Shyam Profile
Shyam

@Dr_Shyam_S

Followers
89
Following
61
Media
2
Statuses
41

Pediatric Oncologist / Thinker / Husband / coffee ☕ lover / 🍻 Addict / Lark person / தமிழன்.

Mumbai, India
Joined April 2022
Don't wanna be here? Send us removal request.
@DrAditya1996
Aditya Narayan
6 months
🚨 New study alert! @Dr_Shyam_S @DrGauravNarula @DHCA11 Using fixed low-dose nivolumab (40mg D1 & D15; ~1.2mg/kg) + bendamustine, we achieved 88% CR after 2 cycles in high-risk pediatric rrHL. Full article: https://t.co/bU5tyHU8Zf #PedsOnc #HodgkinLymphoma #Immunotherapy
6
9
36
@Dr_Shyam_S
Shyam
1 year
Highlights: 1) Cost of therapy: $4454 per newly diagnosed AMLs (~100 times less compared to west) 2) Cost per DALY averted: 24% of India's GDP per capita rendering Rx as "cost-effective" 3) NGOs and government schemes essential for improving access to affordable healthcare
0
0
4
@Dr_Shyam_S
Shyam
1 year
Is treating childhood AML cost effective in India ? Read our latest publication from @TMC_Varanasi https://t.co/uRHfqyHaz1 @kidzcancerdoc @WorldSIOP @pho_india @INPHOG @ShaliniJatia @cspramesh
2
8
19
@Dr_Shyam_S
Shyam
1 year
"Due to vip movement out of Mumbai there is air traffic congestion and we are awaiting for a confirmation as to when we can land". We eventually ended up flying around in Mumbai's turbulent weather for an hour before landing. Unbelievable!!! @nvpatkar
1
0
5
@Dr_Shyam_S
Shyam
1 year
Yesterday, we took a flight from Nagpur to Mumbai which was already delayed due to bad weather conditions. The aircraft did not land for an hour (close to midnight) in Mumbai. To everyone's shock it was not due to the weather and the announcement made from the cockpit was....
6
2
8
@DrKalasekhar
Kalasekhar Vijayasekharan
1 year
Our Findings on risk factors for MTX neurotoxicity in Pediatric Leukemia/Lymphoma published @BrJHaem in a large cohort of 622 patients https://t.co/I1FGeBu1Bx older children with Cns leukemia and developing tumor lysis may be at higher risk, led by @ThirumalaR85052 @drajaysankar
Tweet card summary image
onlinelibrary.wiley.com
Methotrexate (MTX), although an indispensable part of contemporary treatment protocols for childhood acute lymphoblastic leukaemia (ALL)/lymphomas (LBL) in improving outcomes, can lead to serious...
2
2
11
@rashtrapatibhvn
President of India
2 years
India’s first CAR-T cell therapy is developed through collaboration between the Indian Institute of Technology, Bombay and Tata Memorial Hospital in association with industry partner ImmunoACT. So, we have two of India’s pioneering research institutes in their respective fields,
67
440
2K
@Dr_Shyam_S
Shyam
2 years
0
0
1
@Dr_Shyam_S
Shyam
2 years
