lilivargha Profile Banner
Lili Vargha Profile
Lili Vargha

@lilivargha

Followers
515
Following
2K
Media
57
Statuses
892

Social scientist. @AvHStiftung Humboldt Postdoc @HumboldtUni. Researcher @HDRI_Budapest. Lifecourse, intergen. transfers, investments in children, unpaid work

Berlin
Joined March 2016
Don't wanna be here? Send us removal request.
@WiCVienna
Wittgenstein Centre
11 months
@lilivargha analyzes parental employment patterns (Germany, 1990-2020), identifying six joint trajectories around first births. Findings show how relative resources within and between couples are associated with different employment and reproductive trajectories. #latefert
0
4
13
@DemographicRes
Demographic Research
1 year
Are parents’ social disadvantages becoming more concentrated over time? The findings suggest that single motherhood increased disproportionally among less-educated women. https://t.co/P4HXGUlWQi
0
10
18
@LSEImpactBlog
LSE Impact Blog
1 year
💥New: What makes the child penalty in academia different? @RiaIvandic & @AnSoLassen #HigherEducation #AcademicParents
0
10
10
@RebeccaSear
Rebecca Sear
1 year
“findings highlight variability in average well-being trajectories over the life course. Ensuring successful aging will require a greater focus on cultural and socioecological determinants of individual trajectories”
Tweet card summary image
science.org
Subjective well-being in small-scale subsistence-oriented societies shows variable trajectories over adulthood.
0
3
21
@NicoleKapelle
Nicole Kapelle
1 year
Come and work with my colleagues and me in lovely Dublin! Fantastic opportunity for a quantitative social scientist. Feel free to get in touch if you have questions about Dublin, the department, etc.
@TCDsociology
Department of Sociology, Trinity College Dublin
1 year
🆕 Vacancy at @tcddublin @TCD_SSP: #tenuretrack Assistant Professor in Quantitative Sociology! 🗓️Deadline: Dec 2 Apply 👉: https://t.co/WcPcBC3ZmI #soctwitter #poptwitter
1
13
46
@ValeriaBordone
Valeria Bordone
1 year
Do you have a PhD in sociology/political science/demography and are you interested in #climate policy and #intergenerational relationships? Come work with us 👇
0
10
7
@d_alburez
Diego Alburez
1 year
Even if all hostilities were to cease immediately, we estimate it would take over 50 years of uninterrupted peace to reduce the proportion of bereaved individuals in the Palestinian population to a quarter of current levels. New article w/ @Acosta_Kike_ 👇
Tweet card summary image
theconversation.com
1 in 43 Palestinians have lost a child to war. Bereavement on this scale can drive conflict for generations to come, and reshape whole societies.
1
22
49
@CTURandMTUS
Centre for Time Use Research
1 year
Elena has presented the new #timeuse Stata package! Download now using: ssc install timeuse We aim to make time diary data management more accessible - all thanks to Juana for writing these programs! Read more at: https://t.co/oF65i9nccN #IATUR2024 @IATUR #timeuseresearch
0
6
30
@YidanPrize
Yidan Prize
1 year
Congrats to Wolfgang Lutz and the @warchild team, represented by Mark Jordans, Marwa Zahr, & Luke Stannard. They’re building a brighter future through demographic research & equitable technology: https://t.co/lWaBBiRuIw #YidanPrizeAnnouncement @IIASAVienna @oeaw
0
8
14
@selcukbeduk
Selçuk Bedük
1 year
In our latest AJS paper, we show that life courses differ across four EU countries only for disadvantaged groups, likely due to varying welfare states and responsibilities of state, market, and family. Collaboration with A. Fasang, @AleksiKarhula, @zafer_113, and S.B. Andrade.
@DSPI_Oxford
Oxford DSPI
1 year
