Francesco Beghini Profile
Francesco Beghini

@chocophlan

Followers
366
Following
5K
Media
404
Statuses
6K

Postdoctoral Fellow at @Yale | Human microbiome | Bioinformatics | Go @Patriots!

Joined November 2009
Don't wanna be here? Send us removal request.
@scifri
Science Friday
1 year
A new study found that we share parts of our microbiome with people in our social networks, beyond family members. Dr. @NAChristakis joins us to discuss the research and how scientists can identify your friends—just by looking at your poop. https://t.co/CIZMzeirrr
1
6
7
@NAChristakis
Nicholas A. Christakis
1 year
This work was supported by the NOMIS foundation, with additional support via @SchmidtFutures @ericschmidt @PershingSqFdn @BillAckman @JMRothberg. Underlying cohort supported by @gatesfoundation & @NIH. New support for work on the biology of social life at #HNL via @paulg. 19/
2
2
38
@NAChristakis
Nicholas A. Christakis
1 year
News coverage of “Gut microbiome strain-sharing within isolated village social networks” via @nature is here: https://t.co/L5wYcnMZfd 17/
Tweet card summary image
nature.com
Nature - Analysis of nearly 2,000 people living in remote villages in Honduras reveals who’s spreading gut microorganisms to whom.
1
10
89
@NAChristakis
Nicholas A. Christakis
1 year
It may prove to be the case that groups of inter-connected people might share phenotypes not only because of shared genes or transmitted behaviors, but also because of shared microbes. https://t.co/GWUvrPJUxa 16/
Tweet card summary image
nature.com
Nature - An investigation into the relationship between network structure and gut microbiome composition among people living in 18 isolated Honduras villages reveals that strain-sharing can be...
2
6
71
@NAChristakis
Nicholas A. Christakis
1 year
This work has implications for a radical idea: diseases formerly thought to be biologically non-communicable (e.g., obesity, depression, hypertension, arthritis, etc.) may actually be (somewhat!) communicable, via the spread of the microbiome. https://t.co/GWUvrPJUxa 13/
Tweet card summary image
nature.com
Nature - An investigation into the relationship between network structure and gut microbiome composition among people living in 18 isolated Honduras villages reveals that strain-sharing can be...
3
37
183
@NAChristakis
Nicholas A. Christakis
1 year
Clusters of microbiome species and strains occur within clusters of people in village social networks. It’s like clouds of microbes occurring within clusters of people. https://t.co/GWUvrPJUxa 11/
2
8
65
@NAChristakis
Nicholas A. Christakis
1 year
Among 301 people in 4 villages whose microbiome was re-measured 2 years later, we observe greater convergence in gut microbiome strain-sharing in connected versus otherwise similar unconnected co-villagers. 10/
1
2
49
@NAChristakis
Nicholas A. Christakis
1 year
We also observe that socially central people are more microbially similar to the overall village than socially peripheral people. But popular people resemble the microbiomes of individual friends less. 9/
1
4
65
@NAChristakis
Nicholas A. Christakis
1 year
Furthermore, gut microbiome strain-sharing extends to one's friends’ friends within social networks, indicating the relevance of a person’s broader social network, at two degrees of separation. 8/
1
6
56
@NAChristakis
Nicholas A. Christakis
1 year
We can actually predict who your friends are based on whether you have similar bacteria in your poop! And that metric outperforms other more usual social features, such as how you resemble your friends on a host of traits like age, sex, wealth, etc. 7/
4
51
212
@NAChristakis
Nicholas A. Christakis
1 year
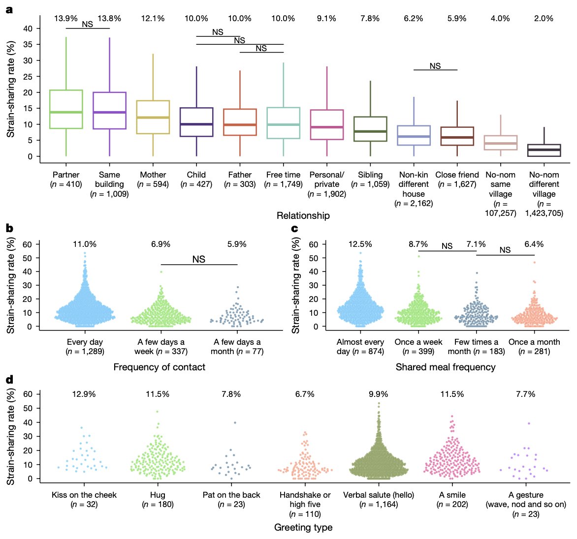
Using both species-level and strain-level data, we show that microbial sharing occurs in many relationship types, notably including non-familial and non-household connections. 6/
2
6
68
@NAChristakis
Nicholas A. Christakis
1 year
"Gut microbiome strain-sharing within isolated village social networks" https://t.co/GWUvrPJUxa with @chocophlan, @JacksonPullman1, @mqdicer, @ShivkumarVs, @DrewPrinster, @adarshsingh110, RM Juárez, @eairoldi, @ilanabrito123 #HNL 2/
4
29
159
@NAChristakis
Nicholas A. Christakis
1 year
The bacteria in your gut depend on where you are in the social network. And the microbes within us treat our social networks as the extended environment in which they thrive. They can spread from person to person. New #HNL work out today in @Nature. 1/
34
282
1K
@daniela_witten
Daniela Witten
1 year
One more time for the people in the back: AI is a software wrapper around machine learning, machine learning is fancy words for statistics, thanks for coming to my TED talk
28
121
906
@CellReports
Cell Reports
1 year
Environmental, socioeconomic, and health factors associated with gut microbiome species and strains in isolated Honduras villages
Tweet card summary image
cell.com
The complex relationship between the human gut microbiome and host factors remains obscure. Shridhar et al. implement a population-wide phenotype association analysis in rural Honduras and quantify...
0
6
20
@NAChristakis
Nicholas A. Christakis
1 year
Environmental, socioeconomic, and health factors are associated with gut microbiome species and strains in isolated Honduras villages. New #HNL work with @ShivkumarVs, @chocophlan @mqdicer A Singh, R Juarez, & @ilanabrito123 https://t.co/aosdjmq31V #microbiome #LMICs
1
2
4
@NAChristakis
Nicholas A. Christakis
1 year
Deeply sequenced microbiome data from non-industrialized settings are uncommon. In new #HNL work, we use metagenomic data from 1,871 people in 19 isolated Honduras villages to report associations between bacterial species and human phenotypes and factors. https://t.co/aosdjmq31V
2
5
19
@cibiocm
Segata Lab
2 years
Beside analysing nappies our mission is to share the joy of microbiome science by surprising our little helpers (nappy donors) w/GIANT microbes Let us introduce our plushies 🔵Candidatus Cibionibacter quicibialis 🟡Catenibacterium tridentinum ©UniTrento Ph.Federico Nardelli 3/3
10
6
53
@lpachter
Lior Pachter
2 years
I wrote a blog post about scientific racism and the @AllofUsResearch figure illustrating their ancestry analysis. The post was inspired by a presentation of @DelaneyKSull at our lab DEI meeting organized by @NikhilaSwarna last week. https://t.co/fl6perfTGk cc @AllofUsCEO
Tweet card summary image
liorpachter.wordpress.com
The All of Us Research Program, whose mission is to “to accelerate health research and medical breakthroughs, enabling individualized prevention, treatment, and care for all of us”, rec…
2
36
134
@willovvens
Will Owens
2 years
heard UMAP was popular on twitter, anyone have any advice on how to tighten up the clusters?
54
287
3K