Journal_PHSA Profile Banner
Pharmaceutical Science Advances Profile
Pharmaceutical Science Advances

@Journal_PHSA

Followers
588
Following
125
Media
163
Statuses
283

Pharmaceutical Science Advances, a journal from Shandong University, publishes peer-reviewed research across all fields of pharmaceutical science.

Jinan, Shandong, CHINA
Joined April 2023
Don't wanna be here? Send us removal request.
@Journal_PHSA
Pharmaceutical Science Advances
3 years
Pharmaceutical Science Advances ไธจ We are coming PHSA๏ผšAn Official Journal of Shandong University To know more about PHSAโ†’ https://t.co/WpnIBFFcBv by Elsevier
3
12
20
@Journal_PHSA
Pharmaceutical Science Advances
24 days
Check out to read this article from Pharmaceutical Science Advances โœ… Tiny Sponges for Medicine: How Metal-Organic Frameworks are Revolutionizing Drug Delivery ๐Ÿ‘‰ https://t.co/Hou9IypSO0๐Ÿ‘
0
1
2
@Journal_PHSA
Pharmaceutical Science Advances
26 days
BIG News!!! ๐ŸŽ†Recently, Pharmaceutical Science Advances has been officially indexed by PubMed Central (PMC). ๐ŸŽ‰ ๐ŸŽ‰๐ŸŽ‰ Here, the PHSA editorial office sincerely thanks the editor-in-chief, editorial board members, authors, readers and reviewers for their strong support and
0
1
2
@Journal_PHSA
Pharmaceutical Science Advances
1 month
As we step into 2026, the entire editorial team extends our warmest wishes to our authors, reviewers, readers, and the entire pharmaceutical science community. ๐ŸŒŸ ๐ŸŒŸThank you for your invaluable contributions and support.๐ŸŒŸ#PharmaceuticalScience #HappyNewYear #AcademicPublishing
0
1
2
@ActaPharmSinB
Acta Pharmaceutica Sinica B
2 months
Highlightโœ๏ธ#Protein #degradation-based #anti-#infective #drug research. From Dr. Zhan @ShandongUniversity; https://t.co/4I7vMrvSGJ.
0
1
5
@Journal_PHSA
Pharmaceutical Science Advances
1 month
๐ŸŽ‰Big news! The Volume 3 of Pharmaceutical Science Advances journal is out now! ๐Ÿ’ก All papers are open access. ๐Ÿ”“ Click ๐Ÿ‘‰ https://t.co/g5N9srt0XH to explore. Don't miss out! #PHSA #Pharmaceutical #Pharmacy #OpenAccess #ScienceDirect
0
1
2
@Journal_PHSA
Pharmaceutical Science Advances
10 months
Can nature fight lung cancer? ๐ŸŒฟ๐Ÿ“ท Garcioligantone J and K from Garcinia oligantha trigger reactive oxygen species-endoplasmic reticulum stress apoptosis in lung cancer cells. ๐Ÿ“ท https://t.co/ht30qYc1cF #PHSA #Pharma #Cancer
1
2
3
@Journal_PHSA
Pharmaceutical Science Advances
10 months
Interesting research in the field of #CancerResearch in this article from @NatureBiotech ๐Ÿ“– Thanks to the research team at @UCSF for their inspiring commitment to advancing science! ๐Ÿ™Œ Follow for more research breakthroughs ๐Ÿ”ฌ #Cancer #Oncology #Research #Tumor
@NatureBiotech
Nature Biotechnology
1 year
Implantation of engineered adipocytes suppresses tumor progression in cancer models https://t.co/leLxy8RO10
0
1
3
@Journal_PHSA
Pharmaceutical Science Advances
11 months
Brilliant discovery, expertly shared by @EricTopol! A novel class of antibiotics with a fresh mechanism, offering new hope against AMR. Don't miss this! ๐Ÿ’Š #AMR #Biotech #MedTwitter #FutureOfMedicine #PHSA
@EricTopol
Eric Topol
11 months
Discovery of a new class of natural antibiotics with a new mode of action to address antimicrobial resistance, a major unmet need @McMasterU @Nature https://t.co/AuCVO7QhSb
0
1
1
@Journal_PHSA
Pharmaceutical Science Advances
11 months
Advanced HCC is tough to treatโ€”but dual-targeted modified #liposomes show promise! Results showed that SOR&DTX-modified liposomes (FA/CS@SDLP) achieved superior anti-tumor and anti-metastatic results. Is this the key to tackling recurrence? Find out: https://t.co/ZFrpj3Pumw #PHSA
0
1
3
@Journal_PHSA
Pharmaceutical Science Advances
11 months
March is #ColorectalAwarenessMonth! ๐Ÿ”ฌ๐Ÿ’Š Advances in targeted therapies & microbiome research are revolutionizing colorectal cancer treatment & prevention. Get access to the latest research by clicking follow- stay in the know and stay safe! #PHSA #ColorectalCancer #Onc #Cancer
0
1
1
@Journal_PHSA
Pharmaceutical Science Advances
11 months
0
1
2
@Journal_PHSA
Pharmaceutical Science Advances
11 months
Methicillin-resistant Staphylococcus aureus's antibiotic resistance is a growing crisis. ๐Ÿ’Š This research explores how antimicrobial peptides could revolutionize treatment with their precision targeting and immune-boosting effects. ๐Ÿ”—๐Ÿ‘‡ https://t.co/R2DuybL6Aa #Follow for more!
