JAMASurgery Profile Banner
JAMA Surgery Profile
JAMA Surgery

@JAMASurgery

Followers
57K
Following
230
Media
3K
Statuses
18K

JAMA Surgery is a member of the JAMA Network, a consortium of peer-reviewed, general medical and specialty publications.

Chicago, IL
Joined July 2009
Don't wanna be here? Send us removal request.
@JAMASurgery
JAMA Surgery
11 hours
Promotion rates in #AcademicSurgery were higher among assistant and associate professors who changed institutions compared with those who remained at the same institution. @jasosamd https://t.co/0vWEjj7lyc
2
6
24
@JAMASurgery
JAMA Surgery
2 days
A structured sterile fluid conservation strategy reduced utilization while maintaining surgical volumes and patient safety. https://t.co/IPtbFqsiNP
0
2
6
@DiscoveryCSC
Discovery Institute's Center for Science & Culture
2 days
Either we have unique value and moral responsibilities, or we are just another animal in the forest, and if that is how we perceive ourselves, it is precisely how we will act. Princeton professor Robert P. George on the issues that flow from that important understanding.
0
4
7
@JAMASurgery
JAMA Surgery
3 days
Treatment in competitive markets was associated with higher morbidity risk and costs following elective cancer resection. https://t.co/oyYZdcv8a9
0
6
12
@JAMASurgery
JAMA Surgery
6 days
Women with disabilities experience significant disparities in breast cancer screening due to structural barriers and insufficient accommodations in health care systems.
Tweet card summary image
jamanetwork.com
This cohort study evaluates the adequacy of and barriers to breast cancer screening for women with disabilities treated at a specialty clinic dedicated to gynecological care.
0
2
9
@JAMASurgery
JAMA Surgery
7 days
Systematic review: Pectus arcuatum, a rare chest wall deformity distinct from other pectus types, requires standardized diagnostic criteria and unified terminology. https://t.co/yBNSwVOofs
0
1
4
@_Notwithouthope
Not Without Hope
7 days
From the director of The Grey. Zachary Levi and Josh Duhamel star in NOT WITHOUT HOPE.
5
10
126
@JAMASurgery
JAMA Surgery
7 days
Among trauma patients in the US, unhoused individuals had higher 30-day readmission rates than housed patients (19.3% vs 12.2%) and were more likely to be readmitted for new injuries and sequelae of prior trauma. https://t.co/WJ59DjkchN
0
3
12
@JAMASurgery
JAMA Surgery
7 days
RCT: Among older adults with frailty scheduled for surgery, assignment to home-based prehabilitation before surgery did not improve postoperative disability scores or reduce complications. https://t.co/kSexa8plF9
3
6
31
@JAMASurgery
JAMA Surgery
9 days
Authors Katharine Yao, MD, and Lorraine Tafra, MD, discuss the newly released consensus guidelines for managing benign breast fibroepithelial lesions, developed by @ASBrS and the @BreastImaging, with @JJcolemanMD. 🎧 Listen now: https://t.co/wOewPHmHFq
1
2
3
@valent44355
Victor Renard
10 hours
$RIME went from karaoke to AI logistics. SemiCab: 450+ trucks, multi-million $ contracts, Apex SaaS for the $450B US freight market. Q3 rev +1,273% YoY. PT around $5 vs ~$1s. Tiny microcap, huge optionality. Not financial advice. Do your own research.
10
27
114
@JAMASurgery
JAMA Surgery
9 days
Across surgical specialties, β-lactam antibiotics for surgical prophylaxis was associated with lower surgical site infection incidence compared with non–β-lactams. https://t.co/cjdxqk0C14
