roger_p_levy Profile Banner
Roger Levy Profile
Roger Levy

@roger_p_levy

Followers
4K
Following
4K
Media
47
Statuses
854

@rplevy.bsky.social | Director, MIT Computational Psycholinguistics Laboratory | Past President, Cognitive Science Society | Chair of the MIT Faculty | He

Joined February 2013
Don't wanna be here? Send us removal request.
@roger_p_levy
Roger Levy
5 years
Since MIT ended negotiations with Elsevier in June 2020, I've declined all new Elsevier reviewer invites. Today I got an editor's thank-you for info I provided on MIT's Framework for Publisher Contracts. A heartwarming reminder: we're all in this together! https://t.co/tBswnnbhPf
3
19
150
@roger_p_levy
Roger Levy
1 year
Results of high stakes elections that happen only once every four years offer remarkable opportunities for overfitting theories of the electorate
1
0
17
@roger_p_levy
Roger Levy
1 year
@washingtonpost subscription cancelled.
0
0
2
@roger_p_levy
Roger Levy
1 year
Patrick Soon-Shiong. Jeff Bezos. Billionaires. Cowards.
1
0
10
@norijacoby
Nori Jacoby
1 year
Are you interested in perception, culture, & big-data analysis? Join my new lab at Cornell: COCOCO: COrnell COmputational COgnition! Multiple PhD & Postdoc opportunities available: https://t.co/wQtY3y2FTD. Please retweet & spread the word! @CO3lab 1/6
6
99
272
@roger_p_levy
Roger Levy
1 year
This is really good!
@littmath
Daniel Litt
1 year
Flip 100 coins, labeled 1 through 100. Alice checks the coins in order (1, 2, 3, …) while Bob checks the odd-labeled coins, then the even-labeled ones (so 1, 3, 5, …, 99, 2, 4, 6, …). Who is more likely to see two heads *first*?
3
0
15
@roger_p_levy
Roger Levy
1 year
Proud to have been a contributor to their GoFundMe legal defense fund!
@jpsimmon
Joe Simmons
1 year
Gino's case against us has been dismissed. Scientists cannot effectively sue other scientists for exposing fraud/errors in their work. Those who work to correct the scientific record can sleep better tonight. Those who don’t want it corrected, well, I don’t care how they sleep.
0
0
15
@ashleyjthomas_
Ashley Thomas
1 year
Want to study how humans think about social relationships? I'm reading grad applications this cycle! More about me https://t.co/2NlWhSMH0X more about the Thomas Lab
Tweet card summary image
harvardlds.org
Meet the Thomas Lab members!
0
36
68
@hapyresearchers
Happy Researchers
1 year
44
1K
9K
@devarda_a
Andrea de Varda
1 year
Ever thought that a transformer's full access to context isn't very human-like? Our paper (w/ @MarelliMar, #CMCL) is out! tl;dr: increasing attention on nearby words improves the correlation between surprisal and reading times https://t.co/uyCOHxtV3q (1/11)
Tweet card summary image
aclanthology.org
Andrea De Varda, Marco Marelli. Proceedings of the Workshop on Cognitive Modeling and Computational Linguistics. 2024.
3
10
58
@roger_p_levy
Roger Levy
1 year
