Wei-Qi Wei,MD,PhD
@weiweiqi
Followers
261
Following
76
Media
7
Statuses
170
Assoc Professor of Biomedical Informatics; leader of high-throughput and precision phenotyping; devotee of problem-solving using data; Tweets are my own views
Nashville
Joined December 2009
Nature Digital Medicine has announced a special collection, "Evaluating the Real-World Clinical Performance of AI". I will be serving as a guest editor and would like to invite you to consider submitting your work. The Collection page is
nature.com
This Collection invites research on exploring how AI performs in real-world clinical settings, focusing on utility, safety, equity, and impact on healthcare.
0
1
4
Let’s rethink how we harness the semi-structured, high-value data buried in EHRs. Leveraging Natural Language Processing for Echocardiographic Data Extr...
1
0
2
Beyond Phecodes: leveraging PheMAP to identify patients lacking diagnosis codes in electronic health records https://t.co/7VYpworokw
@yanchao0222 @monikagrab_ @vekerchberger @jdnashville @QiPingFeng @bradmalin @vumcdbmi
academic.oup.com
AbstractObjective. Diagnosis codes documented in electronic health records (EHR) are often relied upon to clinically phenotype patients for biomedical rese
0
1
12
A @VUMChealth research team, including @weiweiqi and QiPing Feng, PhD, will perform a search for any drugs approved for other diseases that could warrant laboratory study, preparatory to clinical testing, for treating #Alzheimers & related #dementia. https://t.co/lYEotaCvXv
news.vumc.org
Vanderbilt is searching drugs already approved for other uses that could potentially be repurposed to treat Alzheimer's disease.
0
3
6
Where are all the Alzheimer’s drugs?
news.vumc.org
Vanderbilt is searching drugs already approved for other uses that could potentially be repurposed to treat Alzheimer's disease.
0
0
3
Exploring beyond diagnoses in electronic health records to improve discovery: a review of the phenome-wide association study https://t.co/7v8w2wUREf
@monikagrab_ , @EKerchberger, @nicholas_wan
academic.oup.com
AbstractObjective. The phenome-wide association study (PheWAS) systematically examines the phenotypic spectrum extracted from electronic health records (EH
0
0
2
#PLOSONE: Improving topic modeling performance on social media through semantic relationships within biomedic ...
journals.plos.org
Topic modeling utilizes unsupervised machine learning to detect underlying themes within texts and has been deployed routinely to analyze social media for insights into healthcare issues. However,...
0
0
2
Absolutely thrilled to be working on this project, and congratulations to the team! $3.4 million research grant targets risk of heart attack, stroke https://t.co/T06qCb7KfL
@vumcdbmi, @VUMCgenetics, @vandy_biostat , and @VUMC_heart
news.vumc.org
Vanderbilt study to explore risk of atherosclerotic cardiovascular disease and identify any existing drugs that might help lower this risk.
3
0
12
Our study in the Journal of Lipid Research shows individuals with AA who have hypertriglyceridemia exhibit a higher prevalence of genetic risk factors compared to those with normal triglyceride levels, https://t.co/PqKtPrU2Ni
jlr.org
Hypertriglyceridemia (HTG) is a common cardiovascular risk factor characterized by elevated triglyceride (TG) levels. Researchers have assessed the genetic factors that influence HTG in studies...
2
0
7
It's my pleasure to have been selected as 2024 Chancellor Faculty Fellows. My lab remains committed to contributing to phenotyping and advancing precision medicine. Thank you, @embimd,@trentrosenbloom, @bradmalin, @vumcdbmi, and all my other friends!
news.vumc.org
Each fellow holds the title for two years, receives $40,000 per year to support their work, and meets with their cohort to exchange ideas, build a broader intellectual community and engage in...
