DrDerekConnolly Profile Banner
Prof Derek Connolly Profile
Prof Derek Connolly

@DrDerekConnolly

Followers
4K
Following
18K
Media
1K
Statuses
11K

Consultant Cardiologist Midland Metropolitan University Hospital & Birmingham City Hospital Also now on BlueSky

Birmingham UK
Joined January 2015
Don't wanna be here? Send us removal request.
@DrDerekConnolly
Prof Derek Connolly
6 years
our local BBC midlands news supporting @TheBHF programme to make sure women get better heart attack care https://t.co/dP4dvJRqpK @cpgale3 @SWBHnhs @ICVS_UoB @CardiologySWBH
7
19
104
@docwas
Prof. Wasim Hanif
3 days
Impact of Baseline GLP-1 Receptor Agonist Use on Albuminuria Reduction and Safety With Simultaneous Initiation of Finerenone and Empagliflozin in Type 2 Diabetes and Chronic Kidney Disease (CONFIDENCE Trial)
Tweet card summary image
diabetesjournals.org
OBJECTIVE. The CONFIDENCE trial demonstrated additive benefits of simultaneous initiation of finerenone, a nonsteroidal mineralocorticoid receptor antagoni
0
1
2
@EricTopol
Eric Topol
4 days
From a new @TheLancet article today entitled "Health care in the USA: money has become the mission" https://t.co/jAjrsgJ5Zn
60
242
689
@scottisaacsmd
Scott Isaacs
4 days
Post-hoc analysis of SYNERGY-NASH trial reveals key insights on #tirzepatide in #MASH patients ✅ MASH resolution linked to greater weight loss (-16% vs -7%) ✅ Fibrosis improvement associated with better glycemic control ✅ Liver fat normalization was key mediator of both
0
27
83
@Drlipid
Thomas Dayspring
6 days
The largest multinational cohort study conducted to date investigated different classes of antihypertensive drugs and the risk of incident dementia. Conclusion: physicians & patients should consider the reduced risk of all-cause dementia and Vascular Dementia with ARB compared
Tweet card summary image
academic.oup.com
AbstractBackground. Angiotensin-converting enzyme inhibitors (ACEIs) and angiotensin-II receptor blockers (ARBs) are first-line antihypertensive drugs for
5
13
74
@EJPCEiC
EJPC Editor-in-Chief
5 days
⬆️Lp(a) levels are independently associated with subclinical coronary atherosclerosis in ageing endurance athletes and healthy controls even with low conventional CV risk. 👉 Highlights the value of Lp(a) for risk stratification in low-risk populations. https://t.co/KNwiPpOCQK
4
56
158
@ProfKausikRay
Prof Kausik Ray FMedSci
4 days
Santorini Italy. 55-% use of combo Lipid lowering Tx mostly statins plus ezetimibe with 37 and 44% of pts achieving risk based LDL -C goals. Next iteration of most guidelines like BP and DM should consider FDC as SoC https://t.co/i4oeIJoiT7
3
10
29
@NewAmsPharma
NewAmsterdam Pharma Corporation
6 days
We’re excited to see our Alzheimer’s disease biomarker data from a prespecified substudy  in our BROADWAY clinical trial has been peer-reviewed and published in @jpreventionalz1. 🔓 Read the open access article: https://t.co/JLv6GnFDCT
0
5
25
@ehj_ed
EHJ Editor-in-Chief
7 days
1
23
74
@DrDerekConnolly
Prof Derek Connolly
6 days
Sunday afternoon catch up with Consultant Cardiologist Colleagues post ward round and primary angioplasties @MidlandMetUH 24/7 but with coffee breaks @CardiologySWBH @SWBHnhs
1
1
22
@JACCJournals
JACC Journals
8 days
Statin efficacy to decrease #MACE depends on #CAD phenotypes and increases with the extent and severity of disease and in the presence of high-risk plaques. Patients without CAD have no benefit from statin therapy regarding MACE. https://t.co/OUpvgkgOBv #JACCIMG #cvCAD
6
55
178
@DrAsifQasim
Dr Asif Qasim MA PhD FRCP
10 days
Tweet card summary image
