Bouwe Reijenga Profile
Bouwe Reijenga

@BReijenga

Followers
282
Following
637
Media
12
Statuses
161

(Macro)evolutionary biologist • postdoc @OxUniEarthSci • from fossils, phylogenies and theory to community assembly and diversification trends

Joined May 2021
Don't wanna be here? Send us removal request.
@BReijenga
Bouwe Reijenga
1 year
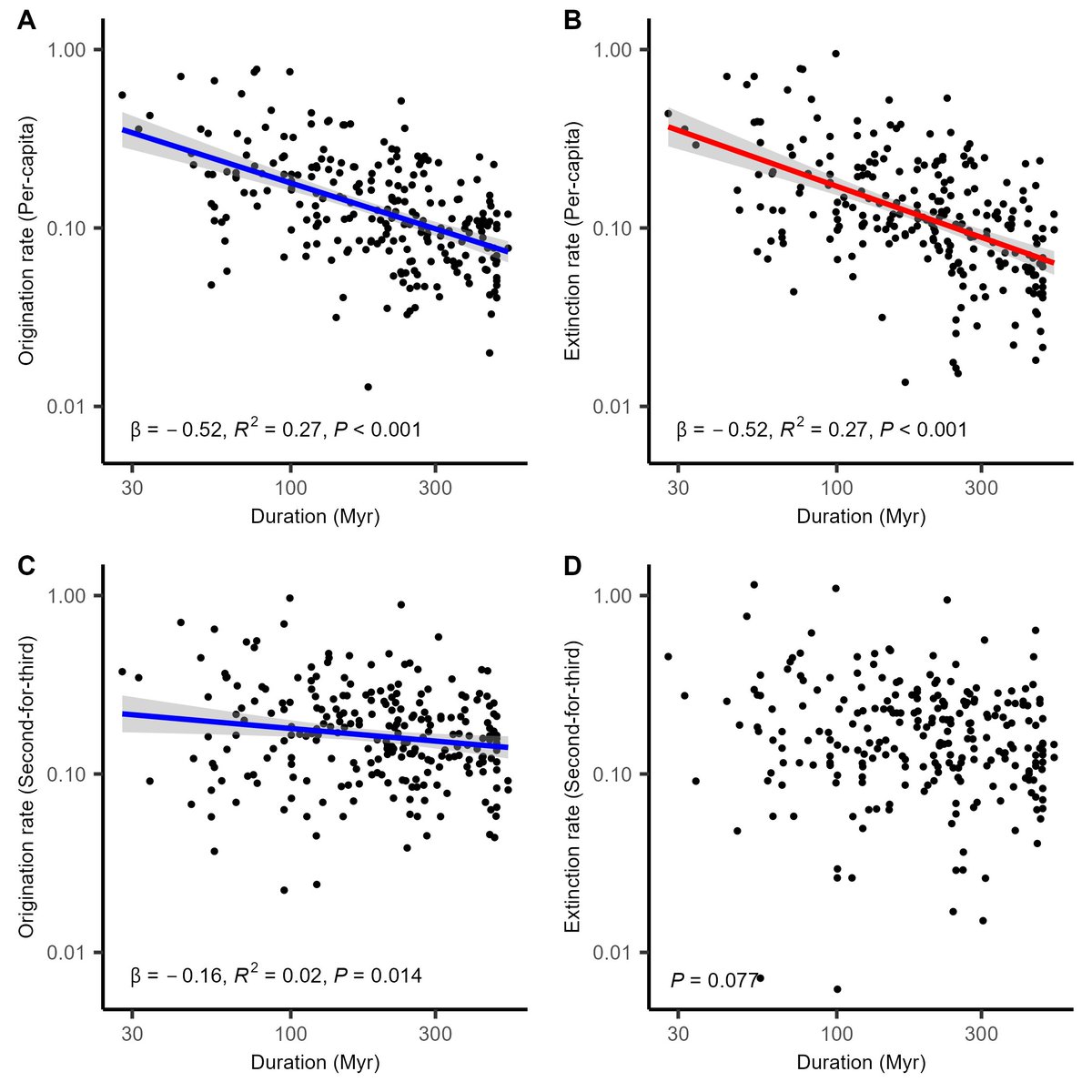
New pre-print on the presence of negative scaling between diversification rates and the duration of clades! Various explanations, such as incongruence between micro- and macroevolution, have been put forward based on molecular phylogenies, but the fossil record has been ignored
1
12
64
@BReijenga
Bouwe Reijenga
1 year
Tweet card summary image
cell.com
Negative scaling relationships between diversification rates and the duration of organismal groups occur in molecular phylogenetic and fossil data. This causes a disconnect between micro- and...