4
2
28
Our recent research paper demonstrates how LLM can streamline the creation of electronic health record phenotyping algorithms. @vumcdbmi @yanchao0222 @monikagrab_ @bradmalin @vekerchberger @MattKrantzMD @QiPingFeng #phenotyping
https://t.co/lot0VLs74V
academic.oup.com
AbstractObjectives. Phenotyping is a core task in observational health research utilizing electronic health records (EHRs). Developing an accurate algorith
1
1
14
Editorial Comment here: https://t.co/kVzu2obYHO "The novelty of the study lies in its unique focus on modeling individual responses to statin therapy using pharmacological parameters and its application of these models to real-world health data..."
0
0
0
Our latest publication in JACC ADV highlights the correlation between an individual's ED50 and Emax of statin and ASCVD events. As reviewers noted, this research supports the trend toward personalized medicine. https://t.co/jRajMoLkvu
@vumcdbmi
2
1
7
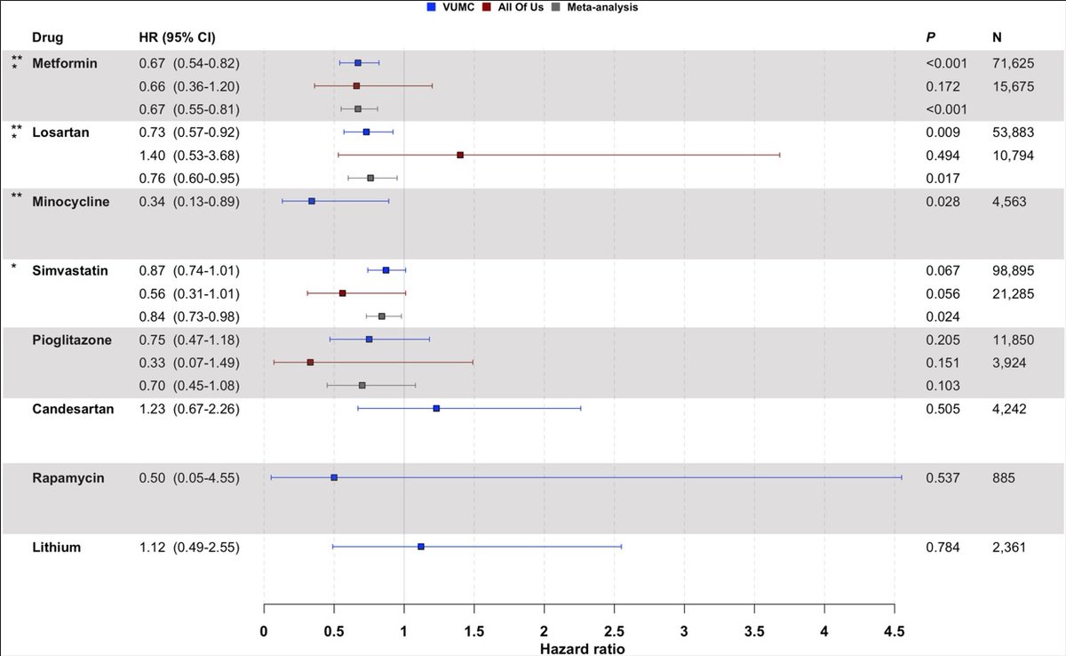
ChatGPT can act as an effective AI-driven hypothesis generator for drug repurposing. This study leverages #ChatGPT to prioritize drug repurposing candidates for #Alzheimers, with validation of identified candidates using real-world clinical datasets. https://t.co/2X6jcyJ0u9
1
4
18
@yanchao0222 @monikagrab_ @bradmalin @JoshPetersonMD @QiPingFeng @embimd @zhexing @vumcdbmi Metformin and Losartan are on the top of the list.
3
0
0
0
0
0
We used ChatGPT to generate promising drugs for repurposing in AD and tested in BioVU and All of Us. The capabilities of LLM have pleasantly surprised me. https://t.co/tqwSElFG3A Go team! @yanchao0222
@monikagrab_ @bradmalin
@JoshPetersonMD @QiPingFeng
@embimd @zhexing
@vumcdbmi
2
4
18
Phenotyping is essential in biomedical research but lacks standardization and transparency, making it difficult to compare findings and reuse algorithms. We propose five fundamental dimensions to describe, measure, and deploy algorithms effectively.
1
0
8