
James Chu
@jchu1225
Followers
187
Following
134
Media
0
Statuses
23
https://t.co/fPw1hq66zA
Columbia University
Joined March 2009
Our deadline for a junior position is this weekend. Don’t ask yourself “is my work relevant for a business school?” Simply apply and let us figure that out. We are eager to discover your interesting work. Sociology, OB, management, CSS, strategy or other fields, all are welcome!
We are hiring! The @StanfordGSB has on open JUNIOR position in Macro Org. Behavior. We are broad in our interests. Do you do computational social science? Qualitative work? Apply! We care about the quality of your work, not your degree label. Please RT https://t.co/exYVH4VFfw
0
6
24
🚨New WP: How can we reduce partisan animosity & anti-democratic attitudes in US?🚨 We share results of the Strengthening Democracy Challenge: N=32k megastudy testing 25 depolarization interventions Shows effective treatments for many neg outcomes! 🧵👇 https://t.co/2LrfQtS5Fa
21
265
672
🚨Results are in for the Strengthening Democracy Challenge. Winners will be announced this week!🚨 ITT we announce the 25 submissions we selected to test. We think these submissions are awesome & hope you do too. But first, how we got here…👇🧵
8
92
255
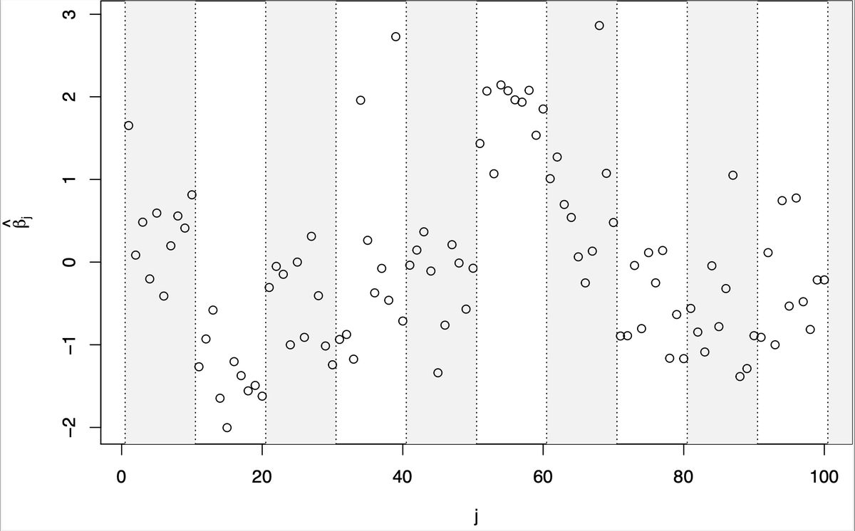
Multiple testing exercise: spot the non-nulls! This plot shows 100 z-statistics in 10 independent groups (vertical stripes). Each true parameter βj is estimated with N(0,1) error, and estimates in the same group have correlation 0.8 Five βj values are nonzero. Can you see them?
1
18
85
I would love to know, too!
If your academic department uses some formal device for ranking academic book publishers for promotion and tenure, I'd love to know what it is. A ranked list? Tiers? Share here, DM/email, anonymous OK, etc. Would just like to know how people do this, institutionally.
0
0
0
More info on the position & how to apply here:
careersearch.stanford.edu
We are looking for a hard-working and highly motivated full-time Research Coordinator to join us beginning in Spring or Summer of 2022.
2
4
20
Social and behav scientists, see below a terrific opportunity to do valuable and meaningful work with the Office of Evaluation Sciences. This is a great opportunity to use your research skills to do important public service. Pls share with others who may be interested! @OESatGSA
The Office of Evaluation Sciences (@OESatGSA) is accepting applications for its yearlong #fellowship that starts in Fall 2022! Learn more and apply here: https://t.co/qQzISuGuK8 Deadline is Monday, January 3, 2022. #OESatGSA #fellowship
0
4
11
Religious identity cues can increase vaccine intentions and trust in medical experts among American Christians. This research - headed up by @jchu1225 and Sophia Pink - out now in @PNASNews. https://t.co/ElcK6uYe2X
pnas.org
Containing the COVID-19 pandemic in the United States requires mobilizing a large majority of the mass public to vaccinate, but many Americans are ...
🚨New WP🚨“Religious Identity Cues Increase Vaccination Intentions and Trust in Medical Experts among American Christians” How to promote vaccination among American Christians? Highlighting Christian identity of experts increases trust & vacc intentions https://t.co/snAvMka47D
0
15
38
📢📢 @ColumbiaSoc is HIRING!!! As part of @Columbia's initiative on #race #racism & #racialequality, we seek to hire an #AssistantProfessor working in any subfield, inc social networks, strat, Latino populations, gender & sexuality Pls APPLY & SHARE! ⬇️ https://t.co/tzAjOd5y1Q
2
46
46
We look forward to your submissions! See our website: https://t.co/lVqULZnZyt Or email sdchallenge@stanford.edu if you have any questions. 3/
strengtheningdemocracychallenge.org
Strengthening American democracy through collaboration, cooperation, and crowdsourcing.
1
1
3
The “Strengthening Democracy Challenge” is a large-scale project testing interventions designed to reduce (a) anti-democratic attitudes, (b) support for partisan violence, and/or (c) partisan animosity. Overview here: https://t.co/c32imfBfpa 2/
🚨Call for Submissions🚨 “The Strengthening Democracy Challenge,” a large-scale project testing interventions to reduce (a) anti-democratic attitudes, (b) support for partisan violence, and/or (c) partisan animosity, is open for submissions NOW 1/ https://t.co/lVqULZnZyt
1
1
3
🚨The deadline for the “The Strengthening Democracy Challenge” is 1 week away!🚨 Submissions are due on October 1. 1/
1
17
16
HONORED to share my @ESSnet Pres Address Reckoning w/#AsianAmerica enables us to dismantle tropes that propel the war on #affirmativeaction, equips us to rewrite narratives abt merit & moral deservingness, & invites us to re-imagine linked fates & futures https://t.co/lJWInm54Sp
3
28
85
In an large experiment we find that White Americans are less likely to follow the choices of their Black peers. Telling subjects in advance that their Black counterparts have high skills is not enough. Experiential recognition closes the attention gap . https://t.co/uh8FkRV8sO
1
17
38
WELCOME to @Columbia #JamesChu and @MarioLuisSmall! We are THRILLED to have you join us @ColumbiaSoc! James Chu joins as Assistant Professor of Sociology Mario Small joins as Visiting Professor of Sociology
0
3
32
🚨Reminder🚨 The deadline for the “The Strengthening Democracy Challenge” is only 1 month away! Submissions are due October 1. 1/ https://t.co/8HSmfK8cFy
4
13
43
Coding/Excel errors are our best chance to do experiments that under normal circumstances would be infeasible/unethical 🤔😅 https://t.co/FsVfD6bJZL
0
3
13
🚨New WP🚨“Religious Identity Cues Increase Vaccination Intentions and Trust in Medical Experts among American Christians” How to promote vaccination among American Christians? Highlighting Christian identity of experts increases trust & vacc intentions https://t.co/snAvMka47D
1
20
50