
In the 18th Expert Consensus Document, now available in the Journal, the European Bifurcation Club (EBC) reviews and describes a series of tips and tricks which can help to optimize angiography-guided PCI for coronary bifurcation lesions. These include: - A thorough analysis
0
4
9
@GiuseppeDiGioi9
Giuseppe Di Gioia
1 year
As always great science recap by @DFCapodanno #EuroPCR
@DFCapodanno
Davide Capodanno
1 year
A quick recap of new randomized trials in the fields of coronary and valvular interventions you may have missed this year at #EuroPCR if you were only watching live cases or attending practical sessions.
0
1
7
@PCRonline
PCRonline ๐Ÿซ€
1 year
#EuroPCR 2024 has now officially come to an end. Thank you ๐Ÿ™๐Ÿผ to the 12,100 participants who joined us for this exceptional week of learning & sharing. Safe travels back home ๐Ÿšถ๐Ÿผ๐Ÿšด๐Ÿผโ€โ™€๏ธ๐ŸšŽ๐Ÿš— ๐Ÿš‚โœˆ๏ธand save the date ๐Ÿ—“๏ธ for the 2025 edition from 20 - 23 May! #interventionalcardiology
0
18
56
@SPyxaras
Stelios Pyxaras
1 year
2
5
36
@CuissetDr
DrThomasCuisset
1 year
#EuroPCR 2024 Major LBT โ€“ LANDMARK Previous head-to-head comparisons of new THVs with established devices confirmed no class effect of clinical benefits after #TAVI with inferior safety & efficacy for some of them. Validation of MyVal non-inferiority to the most widely used
2
32
62
@PCRonline
PCRonline ๐Ÿซ€
1 year
The #EuroPCR Sporting Challenge continues... but this time in the Palais des Congrรจs ๐Ÿ€๐Ÿ„๐ŸฅŠ Thank you to our high-level athletes ๐Ÿ’ช๐Ÿผ Simon Redwood @didier_tchetche @PamelaGatto @Sticchi_Alex @ANazmiCalik @GiuseppeDiGioi9
0
12
34