@lksamueltweet @mtoneva1 @ally_mackey @EliotHazeltine #cogsci2025 will happen in San Francisco July 30–Aug 2 2025, in the capable organizational hands of Azzurra Ruggeri, David Barner, @CarenMWalker, and @NeilBramley – can't wait!
0
4
17
@roger_p_levy
Roger Levy
1 year
#cogsci2024 was the biggest cognitive science conference ever (by # submissions and # attendees alike), and a great success. Hats off to @lksamueltweet Stefan Frank @mtoneva1 @ally_mackey & @EliotHazeltine for a phenomenal job as conference organizers/program chairs – thank you!!
@mtoneva1
Mariya Toneva
1 year
13 years ago, I presented my first paper ever at #CogSci. This year I had the honor of serving as a Program Chair. Cognitive science is changing thanks to LLMs. Where will CogSci be in 13 more years? Maybe an undergrad in the audience last week will run it. Or maybe ChairGPT.
1
2
53
@cogsci_soc
CogSci Society
1 year
📣 We’re seeking candidates to fill the position of Executive Officer! The Executive Officer serves as a member of the Society’s Executive Committee, and plays a central role in helping the Governing Board implement their vision. Learn more and apply at https://t.co/jkS63MLRHs
0
5
7
@mark_ho_
Mark Ho
1 year
I'm looking for a postdoc interested in computational cognitive modeling and deep reinforcement learning! Submit a CV and references here: https://t.co/BFNjvqx7Pt Please share with anyone who might be interested!
4
116
204
@roger_p_levy
Roger Levy
1 year
Stick around for the closing remarks for #CogSci2024 and the big reveal for #CogSci2025: it's going to be fun! 16:45 in Rotterdam Hall!
0
1
19
@roger_p_levy
Roger Levy
1 year
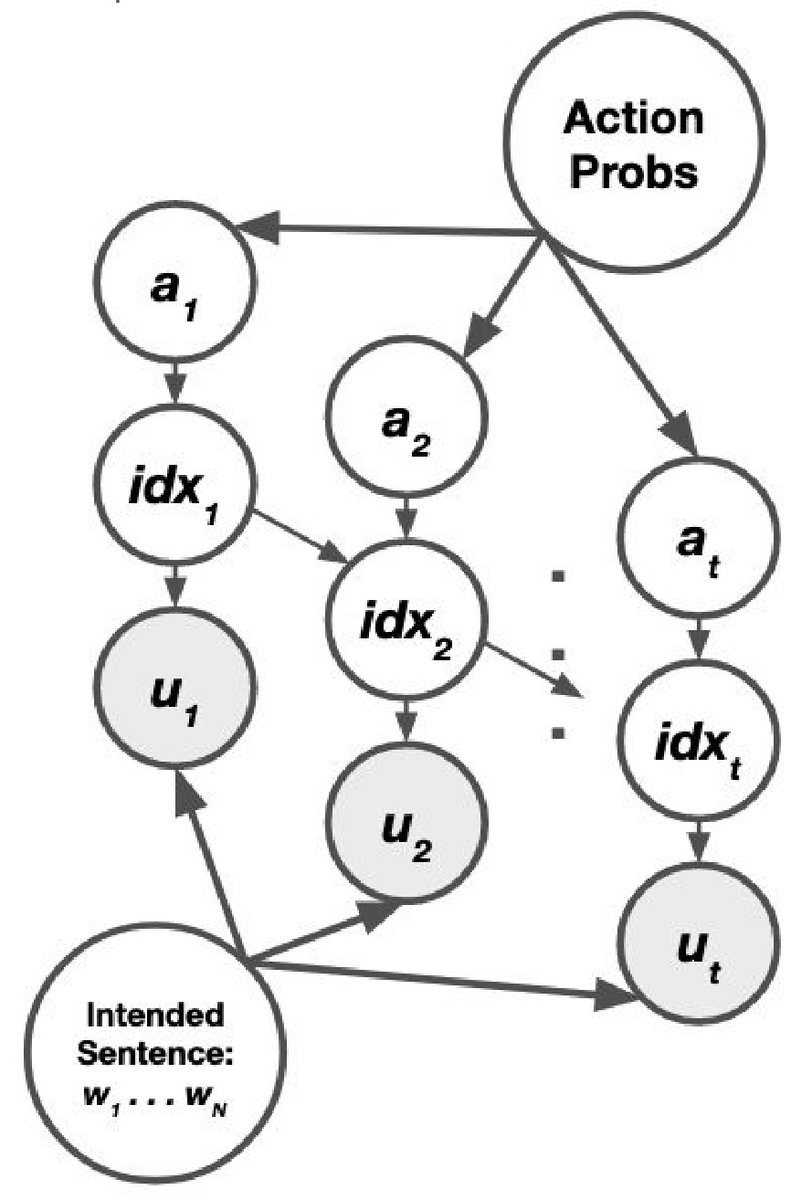
And, one more #CogSci 2024 presentation to advertise: 3: Saturday Poster Session 1–3pm, “Inferring errors and intended meanings with a generative model of language production in aphasia”, led by @thomashikaru! Abstract available at https://t.co/b58j6jRcb3.
0
1
2
@MelMitchell1
Melanie Mitchell
1 year
PSA: If you don't want your X posts used to train Grok, you now have to explicitly opt-out. Go to https://t.co/V8hWTOOXAs and uncheck the box. If link doesn't work, go to Settings->Privacy and Safety->Grok
6
87
190
@roger_p_levy
Roger Levy
1 year
Computational Psycholinguistics Lab reunion at #CogSci2024!!! https://t.co/JvJLLemPl8
2
8
128
@roger_p_levy
Roger Levy
1 year
@jiang_gy #CogSci2024 presentation pride continued: 2: Saturday Poster Session 1–3pm, “A Bayesian Model of Multimodal Phonemic Category Learning”, led by Sophia Zhi and supervised by @StephanMeylan. Visual face information helps phonemic category learning! Paper @ https://t.co/bOgoicoIby
1
2
13
@roger_p_levy
Roger Levy
1 year
Great job Guangyuan! Paper is available at https://t.co/5LOwx4X4f4
0
0
7
@roger_p_levy
Roger Levy
1 year
I'm proud of our group's presentations at #CogSci2024 – come check them out! 1: Today 10:30am–noon in J.F. Stall: "Finding structure in logographic writing with library learning" led by @jiang_gy. This work won the Sayan Gul award for best undergraduate student paper!
2
19
111