0
1
1
@Journal_PHSA
Pharmaceutical Science Advances
11 months
๐Ÿ“‘Could WN1703 be a game-changer for gout treatment? Our study shows its antiinflammatory effects on signaling pathways like NLRP3 and NF-ฮบB. Check out the full article๐Ÿ‘‡ https://t.co/cEWzszLYsN #antiinflammatory #gout #PHSA #Pharmaceutical
0
1
1
@Journal_PHSA
Pharmaceutical Science Advances
11 months
Vital awareness from @TargetOvarian! Their work highlights knowledge about recognizing ovarian cancer symptoms early, a knowledge that can save many lives. #HealthMatters #PHSA #Scienceadvances #Pharmaceuticals #CancerAwareness #OvarianCancerAwareness
@TargetOvarian
Target Ovarian Cancer
11 months
We asked our community why symptom awareness is so important to them. Adam lost his wife, Shelly to ovarian cancer and has since been passionate and dedicated to getting the message out there. Learn the symptoms๐Ÿ‘‡ Bloating Loss of appetite Abdominal pain Needing to wee more
0
2
5
@Journal_PHSA
Pharmaceutical Science Advances
11 months
Thanks @vipintukur for your thoughts on this breakthrough! ๐Ÿ”ฌ Scientists are developing a universal #vaccine that targets the sugar shields coronaviruses use to evade the immune system. Check out the full thread ๐Ÿ‘‡ #COVID19 #PHSA #Scienceadvances #Biotech #Science #News #Vaccines
@vipintukur
Vipin M. Vashishtha
11 months
Sugar coatings aren't only for candies; they also help viruses, like the ones that cause COVID-19, hide from their hosts' immune system. Now, researchers have developed a universal vaccine that targets coronaviruses and the sugars that they use as cover. 1/
0
1
2
@Journal_PHSA