@BReijenga
Bouwe Reijenga
1 year
New pre-print on the presence of negative scaling between diversification rates and the duration of clades! Various explanations, such as incongruence between micro- and macroevolution, have been put forward based on molecular phylogenies, but the fossil record has been ignored
0
7
33
@jamesTstroud
James T. Stroud
1 year
New paper! Exploring the interaction between two convergent lizards who evolved separately on different Caribbean islands and were introduced to south Florida. Read all about how character displacement could play out in real time in the wild! 🦎🦎🦎 https://t.co/2zhALSna3O
Tweet card summary image
nature.com
Nature Communications - When similar species coexist, they often evolve differences to reduce competition, a process called character displacement. This study provides rare evidence of character...
5
35
98
@JoeWilliamsonDB
Joseph Williamson
1 year
Paper accepted 🥳🙌 in #philtransb (@RSocPublishing) is a nice way to start a grey Monday. Watch this space to learn more about how clustered warming tolerances drive non-linear risks of biodiversity loss on a warming planet! 🥵🌎🌿
2
10
63
@UCLLifeSciences
UCL Faculty of Life Sciences
1 year
Professor Alex Pigot explains the impacts of climate change on biodiversity. Learn more about UCL's biodiversity research ➡️ https://t.co/zgsyF18sQO
0
11
15
@AndrejSpiridon4
Andrej Spiridonov
1 year
Book your time. On November 6th I will present an online talk at the Ma(th)ssX (Mathematics of Mass Extinctions) seminar series. "The Scaling of Earth Systems and Macroevolution" https://t.co/LNU9F7pFkt
0
17
37
@LuypaertThomas
Thomas Luypaert 🎙️📷🧬🔍
1 year
🎶🏝️Exciting news! Our new study in @Ecology_Letters extends the well-known principle of Species-Area Relationship into the world of ecoacoustics. Discover how habitat fragmentation influences the richness of natural soundscapes in the Amazon: a thread🧵 https://t.co/mqCwPS7e5g
Tweet card summary image
onlinelibrary.wiley.com
In this study, we expanded the principles of island biogeography to the field of ecoacoustics. We examined the relative importance of island size and isolation in predicting the spectro-temporal...
1
24
102
@Menna_Jones_
Menna Jones
1 year
Super excited to announce that our paper is out in Palaeontology! Check it out if you’re interested in expanding coverage standardisation techniques beyond taxonomic diversity…📈📉
@ThePalAss
The PalAss
1 year
Standardising fossil disparity metrics using sample coverage https://t.co/v6iqQt96z9 @Menna_Jones_ @datadryad @PaleoDB @wileyearthspace #FossilFriday
1
12
33
@FerranSayol
Ferran Sayol
1 year
New research on the Global Impacts of Bird Extinctions 🌍🦜🦤 "The global loss of avian functional and phylogenetic diversity from anthropogenic extinctions" led by Tom Mathews and published in @ScienceMagazine. https://t.co/iPZms4JbvH A summary of our findings below 🧵(1/9)
Tweet card summary image
science.org
Humans have been driving a global erosion of species richness for millennia, but the consequences of past extinctions for other dimensions of biodiversity—functional and phylogenetic diversity—are...
