FredRiveraMD Profile Banner
Frederick Berro Rivera, MD Profile
Frederick Berro Rivera, MD

@FredRiveraMD

Followers
857
Following
7K
Media
226
Statuses
2K

Cardiology Fellow 🫀 @MayoCVFellows @MayoClinicCV

Rochester, MN
Joined April 2020
Don't wanna be here? Send us removal request.
@FredRiveraMD
Frederick Berro Rivera, MD
3 months
0
0
1
@FredRiveraMD
Frederick Berro Rivera, MD
3 months
1
1
2
@FredRiveraMD
Frederick Berro Rivera, MD
3 months
🔥Hot off the press🔥 Sharing our article @SpringerNature looking at enrollment of females and pregnant/lactating females in cardiovascular trials. https://t.co/kQ7vWM7NI5 Many thanks to @DrMarthaGulati and the team for the support and guidance. @MayoClinicCV
4
9
24
@FredRiveraMD
Frederick Berro Rivera, MD
3 months
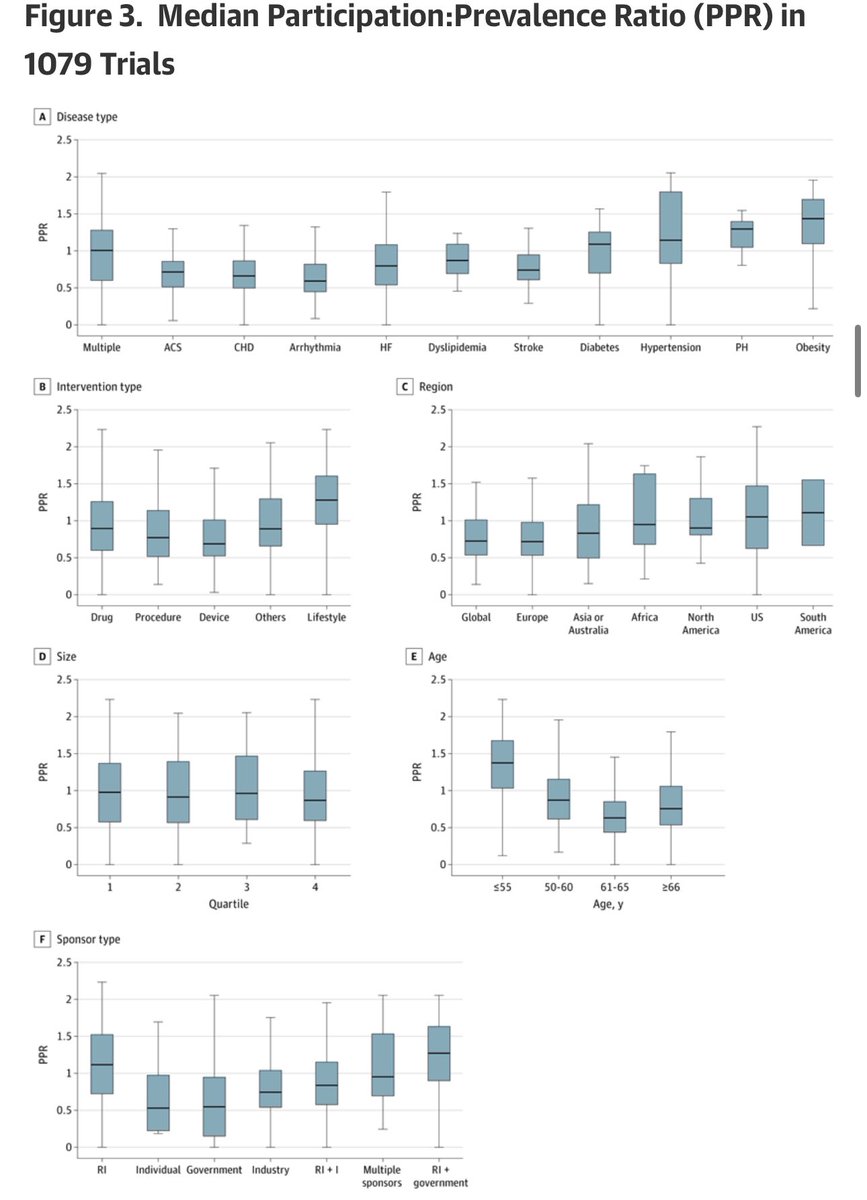
🔥hot off the press🔥 In this piece, we looked at the trends of participation of women in cardiovascular trials. The gap is very palpable. 🙏 @DrMarthaGulati @kylalaraMD @MayraGuerreroMD and the rest of the team for the support! @MayoCVFellows https://t.co/9rg0diF7qt
jamanetwork.com
This systematic review describes the representation of women across a broad range of cardiovascular trials registered from 2017 to 2023.
2
6
31
@DrMarthaGulati
Dr. Martha Gulati ♥️🫀❤️‍🩹🇨🇦
3 months
Our paper was simultaneously released with our presentation at #ESCCongress ♥️women remain underrepresented in Clinical CV Trials but improving ⚙️ Device trials, procedural trials less likely to enroll women 🌎 USA mostly likely to include women in clinical trials, Asia least
13
58
188
@DrMarthaGulati
Dr. Martha Gulati ♥️🫀❤️‍🩹🇨🇦
3 months
Please come to our session in science Box 4 #ESCCongress starting at 10:45am Look for my talk and our paper to be released in @JAMANetworkOpen at the same time! @escardio #womeninclinicaltrials @BaimInstitute @CMichaelGibson @dranulala @SmidtHeart @HeartDocSharon
0
5
18
@DrMarthaGulati
Dr. Martha Gulati ♥️🫀❤️‍🩹🇨🇦
4 months
Dr. Aroda presents at #ASPC2025 on GLP-1RA & Outcomes 🫀the evolution of the discovery & effectiveness of therapies 🫀our meta analysis showed the effectiveness @FredRiveraMD ⭐️ 🫀ADA now puts cardiometabolic phenotype dictates tx
2
7
26
@ACCMinnesota
ACC Minnesota Chapter
4 months
The 2025 Midwest Cardiovascular Forum's preliminary Agenda is now live! Take a look and mark your calendar for November 1st: https://t.co/xx5joFHjjt @IowaACC #MCVF25
