Paris Boeckman, PharmD, BCEMP Profile
Paris Boeckman, PharmD, BCEMP

@EmergencyPharmD

Followers
646
Following
2K
Media
97
Statuses
756

Joined November 2016
Don't wanna be here? Send us removal request.
@accpcritprn
ACCP CRIT PRN
2 years
#JournalWatch @journal_CHEST More data for peripheral vasopressors! This study found that peripheral pressors offered a practical advantage and faster administration but wide practice pattern variation. #critPRN https://t.co/86fu4wciVg
0
5
10
@ABsteward
Antibiotic Steward Bassam Ghanem 🅱️C🆔🅿️🌟
2 years
🆕️🔥Systematic review: NO evidence that treatment with antibiotics is associated with improved delirium outcomes in older adults with pyuria or bacteriuria and without systemic signs of infection or genitourinary symptoms #idxposts Thanks @Inox94
Tweet card summary image
agsjournals.onlinelibrary.wiley.com
Background It is unclear whether antibiotics impact delirium outcomes in older adults with pyuria or bacteriuria in the absence of systemic signs of infection or genitourinary symptoms. Methods We...
5
107
264
@First10EM
Justin Morgenstern
2 years
Andexanet alfa: expensive and harmful? There was no reason to use this drug until now, and nothing changes with the first RCT #FOAMed https://t.co/c5aVmhADMx
Tweet card summary image
first10em.com
Andexanet alfa: there was no reason to use this drug until now, and nothing changes with this first RCT. Harmful and expensive.
4
10
54
@ABsteward
Antibiotic Steward Bassam Ghanem 🅱️C🆔🅿️🌟
2 years
🔥Just published 🔥 CDC Clinical Guidelines on the Use of Doxycycline Postexposure Prophylaxis for Bacterial Sexually Transmitted Infection Prevention, United States, 2024 #doxyPEP #IDXposts https://t.co/TBFA8JWOVs
Tweet card summary image
cdc.gov
This report describes a recommendation from CDC for clinicians to use doxy PEP to help reduce incidents of syphilis, chlamydia, and gonorrhea in populations at high risk for these infections.
2
51
122
@eddyjoemd
Eddy J. Gutierrez, MD
2 years
How long is too long to be performing CPR in patients who suffer in-hospital cardiac arrest? Every patient and situation is obviously different but it shouldn’t come as a surprise that beyond 30 minutes, things don’t look too good. 🎩 tip to the authors. https://t.co/4Ise541cSv
5
112
305
@garyDpeksa
Gary D Peksa 💊 🌱
2 years
we have known the rate of thrombotic events with andexanet for a long time. 10% is not unexpected based on previous studies. ANNEXA-4 prelim analysis (2016) - 18% ANNEXA-4 full analysis (2019) - 10% ANNEXA-I (2024) - 10.3% #TwitteRx #FOAMed
1
3
12
@PCC_PharmD
Scott Dietrich
2 years
New manuscript from EAST multicentered (10 site) AA vs 4PCC in trauma pt's showed no diff in transfusion requirements and maybe shorter ICU LOS w/ 4PCC than AA Decent size and like how they verified pts took a dose w/in 12 hrs of arrival https://t.co/57qjxP5j8j
0
10
39
@AJWPharm
Andy Webb
2 years
Post-hoc analysis of the ULTRA trial shows that early TXA in good grade aSAH patients leads to WORSE functional outcomes than usual care. Outcomes in poor grade with similar. TXA is mostly harmless... but not fully harmless. Use it with care! https://t.co/wAWCw8sHgQ
0
14
60
@eddyjoemd
Eddy J. Gutierrez, MD
2 years
Ketamine drips for sedation can be extremely effective. We just need to sort out/standardize the dosing regimen. This paper evaluates numerous published protocols in an attempt to make sense of it all. 🎩 tip to the authors. https://t.co/4Ise540F2X
2
57
214
@Thedaringdonna
Donna Shuler Truoccolo 🐀
2 years
