
Rosanne Rust, MS, RDN
@chewthefacts
Followers
9K
Following
15K
Media
2K
Statuses
23K
Translating nutrition data into well-reasoned advice. Writer|Blogger|Foodie|VoiceofReason|DASH Diet #foodwaste #dashdiet @rustnutrition
Joined June 2008
Thank you Liz Goar for the interview.
Rosanne Rust, MS, RDN (@chewthefacts) is an established nutrition communications consultant with several published books and a thriving online presence. Read about her focus on combating nutrition misinformation and encouraging zero-waste cooking: https://t.co/Tfjl2Q1cmk
0
1
2
“We’re experiencing the greatest reduction in biomedical research support that I think America has ever seen” https://t.co/Q0mJATXnZt
foodnavigator-usa.com
Kevin Hall, a former senior investigator at NIH, says MAHA children’s report fails to address ultra-processed food threat
4
10
36
For anyone wondering how we got to the point of an HHS Director who's thinking about children's mitochondria when he looks at them. There are so many academic medical centers complicit in how we got here because embracing the rise of bs integrative & functional medicine helped
11
13
79
Have your read about the new blood pressure guidelines? Here's what to know: https://t.co/UA7bs3yibo
#bloodpressure #DASH #DASHdiet
rustnutrition.com
When I began my career I worked in clinical inpatient and outpatient nutrition. For many years, "High blood pressure" was anything over 140/90. However since 2017 it's been defined as any reading...
1
0
0
Last week’s shooting at the CDC wasn’t random. A man fired over 180 rounds, killing one guard and forcing 93 children to flee daycare — because he believed the toxic lies that the COVID vaccine had harmed him. These lies have names. They have sources. And they have deadly
2
9
20
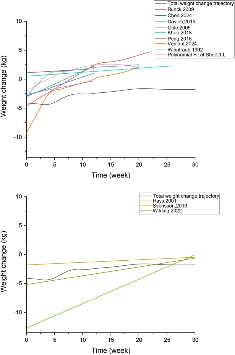
📉 What REALLY happens when you stop anti‑obesity meds? - - - A new meta‑analysis [Wu et al., BMC Medicine, 2025] just mapped the weight regain trajectory after stopping GLP‑1s and other AOMs—and it’s eye‑opening. Key findings: ⏳ First month off: Weight loss continues briefly
14
86
280
There's so much noise about nutrition in the media recently but none of it seriously confronts the decades of underfunding of nutrition research that inhibits us from knowing as much as we should know. The scandal isn't artificial food colours in ice cream- it's that we don't
10
30
128
What if cancer classifications were less about science… and more about lawsuits? Let’s talk about IARC. And how some people turned it into a goldmine. 🧵1/
6
32
79
You don't have to follow a crazy, restrictive diet to be healthy, prevent or manage disease. The DASH4D study is a clinical trial investigating the effects of a modified DASH diet on blood pressure in individuals with type 2 diabetes. https://t.co/B4Sblidkwc
physiciansweekly.com
WEDNESDAY, June 18, 2025 (HealthDay News) -- The Dietary Approaches to Stop Hypertension for Diabetes (DASH4D) diet with…
0
0
1
There’s so much misinformation out there about red dyes in foods. Contrary to popular belief (or what Foodbabe says), they aren’t banned in the EU—they’re regulated and have a solid safety record. It feels a bit intellectually dishonest when policymakers and food companies focus
2
5
12
The head of the FDA tells us they're taking a look at the dietary guidelines and that the food pyramid is out. The food pyramid has not been in use since 2011 when MyPlate replaced it. It is inherently concerning the head of the FDA doesn't know this, but even moreso that
53
538
2K
This is your daily reminder that organic farming also utilizes pesticides. Pests are indiscriminate, affecting all types of fields and production methods. Consequently, organic products can also show traces of pesticides. Regardless of how your produce is grown, the pesticide
1
15
24
The USA was a science & tech trailblazer, now we are going backwards. Kennedy doesn’t believe science nor understand it. We’ve seen so much advancements in the genetics field and now instead of embracing it we are halting progress.
0
0
2
It's super heartening to see stuff like this and at the same time, reminds me that the entirety of the academic nutrition community is still largely sitting quiet. It is wild to watch societies and tenured folks sit on the sidelines hoping for benefits from the performative
Breaking news: Staff at the National Institutes of Health have issued a declaration calling on their director to depoliticize the agency and reverse spending cuts.
7
15
115
Farming and False Assumptions: the Dunning-Kruger Effect & Medical Experts https://t.co/lFqQOsInt9
2
7
14
Make America Healthy, Again? The Past, Present and Future of Dietary Guidelines Good insights and analysis of the history of the DGA's from @KCKlatt
https://t.co/OFM5uOWpMK
2
12
32
Amazing to see press releases on a hypothesis paper that uncritically accepts the extremely methodologically flawed brain-microplastics paper https://t.co/7KuHiHYwe8
apple.news
Scientists warn about the combined health impacts of microplastics and ultra-processed foods that contain them in four new papers.
7
12
76
I’ve been getting questions from multiple reporters about historical, legal, and practical qualifications for the role of Surgeon General. The U.S. Public Health Service (USPHS) Commissioned Corps serves as America's "health army," comprising over 6,000 officers dedicated to
22
133
521
Giving GOT vibes.
It has been revealed to me that @NicoleShanahan is collaborating with influencers to sink Casey’s nomination as Surgeon General and imply we aren’t loyal to President Trump. The only substantive conversation I have had with Nicole was the day of Bobby Kennedy’s endorsement of
0
0
0
“Is there something not conservative about the USDA nutrition guidelines saying that little children should not eat added sugar and they should eat whole food?” 🤔 Do you think Calley Means has ever actually read the US Dietary Guidelines for Americans?
MAHA is not left or right. MAHA is about unraveling corporate capture. Calley Means: “Taking a $10 billion subsidy away from soda for kids is not a violation of conservative principles.” “Is there something not conservative about the USDA nutrition guidelines saying that
0
0
2
Calley will do anything to push an anti-institutional/expert narrative so that he can bolster his chances of cashing out his company, Truemed, including lying about @AmerAcadPeds guidelines he expects you not to read. It's a 100 pg document that has a single paragraph on GLP1s
This is how it works: (1) The American Academy of Pediatrics (AAP) accepts millions from pharma. (2) The AAP recommends Ozempic as a frontline defense for 12 year olds. (3) The CDC says this is “evidence-based” standard. This is rank corruption against kids.
9
18
110