
Lance Breitstein πΊπΈπ
@TheOneLanceB
Followers
124K
Following
15K
Media
784
Statuses
11K
Ex-@TRLM Top Trader | Market Wizard π§ββοΈ Course: https://t.co/yjydC7QkWY YouTube: https://t.co/y4LhRVZNvb Advisor @SMBCapital | Founder @Impact_Comp
Miami βοΈποΈ
Joined December 2021
GOING LIVE: FRIDAY'S SELLOFF, THE CRYPTOPOCALYPSE, AND THE WEEK AHEAD! Tune in to hear my thoughts on what is likely to be a huge week in markets! Special guest and face reveal for @CryptoGoo5e. LFG! https://t.co/fVN0X4fKVC
29
3
123
IMO, we are entering a pretty dangerous trading market for a couple of reasons. 1. Headline risk (long or short) has increased due to Trump tariffs. 2. Many names are overextended, yet resilient. 3. The ranges in many single-name stocks are absurdly massive. 4. Some leaders are
38
28
400
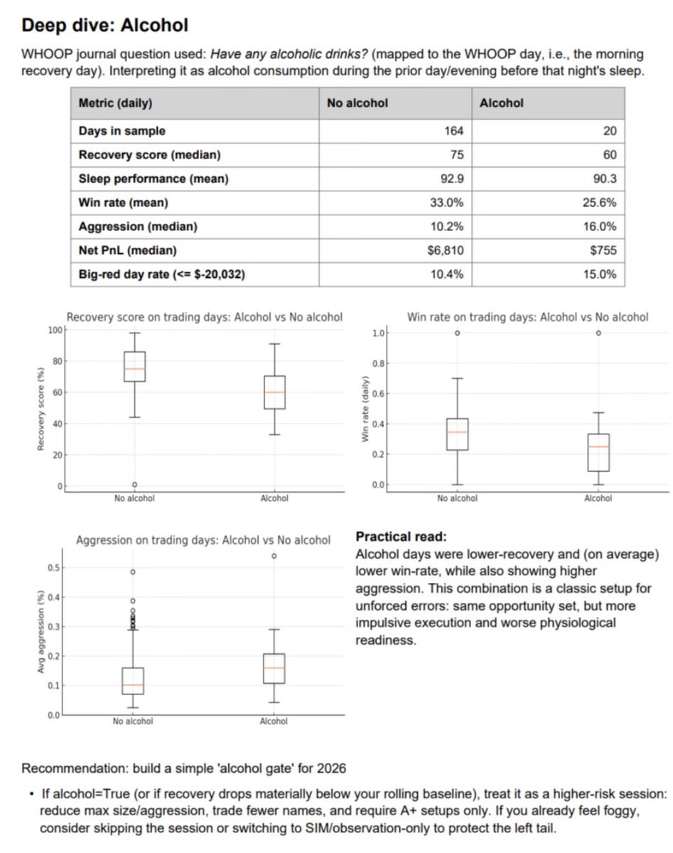
WHY RISK MANAGEMENT IS SO HARD! Itβs fascinating to me how diverse the replies are to my query. From hedges, to bet sizing, to proper stops, to handling dif market environments, managing psychology. Itβs impossible to do justice to even a fraction of these topics. Thatβs
Making a video on risk management. What questions do you have? What areas of it do you want covered?
26
16
245
A must-read for anyone interested in markets or investing: The best of Howard Marksβs memos. https://t.co/6MzZ4V77fz
oaktreecapital.com
In his latest memo, Howard Marks sets forth the essence of value and price, as well as the critical relationship between the two.Β Β
16
30
233
Making a video on risk management. What questions do you have? What areas of it do you want covered?
166
2
290
HOWARD MARKS ON CURRENT MARKET SENTIMENT Marks is my favorite commentator and his memos are probably the only market commentary I regularly read. https://t.co/In7znjXph6
25
12
183
Pervasive leverage use is a lagging indicator of past returns. Paradoxically, higher past returns create the environment for lower prospective returns. The masses use the most leverage when prospective returns are the lowest.
21
6
193
ICYMI, YT Live w @CryptoGoo5e discussing the melt, cautionary lessons from crypto world, PLUS - Fun stories from the Trillium trenches! Subscribe to catch it live each Sunday π https://t.co/zPSu24SfHC
8
1
78
Iβll tell ya this - even though I said this morning that by the time futures open, we could get one tweet and be right back to where we were, I sure as hell didnβt have the balls to long Fridayβs close. So much for the $BABA flush I wanted. Right back to $168 ;(
32
8
269
THE REAL EXPLANATION OF WHY SO MANY CRYPTO TRADERS BLEW UP Iβve been fascinated by the crypto saga and also peopleβs reactions to it. Many people try to rationalize the action and paint those involved as idiots or unskilled. There is no better book to explain what occurred than
70
124
964
How many traders have ever annotated a single chart to this level of detail? How many have done thousands? Every great trader I know (@Qullamaggie, @lx21, @TheShortBear, & my own trainer) built their edge by studying thousands of charts at the highest level of nuance and detail
46
48
615
A CRITICAL MESSAGE TO ALL TRADERS I would be remiss not to speak about the carnage that went on in the crypto markets yesterday. To those who just lost everything in the liquidation - this message is for you. And to those who had no exposure whatsoever - this message is also for
170
315
2K
THE 3 TRAITS OF SUCCESSFUL TRADERS! These 3 traits were the main characteristics I looked for when hiring traders. Interestingly, extreme intelligence isnβt one of them. https://t.co/o1AdU1nXQT
16
4
96
EVERY π΅ HELPS! This yr has been tough for many non-profits. I work closely w a few orgs & see firsthand the struggles they face. @FredHutch is one of my fav beneficiaries. Theyβre great scientists trying to tackle hard problems. π§ͺπ§¬π¬ Letβs all agree: fuck cancer!
18
2
92
TOP TICKERS & THOUGHTS FOR NEXT WEEK π₯ Looks like it could be a crazy one! Fortunately, Iβll be going live again on Sunday at 9am ET (sry for early time but will be on road for @impact_comp). Subscribe & set alerts so you donβt miss it! https://t.co/tiXNd4lUDF
18
5
125
MY TOP RED FLAGS THAT THE BULL MARKET MIGHT PAUSE OR PULLBACK! β οΈ Going Live on YouTube every Sunday dropping knowledge like this! $PLTR $NBIS $NVDA $ORCL Full video at: https://t.co/TvRR02YkOY
45
27
391
MAKE SURE YOU ARE PLAYING THE RIGHT STRATEGY FOR EACH MARKET! Going Live on YouTube every Sunday dropping knowledge like this! Full video at: https://t.co/TvRR02YSEw
23
8
188