New publication alert! How do work & family life courses differ in welfare states across Europe? Explore findings from a study co-authored by @selcukbeduk (Departmental Lecturer @DSPI_Oxford) ⬇️ Read more: 👇 https://t.co/Mc3m1x08Wn #WelfareStates #SocialPolicy #GenderEquality
3
22
64
@lilivargha
Lili Vargha
1 year
New position, new view: happy to start a new Postdoc position (Lecturer and Researcher) at the University of Vienna, Institute of Sociology @IfSWien Please follow me @lilivargha@bsky.social for more regular updates (for example the view from the other window of my office)
0
1
6
@sjesEditors
Swiss Journal of Economics and Statistics
1 year
Call for Papers: Family Policies and Labor Supply The Swiss Journal of Economics and Statistics invites submissions to the “Family Policy and Labor Supply” collection, edited by @AlineButikofer, Conny Wunsch, @ChristinaFelfe, and Andreas Steinhauer. This collection will explore
0
8
5
@MartinKolk
Martin Kolk
1 year
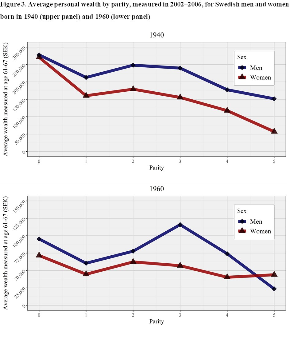
When analyzing wealth by parity, the most striking finding is that childless women, especially in the 1940 cohort, have much more wealth by age fifty than those with children. This suggests wealth accumulation may be easier without the financial and time costs of children. 4/10
1
1
5
@AdrianRaftery1
Adrian Raftery
1 year
World Population Prospects 2024 just issued by the @UN Population Division @UNDESA. For the first time it includes uncertainty about migration, a major breakthrough. Congratulations @Patrick_Gerland & the whole Division.
@Pop_Council
Population Council
1 year
According to the World Population Prospects 2024 developed by @UN @UN_DESA, 4.7 million babies, or about 3.5% of the total worldwide, were born to mothers under 18 in 2024. Explore more findings from the #WPP2024 this #WorldPopulationDay: https://t.co/ep7Zj57vmd
2
14
31
@lilivargha
Lili Vargha
1 year
Many thanks for the organizers and participants! The workshop was great with many exciting presentations and discussions.
@MKreyenfeld
Michaela Kreyenfeld
1 year
Thanks to all participants & our great keynote Teresa Castro at the workshop: Family Diversity and Social Inequality: A Global Perspective @ZJVanWinkle @JuhoHarkonen @PlattLucinda  @Arnstein_Aassve @LetiMencarini @stefaniapmolina @sarahiresendez @CIVICA_EU @thehertieschool
0
0
3
@CIVICA_EU
CIVICA The European University of Social Sciences
1 year
📸 Live sneak peek from the #CIVICAWorkshop on  #FamilyDiversity and  #SocialInequality! 🗓️ July 3-4, 2024   📍 Hertie School, Berlin Inspiring keynote by Teresa Castro Martín on "The Social Class Divide in Family Lives in Latin America," chaired by Michaela Kreyenfeld.
1
5
8
@NicoleKapelle
Nicole Kapelle
1 year
Thank you @stefaniapmolina & @sarahiresendezc for organising such a stellar workshop on "Family Diversity & Social Inequality" @thehertieschool @CIVICA_EU 👏 Fantastic to discuss some of my work-in-progress work on intra-couple inequalities & to see other very innovative research
0
6
48
@RobGruijters1
Rob Gruijters
1 year
Introducing the LIFE COURSE BOAT: A new theoretical framework for understanding variation in family lives over time, between social groups, and between contexts. Newly published in @JMF_NCFR (w Anette Fasang & @ZJVanWinkle): https://t.co/gSEpiw6Lf9 Brief summary ⬇️
1
7
27
@lilivargha
Lili Vargha
1 year
The best thing that can happen to a conference! Many thanks #EPC2024 @IsChiaThere EPC organizers and EAPS Parent Network!
@IsChiaThere
Chia Liu
1 year
Ok we are ready for you, children of #EPC2024 (room G.01)
0
0
13
@d_alburez
Diego Alburez
1 year
The newly established @EAPS_pop 'Equity and Diversity in Demography and Demographic Research Working Group' will hold its first preconference event at #EPC2024 in Edinburgh! Join us to learn more and help shape the group's work. More info: https://t.co/TN2eq8Hw52
0
13
41