UCD Respiratory Research Profile
UCD Respiratory Research

@UCD_Respiratory

Followers
25
Following
3
Media
9
Statuses
19

Dublin City, Ireland
Joined December 2023
Don't wanna be here? Send us removal request.
@EM_RESUS
Sam Ghali, M.D.
6 years
Watch this incredible video of a patient with venous thoracic outlet syndrome. Provocative testing shows right subclavian compression and compromised venous return—you can even see flow reversal refluxing up the neck! Courtesy: @paulgamboad #FOAMed https://t.co/Euu3zBIbJ5
68
1K
3K
@ERSpublications
ERS publications
11 months
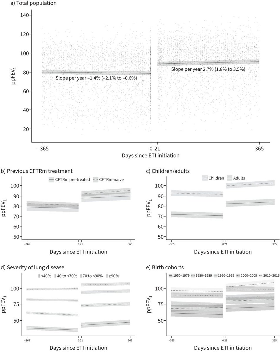
ERJOR: This nationwide real-world study uses high-resolution data to document that elexacaftor/tezacaftor/ivacaftor halts progression of lung disease in cystic fibrosis, and improves lung function across all ages, disease severities and prior modulator use  https://t.co/Y5g00tYKh0
0
5
6
@UCD_Respiratory
UCD Respiratory Research
1 year
What impact has Elexacaftor/Tezacaftor/Ivacaftor had on death & lung transplant rates for eligible recipients with advanced #CF lung disease? >90% reduction according to a study from researchers @UBC @HLIStPauls @ucddublin @CFCanada @UofT & @DalhousieU https://t.co/5O8SmvB23C
0
0
1
@wo_jules
Julie Worrell
1 year
That's a wrap for @ERScongress #ERS2024 👌 great networking session #WomenInSTEM 🫁 catching up with collaborators and making new connections @3Assembly and @irishthoracicS social events 🎉 and finding out how to #GetInvolved @EarlyCareerERS @EuroRespSoc 🤓💪 @UCD_Respiratory
0
4
33
@UCD_Respiratory
UCD Respiratory Research
1 year
0
0
0
@UCD_Respiratory
UCD Respiratory Research
1 year
A great #ERS2024 for @ucddublin. One #ERS president, one incoming #ERS treasurer, multiple session chairs and oral presentations, and over 20 poster presentations. Thanks you to @EuroRespSoc and #Vienna @irishthoracicS
1
1
7
@wo_jules
Julie Worrell
1 year
Thanks to @EuroRespSoc #ERS2024 for the opportunity to discuss this highly collaborative 🫁 study from @adbyrne lab #IPFpathogenesis macrophages #CSF1R great chatting to everyone who came to PS-29 #20 @imperialcollege @UCDMedicine @UCD_Respiratory @ers_ild @BALRcommunity 🙂
0
3
30
@UCD_Respiratory
UCD Respiratory Research
1 year
Ryan Donnelly from @ucddublin presenting results from his late breaking abstract at #ERS2024. “Deciphering disagreement. Sarcoidosis management and the role of FDG-PET/CT.” @EuroRespSoc @irishthoracicS
0
1
5
@UCD_Respiratory
UCD Respiratory Research
1 year
In-press @accpchest ; a clinical guide to Diffuse Cystic Lung Disease https://t.co/eO8Hj9597B A nice collaboration between @UCDMedicine /@svuh and @UCincyMedicine @CincyChildrens
0
1
2
@UCDMedicine
UCD Medicine
1 year
Congratulations to UCD School of Medicine’s Professor Adam Byrne and all the team on their recently published research on Type 1 Invariant Natural Killer T Cells Drive Lung Fibrosis in the American Journal of Respiratory and Critical Care Medicine. More: https://t.co/qpaTpL7emA
0
1
5
@UCD_Respiratory
UCD Respiratory Research
1 year
A Meta-Analysis of FDG-PET/CT in pulmonary sarcoidosis. New work by Ryan Donnelly et al in . Read it open access in @EurRadiology at https://t.co/azgh6WB51r @irishthoracicS @EuroRespSoc @SarcoidosisUK @ILFA_Ireland @StopSarcoidosis #Sarcoidosis
1
0
4
@UCD_Respiratory
UCD Respiratory Research
1 year
Reviewing the evidence of aberrant lipid metabolism in idiopathic pulmonary fibrosis. A possible future therapeutic avenue? https://t.co/oBiFxPsvWM #IPF @AJRCMB
0
0
0
@IPFthurles
Liam Galvin
2 years
Congratulations to Prof. Cormac McCarthy on winning the @ErnLung Academy Webinar of the year as voted by the graduates - Cormac is a member of @EU_IPFF Scientific Advisory Board & co-chair of the Irish #raredisease CTN @rare_trial
0
7
19
@ScienceTM
Science Translational Medicine
2 years
Transplants of lung progenitor cells are safe in people with #COPD and show early signs of improving lung function and exercise capacity, according to results from a clinical trial involving patients with various stages of the disorder. #TongjiUniversity https://t.co/u02HE0CxLM
0
18
53
@UCD_Respiratory
UCD Respiratory Research
2 years
“Management of comorbidities in difficult and severe asthma.” Online ⁦@ERSpublications⁩ . ⁦@ucddublin⁩ ⁦@svuh⁩ ⁦@EuroRespSoc
0
0
0
@UCD_Respiratory
UCD Respiratory Research
2 years
In press now with @AnnalsATS https://t.co/pG9JQx0fMd CPAP but Not GLP1-mediated Weight Loss Improves Early Cardiovascular Disease in Obstructive Sleep Apnea: A Randomized Proof-of-Concept Study @ucddublin @UCD_Research @atscommunity @svuh
0
0
0
@UCD_Respiratory
UCD Respiratory Research
2 years
In press now at @ATSBlueEditor . International collaborative study on the prevalence of lymphangioleiomyomatosis #LAM in Europe, indicates much higher prevalence than previously reported. https://t.co/8GO4hsxEXK
1
1
1
@rare_trial
Rare Disease Clinical Trial Network, Ireland
2 years
RARE DISEASE CLINICAL TRIALS CONFERENCE 🔬🧬 Join global experts, researchers and advocates to explore the forefront of rare disease clinical research 📍The Grand Hotel, Malahide, Dublin, Ireland 🗓️ 29 Feb - 1 March 2024 👥 All welcome! REGISTER HERE: https://t.co/aqxUbkunb4
3
30
49