Pharmaceutical Science Advances
11 months
How important is open access to you when reading academic journals? ๐Ÿ“‘๐Ÿ”– #PharmaceuticalScience #OpenAccess #Research #PHSA #Scienceadvances
0
0
1
@Journal_PHSA
Pharmaceutical Science Advances
11 months
Advances in pharmaceuticals & science are transforming ovarian cancer treatmentโ€”from targeted therapies to promising new drug trials. This #OvarianCancerMonth, we recognise the power of innovation in improving outcomes. Read researches shaping the future of ovarian cancer care!๐Ÿ”ฌ
0
1
3
@Journal_PHSA
Pharmaceutical Science Advances
11 months
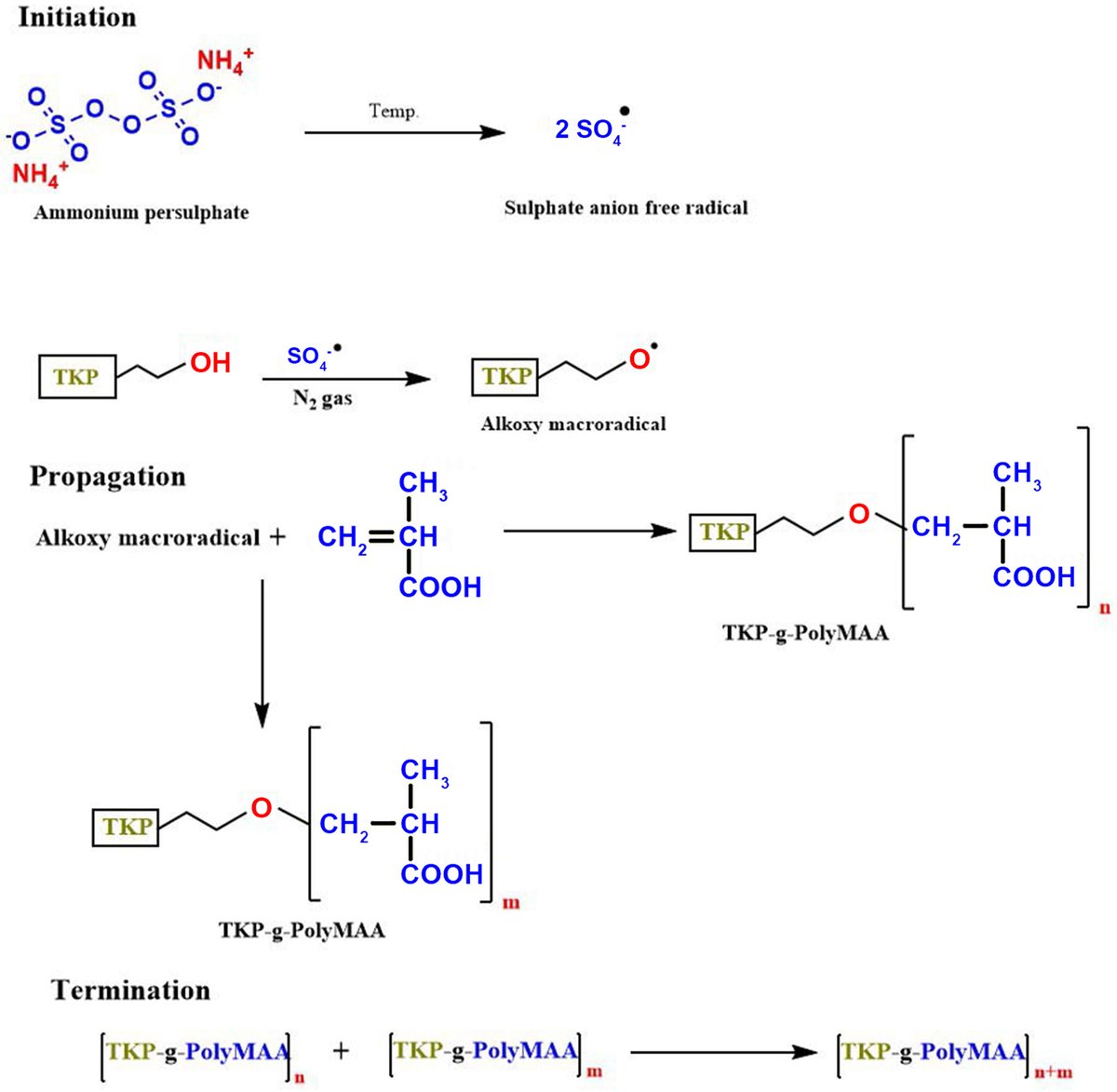
Think #hydrogels canโ€™t control #drug release for long? Think again! ๐Ÿ”ฌ๐Ÿ’ŠAl3+ ion cross-linked TKP matrices extend drug release over 10 hours while reducing swelling & erosion. https://t.co/bsR6IzDIWs Whatโ€™s your take on this breakthrough? Comment below! ๐Ÿ‘‡ #PHSA #Pharma
0
0
2
@Journal_PHSA
Pharmaceutical Science Advances
11 months
Advancing pharmaceutical science starts here!๐Ÿ’Š At Pharmaceutical Science Advances, weโ€™re committed to: โœ… High-quality, peer-reviewed open-access research โœ… Bridging the gap between science & industry โœ… Providing a trusted platform for groundbreaking discoveries Explore the
0
0
1
@Journal_PHSA
Pharmaceutical Science Advances
11 months
๐Ÿ”ฌ Conducting research in #PharmaceuticalSciences, #DrugDiscovery, or #MedicinalChemistry? Pharmaceutical Science Advances is a Scopus-indexed, open-access journal, ensuring high visibility for your #PharmaResearch. ๐Ÿ“ข Submit your manuscript today! Guide for authors:๐Ÿ”—
0
0
1