BDWissel Profile Banner
Ben Wissel, MD, PhD Profile
Ben Wissel, MD, PhD

@BDWissel

Followers
679
Following
3K
Media
150
Statuses
697

Neurosurgery Resident @DukeNeurosurg | PhD in Machine Learning for Biomedical Data | Views expressed are my own and not those of my employer.

Durham, NC
Joined November 2019
Don't wanna be here? Send us removal request.
@BDWissel
Ben Wissel, MD, PhD
3 years
🧠🤖 Excited to share the results of our #RCT in @EpilepsiaJourn examining the impact of #AI-powered clinical decision support on epilepsy surgery referrals. #Epilepsy #Neurosurgery #MachineLearning #DigitalHealth 1/10 https://t.co/FjS7u7HkNK
5
15
81
@abdelbarrspine
Muhammad Abd-El-Barr MD PhD FAANS
2 years
Amazing work @BDWissel ! Your subI presentation last year on this topic sparked a whole new dimension to @DukeSpine as well. Who says we can’t learn from our trainees and from other subspecialties in #neurosurgery?
@BDWissel
Ben Wissel, MD, PhD
2 years
Thank you @Englot for highlighting our work identifying epilepsy surgery candidates. Great discussion about where we are and where we need to go. https://t.co/o001zZQj4Y
0
2
15
@BDWissel
Ben Wissel, MD, PhD
2 years
Thank you @Englot for highlighting our work identifying epilepsy surgery candidates. Great discussion about where we are and where we need to go. https://t.co/o001zZQj4Y
Tweet card summary image
journals.sagepub.com
Early Identification of Candidates for Epilepsy Surgery: A Multicenter, Machine Learning, Prospective Validation Study Wissel BD, Greiner HM, Glauser TA, Pestia...
0
1
16
@juliabduvall
Julia Duvall
2 years
🔜 Duke Neurosurgery Thank you to everyone that stood by me during my wildest dreams. This is only the beginning, and to all that are watching: if I can, then you can too. #Match2024 #Neurosurgery
9
24
232
@Dukeneurosurg
Duke Neurosurgery
2 years
Help us roll out the blue carpet for these three as they prepare to join us at Duke Neurosurgery! #Match2024 #LetsGo !!💫 🎉 Tyrone DeSpenza @YaleMed @tdespenza Julia Duvall @harvardmed @juliabduvall Benjamin Succop @UNC
9
23
201
@GreenJournal
Neurology Journal
2 years
This study provides Class II evidence that a machine learning algorithm can accurately distinguish patients with #epilepsy who require resective surgery from those who do not. https://t.co/d4TIhZaUFQ #NeuroTwitter
1
10
36
@DrEmHilly
Emily Hill
3 years
Check out our new article! Can we study 10s of 1000s of PD patients in EHR? Does the data accurately represent all races? Not yet! @AlbertoEspay @BDWissel @bkissela
1
6
8
@Dukeneurosurg
Duke Neurosurgery
3 years
Wishing these three the best first week ever. Let the journey begin! #PGY1 #MedTwitter @CarolineCFolz @BDWissel
0
3
72
@CarolineCFolz
Caroline Folz, MD, MS
3 years
Ready to kick off a great year with the best co-interns around 🧠 @Dukeneurosurg
5
3
171
@sandi_lam
Sandi Lam
3 years
So important. Epilepsy surgery is associated with higher 10 year survival for pediatric patients with drug resistant #epilepsy than those on anti-seizure meds only Free full manuscript: https://t.co/61Jy8v9Zru @epilepsysociety @epilepsyaction @DEE_Pconnection @EndEpilepsy
@BDWissel
Ben Wissel, MD, PhD
3 years
