EcomMarketFix_ Profile Banner
Digital and Fintech Analytics Profile
Digital and Fintech Analytics

@EcomMarketFix_

Followers
52
Following
785
Media
14
Statuses
336

Unlock effective ecommerce strategies, optimize marketing efforts, and solve real-world business challenges with data insights using Python ,maths and Big Data

Joined January 2019
Don't wanna be here? Send us removal request.
@EcomMarketFix_
Digital and Fintech Analytics
2 months
Doctors expected stents to reduce stroke risk — but a major study found the opposite. How statistics was used to decode what's true? You will learn how treatment and control groups are created and its importance. https://t.co/lhgDtZ0Jjn
0
0
0
@EcomMarketFix_
Digital and Fintech Analytics
11 months
Deepseek Performance and it is clear winner among all models: Link- https://t.co/bkmwhLa5vc
0
0
0
@EcomMarketFix_
Digital and Fintech Analytics
11 months
DeepSeek: Outperforming OpenAI at a Fraction of the Cost! Link- https://t.co/bkmwhLa5vc
0
0
0
@addyosmani
Addy Osmani
1 year
Quickly turn a GitHub repository into text for LLMs with Gitingest ⚡️ Replace "hub" with "ingest" in any GitHub URL for a text version of the codebase.
63
391
3K
@Jayyanginspires
Jay Yang
1 year
I revisit this Sam Altman post nearly every month:
70
2K
16K
@NandoDF
Nando de Freitas
1 year
I wish I had had this animation when teaching Markov chain Monte Carlo. Could also help think about the behaviour of deep learning optimisation with non-vanishing gradients.
@keenanisalive
Keenan Crane
1 year
We often think of an "equilibrium" as something standing still, like a scale in perfect balance. But many equilibria are dynamic, like a flowing river which is never changing—yet never standing still. These dynamic equilibria are nicely described by so-called "detailed balance"
3
34
273
@creus_roger
Roger Creus Castanyer
1 year
PQN is the best thing that has happened to model-free RL in a while, and people haven't realized it yet 🚀⚡️
@vwxyzjn
Costa Huang (NeurIPS 12/3-12/5)
1 year
@creus_roger just implemented a @cleanrl_lib Parallel Q-Networks algorithm (PQN) implementation! 🚀PQN is DQN without a replay buffer and target network. You can run PQN on GPU environments or vectorized environments. E.g., in envpool, PQN gets DQN's score in 1/10th the time
5
11
43
@rohanpaul_ai
Rohan Paul
1 year
Nice collection of LLM papers, blogs, and projects, focussing on OpenAI o1 and reasoning techniques. What it offers: 📌 Curates papers, blogs, talks, and Twitter discussions about OpenAI's o1 and LLM reasoning 📌 Tracks frontier developments in LLM reasoning capabilities and
3
105
462
@tom_doerr
Tom Dörr
1 year
Looks better than using the standard web chat interface
10
91
1K
@xKnowledgeBANK
Knowledge Bank
1 year
Differential & Integral Calculus
5
323
2K
@0xVita
wetbrain
1 year
@sama getting this to #1 should be top prio. when you type SearchGPT into the extension store it spits out a bunch of garbage https://t.co/S4OXiaHkk6
Tweet card summary image
chromewebstore.google.com
Change default search engine to ChatGPT search.
5
10
192
@rohanpaul_ai
Rohan Paul
1 year
Must-read papers for LLM-based agents. A nice collection in this Github
5
154
820
@j_foerst
Jakob Foerster
1 year
Cold emails are hard and good ones can change a life. Here is my email to @NandoDF that started my career in ML (at the time I was a PM at Google) https://t.co/ILaOtGQvbD Real effort (incl feedback) went into drafting it. Thanks to @EugeneVinitsky for nudging me to put it online
Tweet card summary image
docs.google.com
Subject Follow-up: PhD positions this fall Body Hi Nando, I would like to follow up on the first contact my friend Christoph made today in your Machine Learning lecture at Oxford. I am very interes...
16
61
744
@LogConference
Learning on Graphs Conference 2025
1 year
✨Announcing 5 incredible tutorials at @LogConference 2024: 1. Geometric Generative Models by @bose_joey, @AlexanderTong7, @helibenhamu 2. Neural Algorithmic Reasoning II: from Graphs to Language by @PetarV_93, Olga Kozlova, @fedzbar, Larisa Markeeva, Alex Vitvitskyi, @_wilcoln
1
24
95
@ClementDelangue
clem 🤗
1 year
Tweet card summary image
huggingface.co
@genmoai
Genmo
1 year
Introducing Mochi 1 preview. A new SOTA in open-source video generation. Apache 2.0. magnet:?xt=urn:btih:441da1af7a16bcaa4f556964f8028d7113d21cbb&dn=weights&tr=udp://tracker.opentrackr.org:1337/announce
7
21
190
@jiaqihan99
Jiaqi Han
1 year
📣Check out our #NeurIPS24 paper Geometric Trajectory Diffusion Models (GeoTDM), a new diffusion-based generative model that captures the temporal evolution of the ubiquitous geometric systems!! Paper: https://t.co/wy8lQGxaNe Code: https://t.co/6FW1UiRCZV 🧵1/8
1
35
146
@jeremyphoward
Jeremy Howard
1 year
I just spent my Saturday writing >5000 words fully documenting every single feature of FastHTML handlers. So please, read it, because I went slightly crazy doing this and I need to believe this helps someone out there...🤪 https://t.co/aHADwfspo7
38
80
923
@cooltechtipz
Learn Something
1 year
Save it.
70
6K
30K
@proceduralia
Pierluca D'Oro
1 year
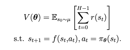
Since a number of people asked, this is what I mean by deep learning way of understanding reinforcement learning. It's all about one question: how can I differentiate through the total reward my agent is collecting? The total reward (i.e., the value function) is the objective
9
37
302