1
96
201
@EvolOdonata
Erik Svensson
1 year
Excited that this pre-print about the evolution of reproductive isolation in experimental evolution studies is now out! This research was led by former postdoc @bjmjarrett in #SvenssonLab @Biology_LU @lunduniversity, now at @BangorUni (UK). https://t.co/5hquUpnmal
Tweet card summary image
biorxiv.org
Reproductive isolation is a key process during speciation, but the factors that shape its evolution during the early stages of speciation remain largely unknown. Using a meta-analysis of 34 experim...
1
13
43
@BReijenga
Bouwe Reijenga
1 year
We further explore additional artefacts, and ask if this result is at all surprising, especially when considering that if evolution would be hierarchical, why would that result in the same pattern in molecular (species) and fossil (genus) data? https://t.co/noKmKgqLK6
Tweet card summary image
biorxiv.org
Negative scaling relationships between both speciation and extinction rates on the one hand, and the age or duration of organismal groups on the other, are pervasive and recovered in both molecular...
0
0
6
@BReijenga
Bouwe Reijenga
1 year
We back up our empirical analysis with simple simulations that show that even with uniform, moderate but incomplete sampling, rate scaling is introduced when not accounted for
1
0
3
@BReijenga
Bouwe Reijenga
1 year
The fossil record is far from complete, and ignoring this could lead to several sampling artefacts. We show that if uneven sampling is corrected for, rate-scaling largely disappears in the Phanerozoic marine fossil record (bottom row)
1
0
4
@spirophasma
Matt Ballinger
1 year
The life strategies of #parasitoids are stunningly diverse, but no wasps that attack and develop inside adult flies have ever been described. Our article describes the first one. Its hosts: Drosophila melanogaster and other species of #Drosophila #Entomology #Braconidae
@Nature
nature
1 year
Nature research paper: Drosophila are hosts to the first described parasitoid wasp of adult flies
6
184
692
@biorxiv_evobio
bioRxiv Evobio
1 year
Apparent timescaling of fossil diversification rates is caused by sampling bias https://t.co/BKrpqgaYxe #biorxiv_evobio
0
1
1
@ja_tobias
Joe Tobias
1 year
Paper out in @CurrentBiology today shows fruit in the guts of a fossilized Mesozoic bird with a toothed beak previously assumed to be a predator. On the one hand this is very cool but I have some thoughts on the spin applied by the authors. 1/7 https://t.co/Uvn5H5Nvxz
7
63
370
@Monty2Daniel
Daniel Montoya
1 year
Our paper is published today in @Nature journal! If you want to know more about how communities interact across habitats and interaction types, and their effects on ecosystem functioning and stability, the paper is here🔽 https://t.co/7bpBC6yqhO
Tweet card summary image
nature.com
Nature - Species interaction data, a field experiment and modelling of plant–insect communities show that landscapes with more habitat types support more even species, more complementary...
2
96
339
@biorxiv_evobio
bioRxiv Evobio
1 year
Colonisation lags predict sympatric diversity in birds https://t.co/21edBSLvN8 #biorxiv_evobio
0
2
4
@BenGFreeman1
Ben Freeman
1 year
cool paper alert reminds me of when I visited Sulawesi cloud forests full of flycatchers/whistlers/fantails/mixed flocks. Then went downhill to beautiful lowland forests and saw, like, no insectivores I was so puzzled - maybe it's the weaver ants!!! https://t.co/eoW7yI6KlN
Tweet card summary image
onlinelibrary.wiley.com
Using data on bird species elevational distributions from the world's mountain ranges, bird diets, and the distribution of the ant genus Oecophylla, we show that global patterns in bird elevational...
3
13
49
@ScienceAdvances
Science Advances
1 year
New research proposes that groups of birds with early origins associated with the end-Cretaceous mass extinction experienced rapid evolutionary changes across their genomes and physiology. Learn more in this week’s issue of Science Advances: https://t.co/1hXdXU6dT0
5
44
131