Willem Pieter
@wpbrouwer
Followers
95
Following
39
Media
8
Statuses
475
Gastroenterology & Hepatology // MD & PhD // Research & Liver disease // CrossFit & Cycling
Rotterdam
Joined March 2009
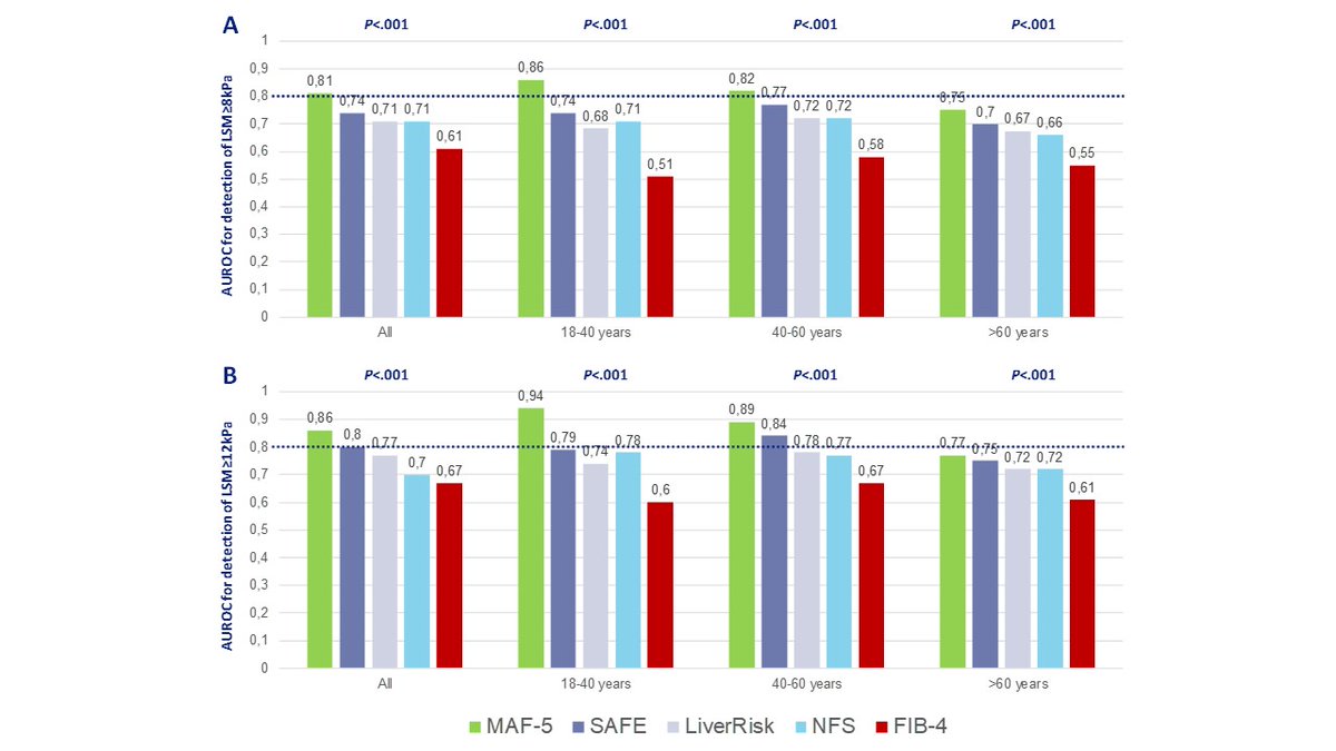
Original Article Comparison of diagnostic accuracy and utility of non-invasive tests for clinically significant liver disease in a general population with metabolic dysfunction Van Kleef et al. #LiverX
https://t.co/Vr0D3A6XcP
1
11
31
Check out our new MAF-5 liver fibrosis risk score for the general population with metabolic dysfunction! This score outperforms existing scores such as FIB-4 and could be a game changer for clinical care pathways https://t.co/oShmYVS5Ga
#Livertwitter @AmerGastroAssn @AGA_Gastro
0
2
4
#EASLStudio: 📢Anti-NASH drug expected in 2024 10%/25-30% of weight loss needed for effects on inflammation & fibrosis Semaglutide ➡️ useful as early treatment? Medications help to lose & maintain weight loss 👍Lifestyle change, combination therapy & multidisciplinary management
0
4
10
Fib-4 is the most widely accepted and used NIT (non-invasive test) for MASLD and MASH initial assessments. In this video fireside chat, @wpbrouwer shares the recent study presented at #easlcongress 2023: "METABOLIC DYSFUNCTION ASSOCIATED FIBROSIS-5 (MAF-5) SCORE ACCURATELY
0
4
4
💠This is a formidable step forward for @uegjournal ➡️Bears the signature of @KM_Pawlak 🔝work of the @my_ueg trainee editors @juliakasperUEG
@dragos_ci @a_zanetto @AlexandreNuzzo @ArchibugiLivia @MelchiorChloe @Iagorlago @diogolibanio @wpbrouwer @MarcusHollenba1
Now you can publish your clinical images in @uegjournal! 📷 Share unusual symptoms, unexpected events during patient treatment or rare complications with the #myUEGcommunity! More information: https://t.co/maAjm1OmCZ
@joostphdrenth @anadugic @omar_elshaarawy
1
8
20
Very good conference on #NAFLD and #NASH @ the #EASL #NAFLDsummit ! Rotterdam hospitals @ErasmusMC and #sintfranciscusgasthuis represented 💪🏻@EASLedu @EASLnews 📷 by @etrepo
0
2
11
Joining the #MAFLD debate: it’s not alcohol use that drives mortality risk in metabolic associated #fattyliver disease! https://t.co/j8ythjUiQa
#livertwitter #alcohol #NAFLD #Hepatology @HEP_Journal
0
0
0
Great @UEGJournal editor meeting with my friends @my_ueg House in Vienna @ArchibugiLivia @KM_Pawlak @lelecapurso @wpbrouwer @diogolibanio @dragos_ci @joostphdrenth @MelchiorChloe
1
7
39
@UEGJournal new Journal Impact factor 4.623 @dragos_ci
@a_zanetto
@AlexandreNuzzo
