Grazyella Yoshida
@grazyoshida
Followers
63
Following
251
Media
1
Statuses
51
😍 Mom of Yubi† and Mai!! 😍 Animal scientist interested in quantitative genetics and genomics for aquaculture species.
Joined June 2018
I saw a guy at Starbucks today. No iPhone. No tablet. No laptop. He just sat there. Drinking coffee. Like a Psychopath.
6K
137K
872K
Check the final version of our paper on fine mapping of a major gene (Amh) involved in sex determination in farmed Nile tilapia, by using ~ 2.4 million SNPs from a WGS experiment @grazyoshida
@Eugenia_Lopez_D
@illumina
@GeneticsGSA
https://t.co/29jmIwimAe
0
10
22
Programas genéticos: Hoy se visualizan como una inversión @salmonexpert @grazyoshida @caroeli1 @FavetUchile @uchile @illumina @thermofisher @LGCBiosearch @LGCGroup #CRIA
salmonexpert.cl
Chile: El Dr. José Manuel Yáñez de la Universidad de Chile plantea que el mejoramiento genético incrementará la eficiencia de la industria del salmón por lo que, a la vez, podrá ser más competitiva.
0
7
8
Excelente primer día del curso Mejoramienton Genético y Selección Genómica en Especies Salmónidas en #PuertoVaras @grazyoshida @FavetUchile @invasalCL @VID_UChile @illumina @thermofisher @LGCBiosearch @LGCGroup
0
4
13
Curso de Mejoramiento Genético y Selección Genómica en Especies Salmónidas @JoseYanezL
salmonexpert.cl
Chile: La atividad es organizada por la Facultad de Ciencias Veterinarias y Pecuarias de la Universidad de Chile y Subpesca.
0
2
2
Another manuscript from our group published today in G3 @GeneticsGSA! This time on a #Bayesian #GWAS for viral resistance and genes involved in viral replication and #immune response in rainbow #trout @FavetUchile @Agustinopulus
@grazyoshida
2
8
28
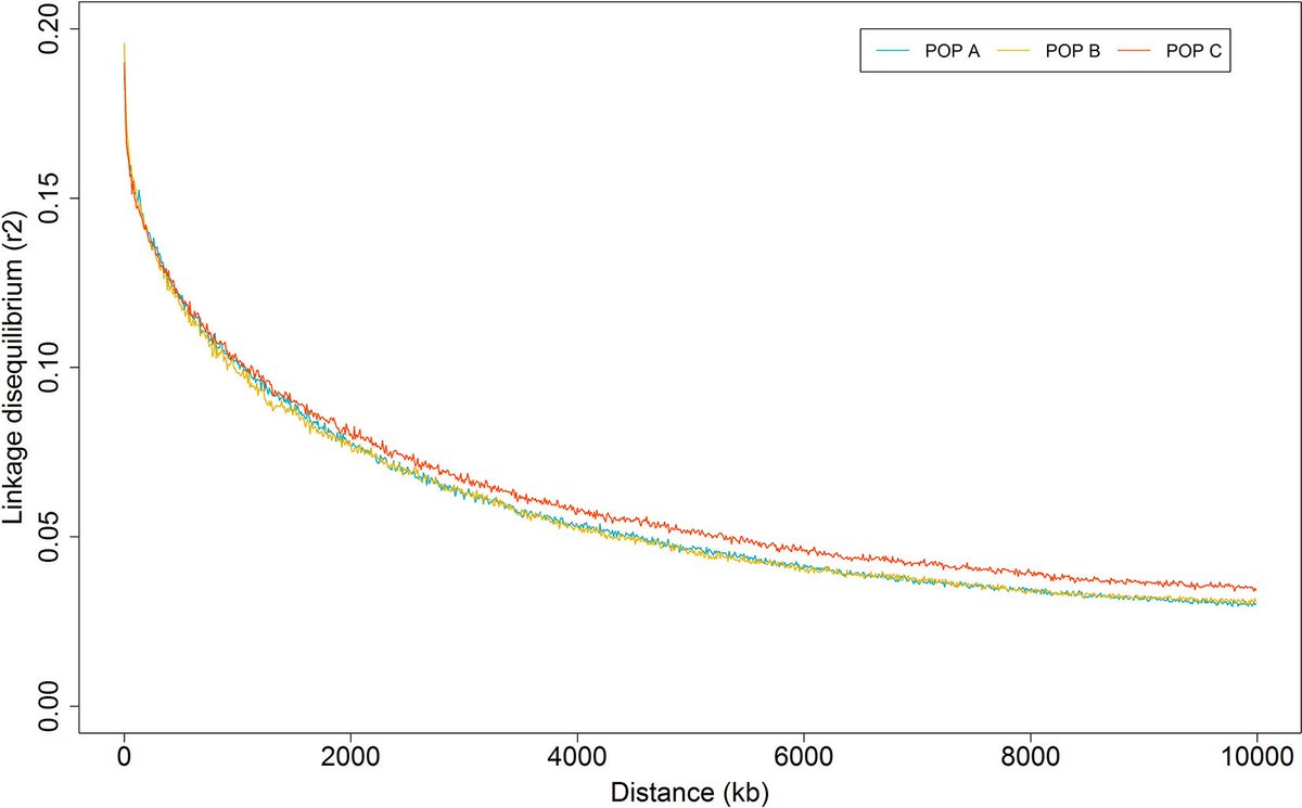
Check out a new research article from our group on the genetic structure, linkage disequilibrium and Ne in farmed Nile tilapia using genome-wide SNP. #aquaculture @grazyoshida @Agustinopulus @FrontGenetics @FavetUchile @uchile
New Research: Genome-Wide Patterns of Population Structure and Linkage Disequilibrium in Farmed Nile Tilapia (Oreochromis niloticus): Nile tilapia (Oreochromis niloticus) is one of the most produced farmed fish in the world and represents an… https://t.co/64C8bms6Cx
#Genetics
0
7
13
Universidad de Chile y Blue Genomics generan alianza de investigación 👉 https://t.co/0YEm0d9fna
0
1
0
SeqBreed: a python tool to evaluate genomic prediction in complex scenarios
