
The Lancet Gastroenterology & Hepatology
@LancetGastroHep
Followers
27K
Following
2K
Media
3K
Statuses
10K
The Lancet Gastroenterology & Hepatology is the world-leading #gastroenterology and #hepatology research journal. IF=38.6.
Joined February 2016
We are the world-leading journal dedicated to gastroenterology & hepatology research and review. While a partial measurement of our impact, we are pleased to share our 2024 Impact Factor is 38·6 & our Scopus CiteScore is 51·1. https://t.co/jeKZS7j7SX
#GITwitter #LiverTwitter
1
2
21
New Review - Fatigue in people with primary biliary cholangitis: a position paper from the European Reference Network for Rare Liver Diseases https://t.co/uplaIxaAf4
#LiverTwitter #MedTwitter
thelancet.com
Given the unmet need of fatigue in primary biliary cholangitis (PBC), the PBC working group of the European Reference Network for Rare Liver Diseases assessed and summarised the current evidence...
0
3
16
Alcohol use disorders consist of conditions characterised by compulsive heavy alcohol use and loss of control over alcohol intake. A new Seminar discusses the need for integrated alcohol control policies to improve the prevention of alcohol use disorders, improve access to
5
45
91
New research - Thoracoscopic versus open oesophagectomy for patients with oesophageal cancer (JCOG1409 MONET): a multicentre, open-label, randomised, controlled, phase 3, non-inferiority trial https://t.co/uS4RtGKyjh
#GITwitter #MedTwitter #OncTwitter
1
4
16
📅 Mark your calendar for The #LancetSummit: shaping the future of #diabetes prevention Nov 30–Dec 2, 2026, in Sitges, Spain. Submit your abstracts and join expert speakers to discuss the latest advances in preventing diabetes. Find out more: https://t.co/2lVzzxYhSE
1
11
26
New review - Age-related changes of the gastrointestinal tract https://t.co/wBq1ym455M
#GITwitter #MedTwitter
1
98
296
Our latest network meta-analysis looking at efficacy of behavioural therapies in #IBS is now published online in @LancetGastroHep
https://t.co/sgVxyFP1VQ
@DrElyseThakur @Maiskh_ @PaulMoayyedi @DrCJBlack
0
10
20
New research - Efficacy of behavioural therapies for irritable bowel syndrome: a systematic review and network meta-analysis https://t.co/lYRqtHoemG
#GITwitter #MedTwitter @alex_ford12399 @RomeGastroPsych
thelancet.com
Several behavioural therapies are efficacious for global symptoms in IBS, although the most evidence exists for those classed as brain–gut behaviour therapies. However, certainty in the evidence for...
0
11
22
Our latest issue is out now at https://t.co/bK6A0hWWqa... Content includes #obesity, #MASLD, #FMT for #Cdiff, #viralhepatitis, #cirrhosis, #DGBI, & more! #GITwitter #LiverTwitter #MedTwitter
1
5
10
We deliver nutrition and diet interventions using a range of methods: supplements; foods; and whole diets, each of which have advantages and disadvantages. Presentation @UegWeek #uegweek2025 And full details in our review in @LancetGastroHep
https://t.co/aP4A0mmnOg
0
3
18
The full ENDURO report has just been published at @LancetGastroHep - https://t.co/NRjUFqOhOt
#UEGWeek #GITwitter #MedTwitter
0
1
1
Palliative treatment with endoscopic gastroenterostomy was superior to surgical gastroenterostomy for time to resumption of solid oral intake and was non-inferior for the rate of persistent or recurrent obstructive symptoms requiring re-intervention #GITwitter #UEGWeek
1
0
5
Opening plenary time at #UEGWeek! The first research of the session is presented by Yorick van de Pavert, with the ENDURO trial of endoscopic versus surgical gastroenterostomy for palliation of malignant gastric outlet obstruction #GITwitter #MedTwitter
1
1
6
Our Editor-in-Chief, Rob Brierley, will be at #UEGWeek in Berlin October 5-7! If you'd like to discuss your research or ideas for reviews or opinion pieces, or just catch up over a coffee, please drop him a line! #gastroenterology #UEGWeek2025
0
4
11
🚨Our Oct issue is live - https://t.co/Syinw10Fjk 📊Articles: #RCC, #SCLC, #NSCLC, #BladderCancer, #Myeloma, #PancreaticCancer, #EndometrialCancer, and #ThyroidCancer 📰Reviews: EU–CAYAS–NET recommendations for health-care transitions in young people beyond childhood cancer
1
6
20
🔔 Introducing The Lancet Regional Health – Africa, a new #goldopenaccess journal promoting the advancement of clinical practice and health policy in Africa. Explore the new journal at https://t.co/rV56OtErfc
2
12
27
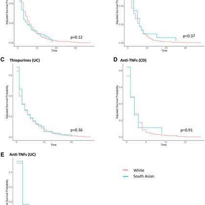
New research - Etrasimod as induction and maintenance treatment for patients with moderately to severely active ulcerative colitis in East Asia (ENLIGHT UC): a phase 3 study https://t.co/TFQkY8TdiU
#GITwitter #MedTwitter #IBD
1
2
9
🚨 Save the date! The @HepBFoundation and @ICE_HBV are co-hosting a moderated panel discussion on the rationale for expanded and early treatment of hepatitis B. The session will highlight two of our recent co-authored papers published in The @LancetGastroHep. We’re delighted
0
4
9
Our Editor-in-Chief, Rob Brierley, will be at #UEGWeek in Berlin October 5-7! If you'd like to discuss your research or ideas for reviews or opinion pieces, or just catch up over a coffee, please drop him a line! #gastroenterology #UEGWeek2025
0
4
11
New research - Effects of lyophilised faecal filtrate compared with lyophilised donor stool on Clostridioides difficile recurrence: a multicentre, randomised, double-blinded, non-inferiority trial https://t.co/jRyNoubvpr
#FMT #Cdiff #GITwitter #IDTwitter
0
0
4