medshr.it
Cardio Quiz #67:A 52-Year-Old Woman with Severe Headache and Very High Blood Pressure on MedShr
@medshronline
MedShr
10 days
🫀 Cardiology Quiz of the Day! Severe headache with BP 240/120 and papilloedema; hypertensive emergency, lower blood pressure carefully? Can you crack the case? 🩺 Cast your vote on MedShr🔗 https://t.co/4GDVRRR649 #CardioTwitter #MedTwitter #MedEd @drahmedmohsen85 @DrAsifQasim
1
8
13
@NewAmsPharma
NewAmsterdam Pharma Corporation
11 days
Using combination lipid-lowering therapy in high-risk patients instead of statin monotherapy could prevent 330,000 deaths globally each year, according to a recent meta-analysis published in Mayo Clinic Proceedings. The findings, drawn from data on over 108,000 patients,
0
6
18
@kamleshkhunti
Prof Kamlesh Khunti
12 days
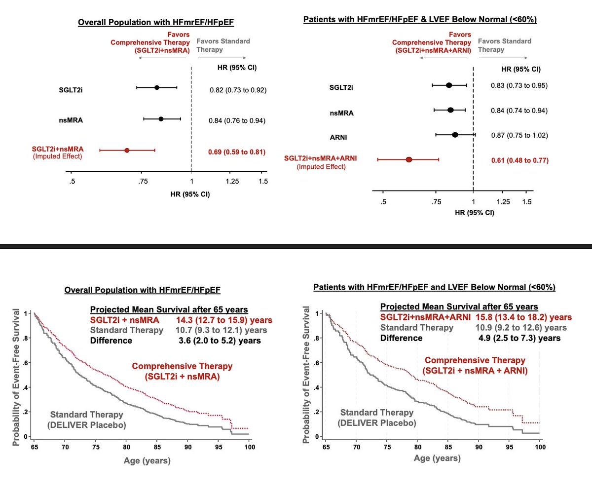
💔 Triple therapy in HFmrEF/HFpEF — potential long-term gains @mvaduganathan et al 📊 Cross-trial analysis (DELIVER, FINEARTS-HF, PARAGON-HF) • SGLT2i + nsMRA → ↓ CV death or 1st HF event by 31% (HR 0.69) • SGLT2i + nsMRA + ARNI → ↓ risk by 39% (HR 0.61; LVEF <60%) •
0
44
117
@kamleshkhunti
Prof Kamlesh Khunti
16 days
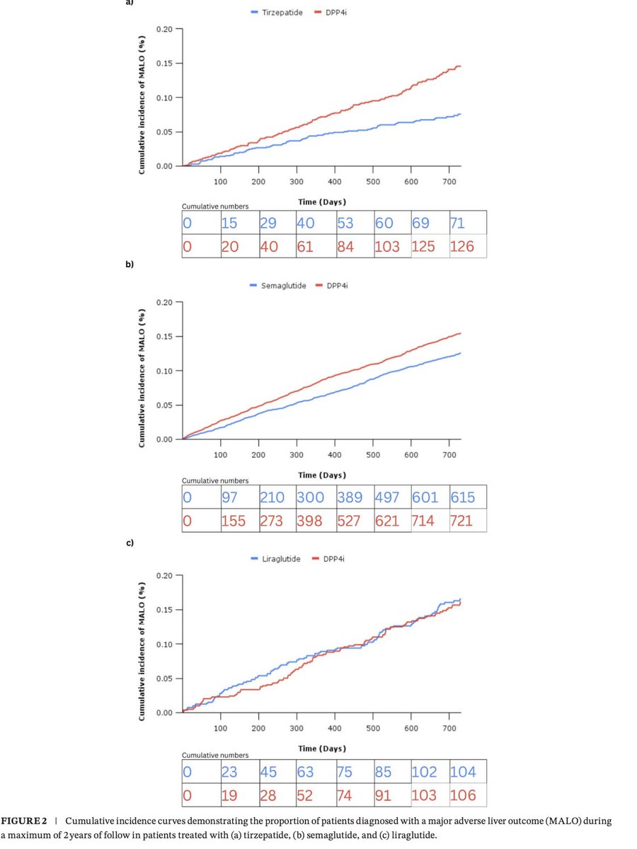
🔥 Incretin therapies & liver outcomes in T2 diabetes Real-world EHR study (150M+ pateints): 📉 Tirzepatide↓ risk of major adverse liver outcomes (MALO) by 47%(HR 0.53) 📉 Semaglutide↓ risk by 19% (HR 0.81) ⚪️ Liraglutide - no significant benefit ➡️ Benefit driven by ↓
2
41
86
@drpablocorral
Pablo Corral MD
12 days
The evolution of plasma cholesterol: Direct utility or a ‘‘spandrel” of hepatic lipid metabolism? 🧬 LDL: Evolution’s Beautiful Mistake What if “LDL” was never meant to exist? ☝️LDL is not a product of evolutionary design, but an accident of hepatic lipid metabolism — a
5
21
76
@DrDerekConnolly
Prof Derek Connolly
11 days
is this the future of drug trials in our war against atherosclerosis? non invasive testing of how obiceptrapib reduces coronary inflammation and plaque volume https://t.co/1CTmNmdt2r
Tweet card summary image
fiercebiotech.com
Caristo Diagnostics, which uses artificial intelligence to detect the earliest signs of heart disease on cardiac CT scans, will play a major role in an upcoming study of NewAmsterdam Pharma’s chole |...
0
0
1
@scottisaacsmd
Scott Isaacs
13 days
Algorithm for #resmetirom treatment from the Global Consensus Recommendations for MASLD and MASH. https://t.co/O3OqWGNvhB
1
113
284
@scottisaacsmd
Scott Isaacs
13 days
Obesity in older adults is rising, and semaglutide & tirzepatide can bring significant weight loss and better heart, liver, and kidney health. Risks for older adults are muscle loss and functional decline. Policy must prioritize coverage + clinical trials for seniors to ensure
6
66
234
@LiverpoolCCS
Liverpool Centre for Cardiovascular Science
13 days
Today is World Thrombosis Day — a global reminder to raise awareness about blood clots and their prevention: #WorldThrombosisDay @LHCHFT @LivHPartners https://t.co/jv1C5CQoUT
0
6
7
@MWeintraubMD
Michael Weintraub, MD
13 days
Multi-society consensus guidelines have stated there is no need to routinely hold GLP-1 prior to procedures. Here is another real-world analysis again showing the lack of any increased peri-procedure adverse events.
@scottisaacsmd
Scott Isaacs
14 days
A large retrospective analysis found that GLP-1 receptor agonist use was not associated with increased risk of aspiration pneumonia, respiratory failure, mechanical ventilation, or hospitalization following screening colonoscopy. https://t.co/P2Khdk9unl
3
21
52