0
3
5
My first work with @JoseYanezL and @Agustinopulus is available as preprint: Comparison of Mortality and Viral Load in Rainbow Trout infected with IPNV Genogroups 1 and 5
biorxiv.org
Infectious Pancreatic Necrosis Virus (IPNV) is the etiological agent of a highly contagious disease that affects farmed salmonids. IPNV isolates have been phylogenetically classified into eight...
0
2
6
"RNA-Seq: the teenage years" our review in @NatureRevGenet is now online. Thanks to my co-authors, to everyone who's work we cited and to all of you using RNA-Seq. Enjoy! https://t.co/1G2HRA4XqE
9
294
750
Whole genome sequencing of canids (good boys) reveals genomic regions under selection and variants influencing morphology https://t.co/g7xlNWfsCr cc @dog_feelings
5
54
141
Check out the Early Online version of our recent article on a GWAS for IPN virus resistance in rainbow trout @Agustinopulus @grazyoshida @FavetUchile @GeneticsGSA
0
6
14
First meeting of the brand new Aquaculture Research and Innovation Center at the @uchile. #nutrition #fish #genomics #biotech #diseases #aquaculture More to come... @jwacyk @grazyoshida @YouTubeCurator @caroeli1 @agronomiauchile @FavetUchile @INTA_UChile
4
6
26
A new paper from our group published today in G3 (@GeneticsGSA) on GWAS and genomic selection for growth and yield in Nile tilapia using a 50K @illumina SNP chip and also lower density panels to reduce genotyping costs @grazyoshida @FavetUchile
0
11
32
Check our recent paper on the first application of a 220k SNP array for coho salmon in the characterization of a Chilean breeding population with more than 10 generations of selection for rapid growth... more to come @Epic4Coho @Agustinopulus @grazyoshida
https://t.co/DHh0t4iymd
2
10
22
The Special Issue of Reviews in Aquaculture journal on "Salmon farming in Chile", including our article on avdances in genetic improvement programs for salmon and trout, is now available Open Access!! @IncarChile, @jotapeMendel
@FavetUchile
https://t.co/z3egghn8uw
0
10
21
International symposium on Genetics of Aquaculture 21-26 November, 2021 - Mark your calendars! in Chile 🇨🇱 #biotec2019
0
8
15
Review of major factors causing yield gap by affecting growth, feed conversion ratio and survival in Nile tilapia (Oreochromis niloticus). Tilapia farming systems could benefit from genetically improved strains selected for resilience #WUR_ABG
0
2
5