Lynn Hatter Profile
Lynn Hatter

@HatterLynn

Followers
2K
Following
3K
Media
263
Statuses
8K

Director of Content for @wfsumedia. FAMU and FSU alum. #StarTrek fan. @UWBB Board member, fmr @RTDNA Board Member, fmr @FloridaFAF board member

Tallahassee, FL
Joined April 2012
Don't wanna be here? Send us removal request.
@Jaguars
Jacksonville Jaguars
21 days
THE AFC SOUTH RUNS THROUGH #DUUUVAL ‼️
85
2K
5K
@HatterLynn
Lynn Hatter
1 month
I am so confused with this halftime show.
0
0
0
@PeterSchorschFL
Peter Schorsch
3 months
It's not too late to get tickets to @LWVTallahassee's 'Women of the Capitol Press Corps' event tonight, featuring @aglorios, @TheDaraKam, @MaryEllenKlas, and @HatterLynn. #FlaPol
0
2
5
@FAMUSJGC82
FAMU School of Journalism & Graphic Communication
3 months
Happening tomorrow at #GradsAreBack for #FAMUHomecoming! Full schedule at https://t.co/VAVt0QDzSD.⤵️
gradsareback.com
SJGC Fest — One Frequency, Infinite Voices
@FAMUSJGC82
FAMU School of Journalism & Graphic Communication
4 months
Join us for Hurricane Katrina: Race Against Time — a screening + Q&A you don’t want to miss! 🎬 Presented by National Geographic and UNCF, we’re showing Episode 3: “A Desperate Place” this Tuesday, Oct. 14, at 11 a.m. in the SJGC Gallery (Room 2015). Hear directly from Director
0
2
0
@FAMUSJGC82
FAMU School of Journalism & Graphic Communication
4 months
🗣️From SJGC classrooms to leading in America’s newsrooms, our alumni are bringing their voices back to "The Hill" for #GradsAreBack during Homecoming! Don’t miss Colloquium and a special panel discussion, "Beyond the Echo Chamber: Civil Discourse in Action," featuring
2
6
6
@HatterLynn
Lynn Hatter
4 months
I'm back!
0
0
4
@HatterLynn
Lynn Hatter
6 months
Welp. She's gone. My Lynn Hatter @facebook account is no more. All account resets have failed. 2FA doesn't work and I can't get any confirmation codes on my phone. 😭 Yes, it's still public, but I cannot access it. Do. If anyone gets weird messages...it wasn't me.
181
0
3
@Jason_Garcia
Jason Garcia
8 months
At least we got a list-minute change to make sure the telecom lobbyist-turned-president of Florida's only public historically Black university can get paid
6
6
29
@anaceballos_
Ana Ceballos
8 months
NEW: In the shadow of Florida’s Capitol, a supposedly closed boutique hotel has become an exclusive retreat for Ron DeSantis’ closest allies and top advisers — with a major donor of the governor acting as gatekeeper. A peek at what’s going on inside. https://t.co/bqgL0uauf3
miamiherald.com
Owner Craig Mateer says the hotel is still under construction, even as Ron DeSantis’ aides and allies have drinks and spend the night.
81
87
148
@HatterLynn
Lynn Hatter
8 months
Zora Neale Huston said it.
0
0
1
@HatterLynn
Lynn Hatter
9 months
Psst... If you’re ready to grow as a newsroom leader, join us at #RTDNA25 in New Orleans, June 11–13! This is where the next generation of journalism leaders connect and learn. Learn more and register:  https://t.co/wUmpnuxohZ
0
0
1
@mistylc75
Misty Cash (she/her)
10 months
Sending virtual hugs to some of my fav news people! Thanks for keeping so many of us educated and informed each day! Happy Hug a Newsperson Day!
1
1
9
@MayorOfTLH
Mayor John Dailey
10 months
I am thrilled that Tallahassee has been selected as a finalist for the 2025 All-America City Award. We are a dynamic, forward-thinking community where passionate residents come together to create a sustainable future for all. Earning our third All-America City designation would
3
5
12
@SPJ_SSA
The Sunshine State Awards
11 months
Enter the @SPJFla Sunshine State Awards today! Standard rates end March 3—submit those entries NOW :) @filippoferretti @flcourier @GabrielleRusson @GardenVox @garyzephed @GinaPresson @GrahamBrink @HatterLynn @IlenePrusher https://t.co/cvnUhq8QlU
2
1
3
@JacquiHeinrich
Jacqui Heinrich
1 year
Full memo here - outlining what is and isn’t impacted by OMB pause on federal funds for a period of review Document shows pause is not across the board, but limited to programs impacted by executive orders such as ending DE, the Green New Deal, and NGOs that “undermine the
@Pfeiffer47
Alex Pfeiffer
1 year
Here is OMB explaining that "mandatory programs like Medicaid and SNAP will continue without pause."
33
217
506
@PeterSchorschFL
Peter Schorsch
1 year
Sources confirm to @Fla_Pol that @RonDeSantis last night spoke directly with @realDonaldTrump and ‘pleaded’ with him to publicly support his Special Session immigration priorities. Trump instead called legislative leaders, including long-time ally @JoeGruters, to urge
@JasonDelgadoX
Jason Delgado
1 year
Florida legislative leaders are “improving” the TRUMP Act (immigration bill) after a consultation with the Trump administration. Among other provisions, the bill now requires a mandatory death sentence against an undocumented migrant that commits a capital offense.
43
73
172
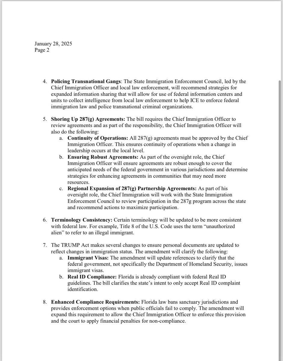
@HatterLynn
Lynn Hatter
1 year
Confirmation of what folks were talking about yesterday online.
@FLHSMV
FLHSMV
1 year
FHP is equipped and hard at work to enforce illegal immigration laws in Florida. Today, we conducted a joint operation with federal partners at Homeland Security Investigations (HSI) in Tallahassee and detained 12 individuals who were believed to be illegally residing in the
0
0
1
@HatterLynn
Lynn Hatter
1 year
Lawmakers will convene at 10:30 a.m. Monday in special session, per @GovRonDeSantis' order.
0
0
0
@Mdixon55
Matt Dixon
1 year
Donald’s has told potential Florida donors he’s in, including a recent trip to Tallahassee where he met with the state’s biggest political rainmakers https://t.co/Can88xFN6K
nbcnews.com
The Republican congressman has told donors and other Florida political players that he is running to replace Gov. Ron DeSantis, who is term-limited.
3
19
29