mjbeyak Profile Banner
Michael Beyak 🇺🇦 Profile
Michael Beyak 🇺🇦

@mjbeyak

Followers
913
Following
32K
Media
332
Statuses
17K

GI/IBD, neurogastroenterologist. When not in hospital you’ll hopefully find me outside, on a bike or on the water. Tweets are my opinion only. 🇨🇦🇺🇦

Kingston, Ontario
Joined December 2013
Don't wanna be here? Send us removal request.
@laura_tee_mdgi
👩‍⚕️ Laura T 👩‍⚕️
10 months
I’m the Division Director for Canada’s largest academic program in gastroenterology and liver diseases at the University of Toroto If you’re concerned about your future in academic medicine in the US given the changes at the NIH, let’s talk No promises, but every opportunity
1
4
19
@Bealoquebea
Beatriz Gros
1 year
Chronic visceral pain. Review of the management of this situation that often is difficult to understand & treat,leading to worsening in the quality of life of our patients. A very nice review by @alex_ford12399 @GastroRes_Leeds https://t.co/MBcnvXoA2L
0
11
45
@melodiacband
melodiacband
2 years
the album is out today!
Tweet card summary image
open.spotify.com
MELODIAC · album · 2024 · 10 songs
0
1
1
@mjbeyak
Michael Beyak 🇺🇦
2 years
Who needs citations, H index etc when your manuscripts are adored.
1
0
13
@laura_tee_mdgi
👩‍⚕️ Laura T 👩‍⚕️
2 years
1/ Would a GI Doc (or IBD patient) consider surgical management for early ileal IBD instead of med management? What level of evidence will be necessary to change practice? lets look at the recent work by Agrawal et al 🧵🧵 #GITwitter https://t.co/CRjJu3tie8
4
28
74
@DanielJDrucker
Daniel J Drucker
2 years
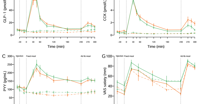
Do gut hormone levels, responsivity, both, or neither, contribute to #weightloss responder-non-responder status after bariatric surgery? @IntJObesity #obesity
Tweet card summary image
nature.com
International Journal of Obesity - Primary weight loss failure after Roux-en-Y gastric bypass is characterized by impaired gut-hormone mediated regulation of food intake
2
15
58
@DrDaveRod
David Rodrigues
2 years
Happy to share this work by @JayKataria2 @danielrivera_14 on the sensitivity of biopsies in diagnosing NERD. Long story short, bx within 3cm of GE junction showing histologic abnormalities is fairly sensitive for NERD. #queensgi @QueensuDOM https://t.co/mMJ7RMaWMe
Tweet card summary image
onlinelibrary.wiley.com
We sought to determine the sensitivity and specificity of esophageal biopsies in patients with non-erosive reflux disease (NERD) diagnosed with endoscopy and ambulatory pH testing. The results of...
1
3
8
@AGA_CGH
CGH
2 years
An updated systematic review shows what we find at EGD in patients who have and do not have dyspepsia. Should we be scoping as much as we do? https://t.co/LdMK2NU078 @PaulMoayyedi
0
7
10
@mjbeyak
Michael Beyak 🇺🇦
2 years
Happy Canada 🇨🇦 day!!
0
0
4
@RobertBechara
Robert Bechara
2 years
⚡️Honoured to showcase these groundbreaking minimally invasive procedures. Grateful for the ongoing support of @QueensuDOM @DrStephenArcher @Hookeyl @QueensGenSurg @QueensCRS @QueensPeriopMed @KingstonHSC 🙌🏽. Excited for the future as we expand our program! #GITwitter
@KingstonHSC
KingstonHSC
2 years
KHSC has become North America’s premier centre for advanced endoscopy procedures. Known as ‘third space endoscopy,’ this type of minimally invasive care, lead by @RobertBechara, is changing the lives of patients in Southeastern Ont. More: https://t.co/nGRP7ekZNE #onhealth #ygk
0
4
55
@KingstonHSC
KingstonHSC
2 years
KHSC has become North America’s premier centre for advanced endoscopy procedures. Known as ‘third space endoscopy,’ this type of minimally invasive care, lead by @RobertBechara, is changing the lives of patients in Southeastern Ont. More: https://t.co/nGRP7ekZNE #onhealth #ygk
4
14
66
@CAMHnews
CAMH
3 years
Today is International Day Against Homophobia Transphobia And Biphobia. The rise in anti-trans violence + legislation is a stark reminder of why days like #IDAHOBIT are important. We can’t and won’t allow hate to jeopardize the delivery of life-saving, gender-affirming care.
1
29
73
@ericbenchimol
Eric Benchimol
3 years
Why publish in @JCanAssnGastro ? Check out the benefits of open access publishing in our leading GI journal, including discounted publication fees for @CanGastroAssn members and trainees, Pubmed indexing, and an international readership - https://t.co/Uoh03FAgoL
0
2
3
@drrandywax
Dr. Randy Wax
3 years
Opportunity of a lifetime for a medical educator interested in the new Assistant Dean position at our Lakeridge Health/Durham Campus for Queen’s University Health Sciences. Can coordinate with clinical work @LakeridgeHealth. Please share! https://t.co/Ji2Rh1Srf9
0
11
14
@QueensUHealth
Queen's Health Sciences
3 years
Dr. @VannerStephen's talks about the relationship between brain and gut health on @CBCOntMorning. His research aims to identify the underlying causes that trigger #gutdisorders symptoms & improve treatment:
0
6
10
@dwmessenger
David Messenger
3 years
@StevenCBrooks @Qemerg @QueensUHealth @queensuResearch @KingstonHSC Be like Steve. Come be a #clinicianscientist at @Qemerg! See amazing things happen and work with fantastic people (like Steve). We are hiring research-intensive clinicians as well as clinically-intensive clinicians to join the best EM group in Canada!
1
6
14
@DrDaveRod
David Rodrigues
3 years
Queen's researchers examining gut, brain connection seek participants
thewhig.com
0
5
12
@DrDaveRod
David Rodrigues
3 years
@drkeithsiau Okay being Canadian I know this is probably CCS.... but playing the numbers, probably IBS and fgp from Dyspepsia and PPI use :) see below for shameless self promo...
Tweet card summary image
onlinelibrary.wiley.com
The prevalence of Rome IV diagnoses varies across Canada, and their impact is influenced by numerous factors including primary language, prescription pain medication use, and the presence of overla...
0
1
6
@alandrummond2
alan drummond
3 years
Shortage of family physicians in Kingston area leaves 'absolutely impossible' situation
thewhig.com
6
20
36