Val Simianu
@ValSimianu
Followers
479
Following
1K
Media
33
Statuses
741
Colorectal surgeon, outdoor enthusiast, soccer afficionado.
Seattle, WA
Joined July 2013
A great story of #CRC care by our team: https://t.co/yEnoENE2J9 Proud to be part of this @VMFHealth team of #CRC experts. @ASCRS_1 @jakaplan @JBrandlerMD @GutGalz @VMsurgery
vmfh.org
In March, Chika celebrated a birthday she didn’t know if she’d get to see. Surrounded by beautiful blooming flowers, Chika held a cake in her hands.
0
0
3
We're hiring a colorectal surgeon- come join us in Seattle! Broad and challenging practice, great partners (#humblebrag) and multiD teams in #CRC, #IBD, and #pelvicfloor
https://t.co/hjfJTFNA8B
@VMFHealth @ASCRS_1 @DCRjournal #ASCRS25 @SeattleSurgical @wachapteracs @JBrandlerMD
providers.commonspirit.careers
Learn more about applying for Colorectal Surgeon at CommonSpirit Health Providers
0
0
3
Expert Review on yesterday's #DCRJournal Resident's Corner: https://t.co/SxZugusakd
@GoffredoPaolo @L_WeaverMD @UMNSurgery @ValSimianu @RomiNavaratnam @dr_samehhany81 @DrE_UCSD @jabelsonmd @EKing719 @SoniaRamMD @justinmaykel @changtangMD @luciacolorectal @deanlute @juliomayol
0
8
15
#IBDHorizons24 @FezaRemziMD How would you answer this Q? Which is FALSE regarding #Jpouch #IPAA expectations: A. Pts have ~4-5 bm at night B. >50% of pts have no urgency C. Majority of pts happy with surg D. Majority of pts have full continence
4
5
17
This week I was fortunate to appear on @king5seattle with one of my amazing colleagues @ValSimianu to bring awareness to colorectal cancer and dispel some myths surrounding colon health and colorectal cancer. Full video here: https://t.co/7Wbdx5LZe9
#ColorectalCancerAwareness
0
1
10
I look forward to everyone’s involvement in NEO-RT! https://t.co/NZDWOPaHgq link below. @SWOG @eaonc @NRGonc @OncoAlert @OHSUNews @OHSUKnight @ValSimianu @pashtoonkasi @NiuSanford @CDNCancerTrials @manjuggm @MarkhitefordMD @drcarl_vancouvr
2
6
25
Look at this #dressinblue crew! Preventing, resecting (from many organs), and just all around kicking CRC butt! @VMFHealth there's a huge team behind every patient. @VMsurgery @ASCRS_1 @DCRjournal @jakaplan @celinersoriano @GutGalz @HKennecke @amirbastawrous @lailara58
1
2
27
@drtracyhull @TomReadCRS @ConorDelaneyMD @AnnLowry12 @patrobertsmd @DavidKleimanMD @ValSimianu @jbmitchem @DrMarkhhanna @ColleenD11 Team Laparoscopy: @ScottRSteeleMD @justinmaykel @RadhikaSmith @SWexner @CostedioMeagan @peterwmarcello1 Team Robotics: @MarkSoliman @amirbastawrous @vincentobiasMD @DanPopowichMD @ElizabethRaskin @tdfrancone
2
5
17
👀👀👀 Who is #obsessed enough to secure the #GoldenAnoscope this year? Find out 6/2/23 5:30 PM #ASCRS24 #Feud @ASCRS_1 @alexhawkinsmd @EKing719 @AtifIqbalMD @D_JafariMD @DavidLiskaMD Contestants listed below!
3
7
26
Past Presidents: @drtracyhull @TomReadCRS @ConorDelaneyMD @AnnLowry12 @patrobertsmd Neil Hyman Young Surgeons: @DavidKleimanMD @ValSimianu @jbmitchem @DrMarkhhanna @ColleenD11 Carrie Peterson
1
3
8
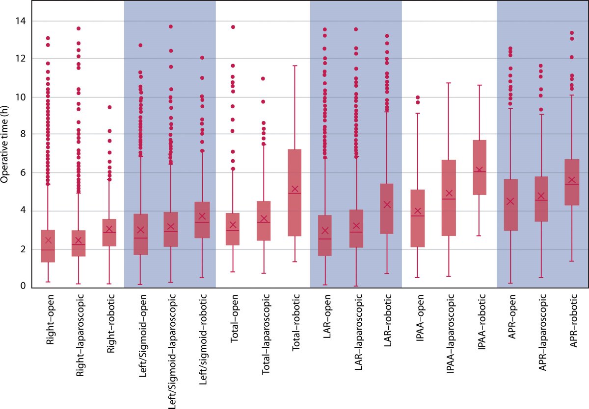
Prolonged operative time associated with longer LOS & higher probability of complications, but negative effect diminished with MIS approaches. Why? Find out in #DCRJournal: https://t.co/zvpr0Aq2kW
@UnrulyDoc @ValSimianu @amirbastawrous @lailara58 @VMSurgery
1
7
14
#GI24 Dr. Fernandez: Analysis of WW databases suggests patients with Local Regrowth have high risk (22%) of Distant Metastases. IMO, WW should be done on clinical trial when possible ➡️ JANUS. @JoshSmithMDPhD @MarkWhitefordMD @adasarimd
0
8
11
Come be an APP with our superstar team and crush colorectal disease! Versatile job includes OR, clinic, HRA/procedures... and NO CALL! You'll be part of multiD team treating cancer, IBD, pelvic floor, and more! @jakaplan @VMFHealth @VMsurgery @ASCRS_1
https://t.co/iJUeH3mxA8
0
0
8
Excellent @JAMASurgery review article on the current and possible future role of liquid biopsy/ctDNA in the care of patients with colorectal cancer: -Screening/diagnosis -Need for adjuvant chemo -Post-resection surveillance Candidacy for watch-and-wait? https://t.co/QZgMVQtPJy
1
19
53
🗣 "The record is 10-0... you could smash it. Don't hold back, boys." Here's what France manager Didier Deschamps told his team as they led Gibraltar 7-0 at the half. Les Bleus went on to win 14-0. 🇫🇷 Like the mentality, or should they have eased off? 🤔 https://t.co/J7CRRgdekT
66
11
229
Dr. David Etzioni 2006 @MNCRSurgery alumni giving the 2023 Frykman lecture on his career journey with surgical quality @MarcOsborneMD @LilianaBordei @CJahansouz @AnnLowry12
1
2
10
@MarkSoliman demonstrates #konoS anastomosis in #crohns. Will it become standard in 10 years time? @SeanLangenfeld @FicheraAlessand @FezaRemziMD @TAMISYoda #occ2023
7
4
20
Here’s your reminder that colorectal cancer will be the No. 1 cause of cancer-related death in people under 50 by 2030 @MNCRSurgery @ASCRS_1 @CCAlliance @CDC_Cancer
Interesting new video on ultra-processed foods by @FT refers to the American Society for Nutrition @nutritionorg as a "food industry advocacy group" 👀 https://t.co/hUyWVrd4fv
0
10
19