📢Excited to share our commentary on the influence of 𝒊𝒎𝒎𝒐𝒓𝒕𝒂𝒍 𝒕𝒊𝒎𝒆 𝒃𝒊𝒂𝒔 on osteonecrosis and survival outcomes in childhood ALL! 📚 Explore our insights from the recent analysis of the COG ALL0232 trial, now featured in @LeukemiaJnl. https://t.co/KA7t7yNcrb
1
7
12
@ASPHO_hq
American Society of Pediatric Hematology/Oncology
2 years
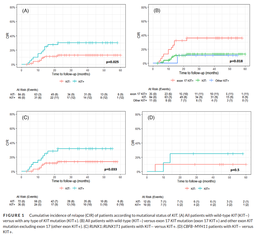
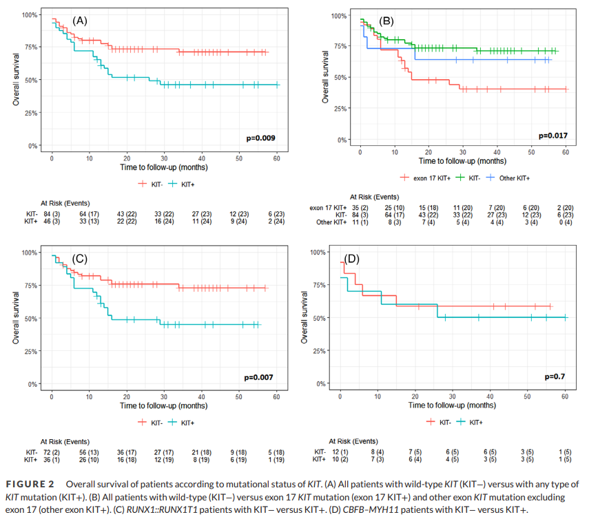
Another PBC must-read: KIT exon 17 mutations are predictive of inferior outcome in pediatric acute myeloid leukemia with RUNX1::RUNX1T1 #PedsHemeOnc #PHODocs #PHOAPPs
0
6
8
@Dr_Shyam_S
Shyam
2 years
📢Exon 17 KIT mutation associated with⬆️relapse risk &⬇️overall survival in childhood RUNX1::RUNX1T1 AML. 🌟A high KIT VAF (>33%) correlated with poor survival. ❓Alternative strategy. https://t.co/WOoJLgCSdk @DHCA11 @DrGauravNarula @nvpatkar @Gaurav_C42 @TataMemorial
2
15
32
@DrYukselUrun
Yüksel Ürün
2 years
Precision medicine for children with cancer: 📚 Essential Reading: Dive into Ian F Tannock's Latest Comment! 🔍 #MustRead @TheLancet @csoncol @ASCO @myESMO @OncoAlert https://t.co/cnq3yamgXW
0
4
11
@Pritampedhemonc
Pritam Singha Roy MD, DM
2 years
Acute Promyelocytic Leukemia: a malignancy with excellent outcomes, provided initial coagulopathy is managed vigilantly Had a wonderful panel discussion on Pediatric #APL moderated by DrShyam Srinivasan(TMH) and chaired by legendary Prof Banavali , at #Medica Cancer Conclave
0
1
11
@DrSwamiPeds
Swaminathan K
2 years
Tailored strategies and targetted immunotherapies - need of the hour in LMICs for managing Pediatric relapse B ALL. Happy to be part of this study from @TataMemorial @DrGauravNarula @Dr_Shyam_S @venkymd @Subramaniamrdr @deepakbansaldr1 @dhariwal_nidhi https://t.co/eJ4kCllmCI
7
13
32
@DrSwamiPeds
Swaminathan K
2 years
Granulocyte may be the answer for treating MDRO sepsis in children with cancer. Glad to be part of this study from @TataMemorial , Mumbai. @DrGauravNarula @DHCA11 @BadiraP @DrKalasekhar @venkymd @dhariwal_nidhi @Dr_Shyam_S https://t.co/eX4SWlmHPy
5
10
55
@WNMacaron
Walid Macaron, MD MSc
3 years
Check out our latest publication in @AjHematology: https://t.co/0nMx8oyAVR We assessed MRD by high-sensitivity NGS-based assay for IG/TCR vs. standard of care PCR for BCR::ABL1 in patients with newly diagnosed Ph+ ALL. #ALLsm @NicholasShortMD @DrHKantarjian @MDAndersonNews
2
5
33
@NEJM
NEJM
3 years
In this study, the addition of blinatumomab to standard chemotherapy improved disease-free and overall survival among infants with KMT2A-rearranged ALL, with minimal additional toxic effects.
1
31
77
@anand_sschrc
Anand KC
3 years
Two days of interactive academic sessions at Pediatric solid tumour workshop @TataMemorial Mumbai. More than 200 attendees and 30 faculty ( national and international) @pho_india @INPHOG @vasudev16101985 @DrKalasekhar
0
7
28