Thank you to Madeline Ganter from our fabulous @uncrxresidency class who designed our latest #EDpharmacyeducationboard to spread the word about our new High-Dose Nitroglycerin for SCAPE guideline in the ED (adopted from UNC REX!) Go team! #EDRx #twitteRx #pharmacyguideline
0
12
57
@SCCM_CPP
SCCM Clinical Pharmacy and Pharmacology Section
2 years
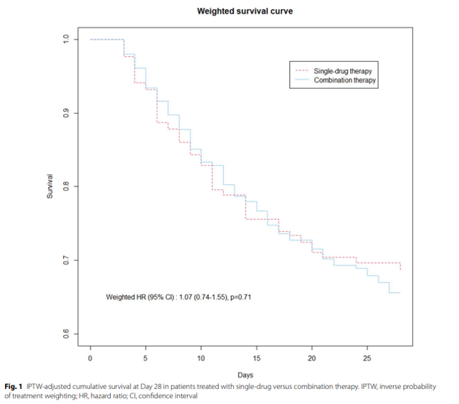
#CPPPLU Highlights: A study in @Crit_Care found no difference in 28-day mortality with initial adequate combination antibiotic therapy vs. adequate single-drug therapy in critically ill pts with monobacterial gram negative HAP, vHAP, and VAP. #PharmICU https://t.co/wGUTyiKmba
1
4
11
@EMPoisonPharmD
Ryan Feldman (empoisonpharmd.bsky.social)
2 years
Hooray we can continue to not give TNK after 4.5 h https://t.co/LpocKpeMvm
0
9
117
@ABsteward
Antibiotic Steward Bassam Ghanem 🅱️C🆔🅿️🌟
2 years
🆕️⚡️⚡️ @AJHPOfficial Intravenous push antibiotics in ED decrease the time from ordering to the start of administration and result in significant cost savings compared to IV piggyback #IDXposts https://t.co/BvBJ77MtiM
Tweet card summary image
academic.oup.com
AbstractPurpose. Intravenous push antibiotics can serve as an alternative to intravenous piggyback antibiotics while providing the same pharmacodynamics an
1
13
69
@SAEM_AEMP
SAEM AEMP
2 years
Check out the details about our upcoming PharmEMergency/AEMP conference happening in May! We want to see all types of EM pharmacists and providers join us and get involved! https://t.co/YxCcA4HZXZ @MeganARech @GilbertPharmD @LRayRx @SAEMonline @CBthePHARMD @EmergPharm
0
7
22
@EmergencyPharmD
Paris Boeckman, PharmD, BCEMP
2 years
🦠 Infectious diseases pharmacist opportunity!l 🦠 My hospital is looking for a full-time ID/AMS pharmacist. Please pass this along! #pharmacy #idsa #infectiousdieseases #idpharmacist #TwitteRx https://t.co/GuvEoZesHe
1
0
3
@EmergencyPharmD
Paris Boeckman, PharmD, BCEMP
2 years
Any pharmacist Medication Safety Officers out there who would be willing to mentor someone new to the med safety world? #TwitteRx #xRx #pharmacists #medicationsafety #medsafety #ismp
0
4
10
@CritCareJer
Jerika Nguyễn-Klatt 
2 years
A brief summary of the literature on 2-bag fluid methods for DKA. What are you using? #PharmICU
@SCCM_CPP
SCCM Clinical Pharmacy and Pharmacology Section
2 years
#CPPPLU Highlights: In a retrospective study @AnnalsofPharm, a 2-bag DKA fluid order set reduced ⏰ to AG closure and β-hydroxybutyrate normalization. @mattroginski #PharmICU The fluid order set used in this study is summarized below by @CritCareJer. https://t.co/yposRYzrwm
1
6
36
@NEJM
NEJM
2 years
TIMELESS trial: Tenecteplase for thrombolysis in a 4.5-to-24-hour window did not improve disability outcomes at 90 days in patients with ischemic stroke who had been chosen on the basis of imaging. Most patients had endovascular thrombectomy. https://t.co/wCfSoKO79z #ISC24
1
59
143
@AHAScience
AHA Science
2 years
GWTG Stroke study found earlier reversal treatment for brain hemorrhage patients on blood thinners led to better outcomes especially in first 60 minutes or “golden hour." #GWTGResearch #ISC24 https://t.co/4BHpxxwSKZ
Tweet card summary image
jamanetwork.com
This cohort study evaluates whether door-to-treatment time is associated with outcome among patients with anticoagulation-associated intracerebral hemorrhage treated with reversal interventions.
1
10
24
@AJWPharm
Andy Webb
2 years
TIMELESS finally published! Imaging-guided TNK within 24 hours of last known well in combination with IAT did not significantly improve functional outcomes at 90 days Surprisingly, though, no increase in sICH! I mean, if it doesn't hurt... 🧠 (jk) https://t.co/zgCJRKvU0D
0
8
63