0
5
17
@JAMASurgery
JAMA Surgery
10 days
Implementing Best Case/Worst Case-ICU supported family communication and clinician consensus for over 1300 older trauma patients; adherence varied across trauma centers. https://t.co/u0c5RJ7MHr
0
2
19
@JAMASurgery
JAMA Surgery
12 days
💬 Viewpoint: Robotic surgery has rapidly become the default platform in US surgical training, but widespread adoption may erode core laparoscopic skills essential for safe, adaptable care. https://t.co/bsuzvf0KfZ
5
29
107
@JAMASurgery
JAMA Surgery
12 days
On December 1 at 10 AM ET, JAMA Editor in Chief Kirsten Bibbins-Domingo, PhD, MD, MAS, will co-chair a public, live-streamed webinar discussing a new @WHO guideline concerning #GLP-1 therapy and adults with #obesity. Register for the webinar: https://t.co/lLfNrWxvj6
0
1
7
@JAMASurgery
JAMA Surgery
12 days
Among VA patients undergoing lung resection, recent smokers had increased pulmonary complication rates but similar mortality after complications compared to non-smokers. https://t.co/dw8qU3mBvs
0
2
5
@JAMASurgery
JAMA Surgery
13 days
High-markup hospitals are associated with inferior quality and value of care and represent an important initial target for national policy aimed at promoting transparency and regulating hospital pricing. https://t.co/phgm0nQoj9
1
9
33
@AleoHQ
Aleo
2 days
We've launched USDCx on Aleo Testnet with @circle xReserve, a private and programmable stablecoin built for real-world use. Your data is YOUR business. We're delivering confidential transactions and privacy. The future of finance is here. The future is private. See how USDCx
334
189
663
@JAMASurgery
JAMA Surgery
14 days
Neighborhood socioeconomic deprivation had a greater impact on firearm injury rates than protective effects seen with state firearm laws, according to analysis of more than 200 000 incidents nationwide. https://t.co/UGuxHgqcC5
5
16
146
@JAMASurgery
JAMA Surgery
14 days
Bariatric surgery was associated with more effective, durable treatment of class II and III obesity at lower costs than #GLP1 receptor agonists. https://t.co/G64vkbfL6Y
2
48
119
@JAMASurgery
JAMA Surgery
14 days
On December 1 at 10 AM ET, JAMA Editor in Chief Kirsten Bibbins-Domingo, PhD, MD, MAS, will co-chair a public, live-streamed webinar discussing a new WHO guideline concerning #GLP-1 therapy and adults with #obesity. Register for the webinar: https://t.co/4s5Y2Mu74e
0
2
7
@JAMASurgery
JAMA Surgery
14 days
Optimizing surgical preference cards via regression analysis of historical supply use resulted in notable cost savings and reduced unused items, particularly in colorectal surgery, which saw a 55.8% reduction in supply waste. https://t.co/ZtCx8kwh22
1
10
41
@citizens_sanity
Citizens for Sanity
11 hours
They called our ads "VILE" and "INFLAMMATORY"—because they were true, and they worked. They HATE us because we fight woke wherever we find it. Follow @citizens_sanity to join us on the frontlines of the war for common sense.
0
1
8
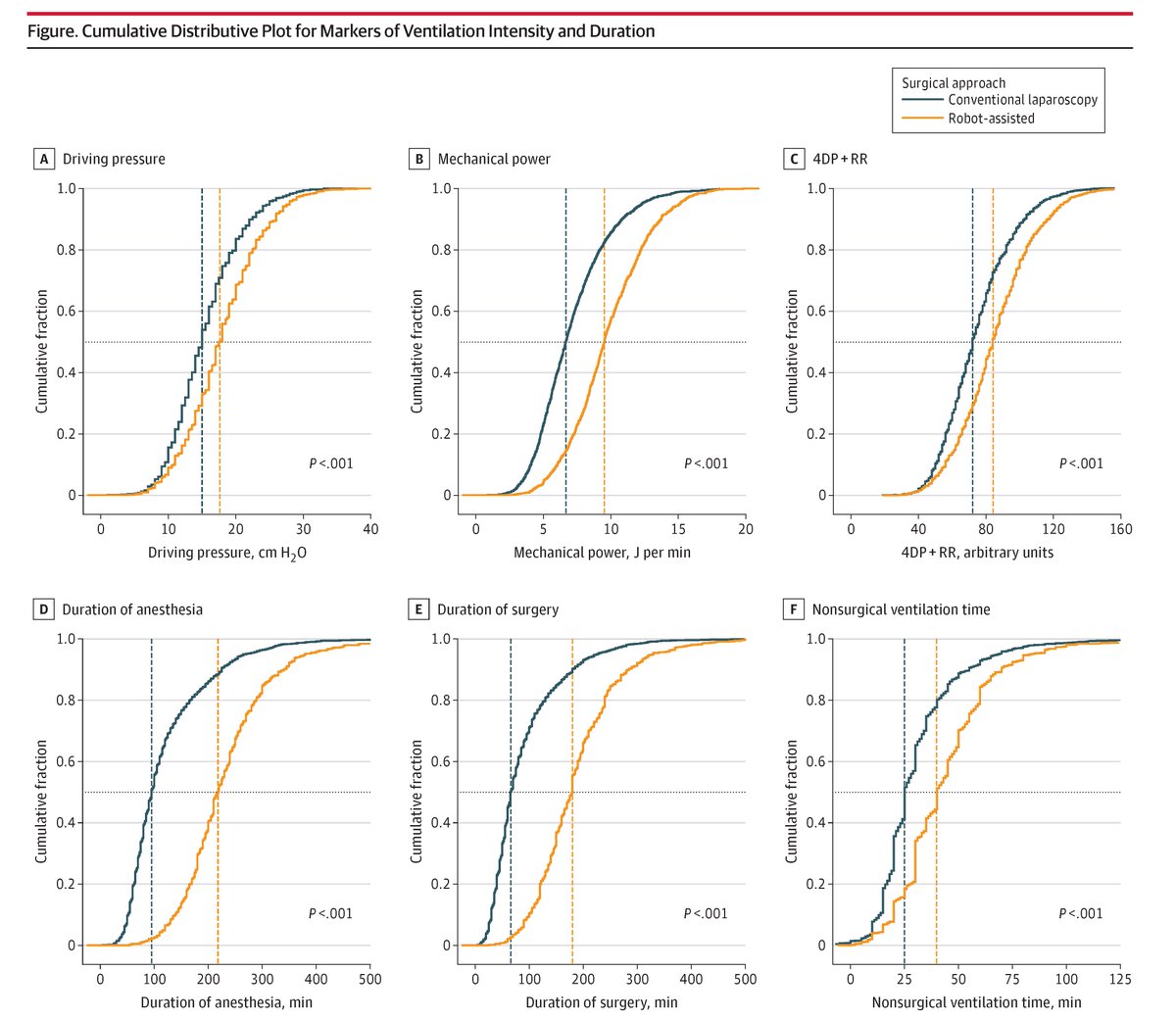
@JAMASurgery
JAMA Surgery
15 days
Patients who received robot-assisted surgery vs conventional laparoscopic surgery had a higher incidence of postoperative pulmonary complications and received longer and more intense mechanical ventilation. https://t.co/dPqE8zqWHa
0
19
57