@ArchibugiLivia
@MelchiorChloe
@Iagorlago
@diogolibanio
@wpbrouwer
@MarcusHollenba1
@KM_Pawlak
1
5
8
Post #ILC2021 session in 🇳🇱 with Ulrich Beuers ✅ Together with @UEGJournal @wpbrouwer on viral hepatitis incl #COVID19 ✅ Great joint effort on stage @my_ueg @EASLnews @phil_newsome7 @tom_marjot @ThomasBerg24 @franconegro57
0
1
12
Taking @UEGJournal to a new Twitter 🌐 Congrats to @dragos_ci
@a_zanetto
@AlexandreNuzzo
@ArchibugiLivia
@MelchiorChloe
@Iagorlago
@diogolibanio
@wpbrouwer
@MarcusHollenba1
@KM_Pawlak
@my_ueg
https://t.co/AfXGtqmu9A
1
5
10
Happy to share the news that our nationwide 🇳🇱paper on 'Aggressive fluid hydration to prevent post-ERCP pancreatitis (FLUYT): a multicentre, open-label, randomised controlled superiority trial' has been accepted by @LancetGastroHep ❇️trial with 826 patients! @my_ueg
7
10
67
“Dual aetiology fatty liver disease”: A recently proposed term associa...
0
3
8
Episode 47 -January 2021 is out! Covering Malignant polyp recommendations, EOE in pregnancy, HE treatment, etc. #GITwitter #LiverTwitter #MedEd iTunes - https://t.co/nZwhLZcqE2 Spotify - https://t.co/0ueNC561hb Stitcher - https://t.co/pMgVaWetQK Web - https://t.co/lpjWQoO1wC
open.spotify.com
Podcast · Dmitriy Kedrin · Gastroenterology Literature Review
1
18
40
Check out our new publication which shows an improved long-term #survival for #septic #shock patients treated with #cytosorb @CytoSorbents
karger.com
Abstract. Background and Aims: It is currently unknown whether CytoSorb treatment for septic shock improves long-term survival beyond 28 days from intensive care unit (ICU) admission and which...
0
0
1
Maybe I did not advertise it well enough but....As of yesterday @KM_Pawlak is the Social Media Editor of @UEGJournal I have great confidence that she will exceed all expectations @wpbrouwer @drkeithsiau @AlexandreNuzzo @Iagorlago @diogolibanio @MelchiorChloe @Iagorlago
1
5
24
I have great trust in @wpbrouwer & Marcus Hollenbach acting as Search Engine Optimization Editors for @UEGJournal They will do the job and your article in will find its way among the best of the best @dragos_ci @AlexandreNuzzo @MelchiorChloe @Iagorlag
@diogolibanio @my_ueg
0
3
10
Inaugural meeting with the @my_ueg trainee editors @WileyEducation Very happy to have these excellent professionals attached to the @UEGJournal @wpbrouwer @KM_Pawlak @AlexandreNuzzo @Iagorlago @diogolibanio
1
8
28
CytoSorbents Highlights Survival Benefit of CytoSorb Therapy in Septic Shock - Sep 25, 2019
0
0
1