0
6
9
@avolgman
AnnabelleVolgman MD
5 months
@FredRiveraMD So exciting for you! Learn as much as you can so you can teach the rest of us!
1
1
2
@DrMarthaGulati
Dr. Martha Gulati ♥️🫀❤️‍🩹🇨🇦
5 months
@FredRiveraMD @avolgman Congratulations Frederick!
1
1
2
@FredRiveraMD
Frederick Berro Rivera, MD
5 months
Day 1 as a Cardiovascular Disease Fellow. Immensely privileged to be here. “The needs of the patient come first”.
12
9
484
@ACCMinnesota
ACC Minnesota Chapter
5 months
Attention FITs: You are invited to join our 6th annual virtual Echo Bootcamp! This summer, Dr. Richard Marcus will hold 4 thorough, in-depth sessions about different aspects of echocardiography. 🔗 Register now: https://t.co/qqHINdh1Ib… #accFIT #FIT #cardiofellows
0
5
8
@SrihariNaiduMD
Srihari S. Naidu, MD
6 months
1/2: For the past 10 years we’ve helped all cardiology fellows start! Here we go again. Join us virtually back to back Saturdays July 19 & 26 - 8 am to 1 pm! Faculty in 2/2 below @Babar_Basir @carlosalviar @JasonKatzMD @anna_bortnick @KHERA_MD @dranulala @FYang_EP
5
30
97
@FredRiveraMD
Frederick Berro Rivera, MD
6 months
Grit.
4
3
322
@JessicaTsai154
Jessica Tsai, MD
8 months
A novel marker for right and left heart coupling predicts mortality in #TAVR patients #ACC25 Proud to represent @MayoClinicCV
0
1
15
@avolgman
AnnabelleVolgman MD
7 months
Proud to be part of this amazing group of cardiologists and fellows @RushMedical @RUSHCardiology! We have more that were not able to be in the picture! @RupaSanghaniMD @HeartMDKarolina @SteveAChicago @afsin_oktay @fareedmoses @LaithderbasA @hsuradi @AbusinSalah @IsabelPlanekMD
2
8
41
@mandeep_mayo
mandeep singh
7 months
Here are 10 reasons NOT to routinely pre-treat NSTE-ACS patients with P2Y12 inhibitors
7
56
222
@carlosalviar
Carlos L. Alviar MD, FACC FESC
7 months
Join us for FREE this week May 6,8,12 - 4th annual @MedicalZoll CCC Virtual Summit, great lineup of CICU topics & faculty! @ShashankSinhaMD @AnnGageMD @ElliottMillerMD @emilyzernMD @ChrisBarnettMD @aniket_rali register 👉 https://t.co/AJ7zeVBY03 @WICACTion @CherylSydney1
2
19
58
@SCAI
SCAI
7 months
🎉 Join us in welcoming @SrihariNaiduMD as the new SCAI President at #SCAI2025! We’re excited for the year ahead under his leadership 👏 https://t.co/kO5M2TtovK
5
15
77