New study by @sandi_lam in @LancetChildAdol: In observational cohort (n=18,292), compared to medical management of epilepsy, VNS reduced risk of death by 40% and resective surgery reduced risk of death by 81%. https://t.co/y6quhahob6
1
12
45
@AdamRodmanMD
Adam Rodman
3 years
Can GPT-4 solve really hard medical cases and come up with a good list of differential diagnoses? @zahirkanjee @byrondcrowe and my study is out in @JAMA_current , and the short answer is, “Yes.” But what does this all mean? 🧵⬇️
@JAMA_current
JAMA
3 years
In this study, a generative artificial intelligence (AI) model provided the correct diagnosis in its differential in 64% of challenging cases and as its top diagnosis in 39%.
18
74
229
@BDWissel
Ben Wissel, MD, PhD
3 years
"Health system-scale language models are all-purpose prediction engines" by @ekoermann new in @Nature Will be interesting to see whether hospitals develop their own models, or if one (prob commercially owned) mega-model will rule them all. https://t.co/N6UF9cQESm
Tweet card summary image
nature.com
Nature - A clinical language model trained on unstructured clinical notes from the electronic health record enhances prediction of clinical and operational events.
@EricTopol
Eric Topol
3 years
🆕 @Nature An important LLM #AI for healthcare report using all unstructured clinical notes @nyulangone from 336,000 patients to predict readmission, mortality, comorbidity, and insurance denials https://t.co/pIJ6nDellT by @ekoermann and colleagues
0
0
5
@BDWissel
Ben Wissel, MD, PhD
3 years
New study by @sandi_lam in @LancetChildAdol: In observational cohort (n=18,292), compared to medical management of epilepsy, VNS reduced risk of death by 40% and resective surgery reduced risk of death by 81%. https://t.co/y6quhahob6
2
9
32
@BDWissel
Ben Wissel, MD, PhD
3 years
Using transformers to study the natural history of epilepsy from info in clinic notes https://t.co/t5A2IWEi84
0
0
13
@BDWissel
Ben Wissel, MD, PhD
3 years
We excited to expand this system across healthcare systems. Next up, @DukeHealth! cc @Dukeneurosurg 10/10
0
0
1
@BDWissel
Ben Wissel, MD, PhD
3 years
These alerts were sent to specialized epileptologists. We think they can have a huge impact in community practices, too. 9/10
1
0
0
@BDWissel
Ben Wissel, MD, PhD
3 years
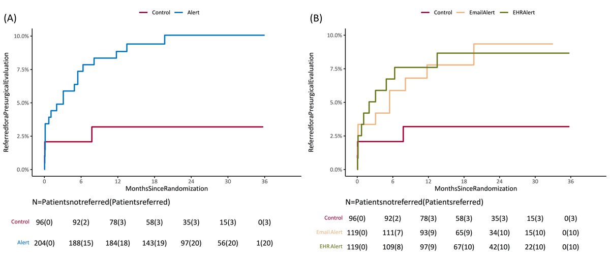
Conclusions: Machine learning–based automated alerts can significantly improve the utilization of epilepsy surgery evaluations. #AIinHealthcare #EpilepsyCare 8/10
1
0
0
@BDWissel
Ben Wissel, MD, PhD
3 years
Importantly, nine patients (4.4%) in the alert group underwent epilepsy surgery, compared to NONE in the control (no alert) group. The power of #AI in action. #DigitalHealth #EpilepsySurgery 7/10
1
0
2
@BDWissel
Ben Wissel, MD, PhD
3 years
Results: Patients whose provider received an alert were 3x MORE LIKELY TO BE REFERRED for a presurgical evaluation compared to the control group (9.8% vs. 3.1%, HR = 3.21). 6/10
1
0
0
@BDWissel
Ben Wissel, MD, PhD
3 years
The primary outcome was referral for a neurosurgical evaluation. We followed patients for a median of 24 months. 5/10
1
0
0
@BDWissel
Ben Wissel, MD, PhD
3 years
A total of 4,858 children were screened, with 284 (5.8%) identified as potential surgical candidates. Of these, the majority (2:1) were randomized to have their providers alerted. #EpilepsySurgery #DigitalHealth 4/10
1
0
0