Explore tweets tagged as #PLOSONE
@pewaseskwan
Pewaseskwan
5 hours
A new Indigenous science manuscript was published today in @PLOSONE! Congratulations to this group of multi-disciplinary researchers, including several from @usask: Dr. Heather Foulds, Dr. Leah Ferguson and Dr. Alexandra King (co-lead of Pewaseskwan). https://t.co/37fwBZEQEr
0
0
0
@YasuKotera
Dr Yasuhiro Kotera
23 days
Our new protocol for a global Delphi study to enhance the cross-cultural applicability of Recovery Colleges, published in @PLOSONE 🌍 📄 Enhancing cross-cultural applicability in recovery colleges: A global Delphi study protocol 👉 https://t.co/89lKpUF8Ls @RECOLLECT_Study
0
1
1
@WissalBoug87338
Dr.Wissal Boughattas
7 days
Finally, the 6th scientific publication for this year in PLOS ONE journal (indexed in Web of Science)! Thanks to all collaborators! 🙏 📄 https://t.co/3qbGLMIX6a
0
0
2
@BCMFromtheLabs
From the Labs at Baylor College of Medicine
14 days
Studying human #gutBiology just got easier! The Blutt Lab, the Mancini Lab et al built a high-speed #imaging/quantification pipeline for #human intestinal #organoids—lab-grown #miniGut models. @PLOSONE https://t.co/egm1TRpaBA @OrganoidDiva @EstesLab_BCM @BrittonTML @bcmhouston
0
3
5
@KulikovUNIATF
Dr Alexey Kulikov
12 days
More sitting 🪑 time significantly associated with an increase in #cardiovascular bio markers such as total cholesterol to high-density lipoprotein ratio (TC/HDL) and body-mass index BMI. New study @PLOSONE observations are supportive of the negative impacts of prolonged
0
4
7
@IEEEBrain
IEEE Brain
15 days
By the way, you can read the full article about this interesting #LEGO-inspired take on #brain-computer interfaces now at @PLOSONE: https://t.co/eByAB4KMay #BCI #neurotech #neurotechnology #neuroscience
0
1
1
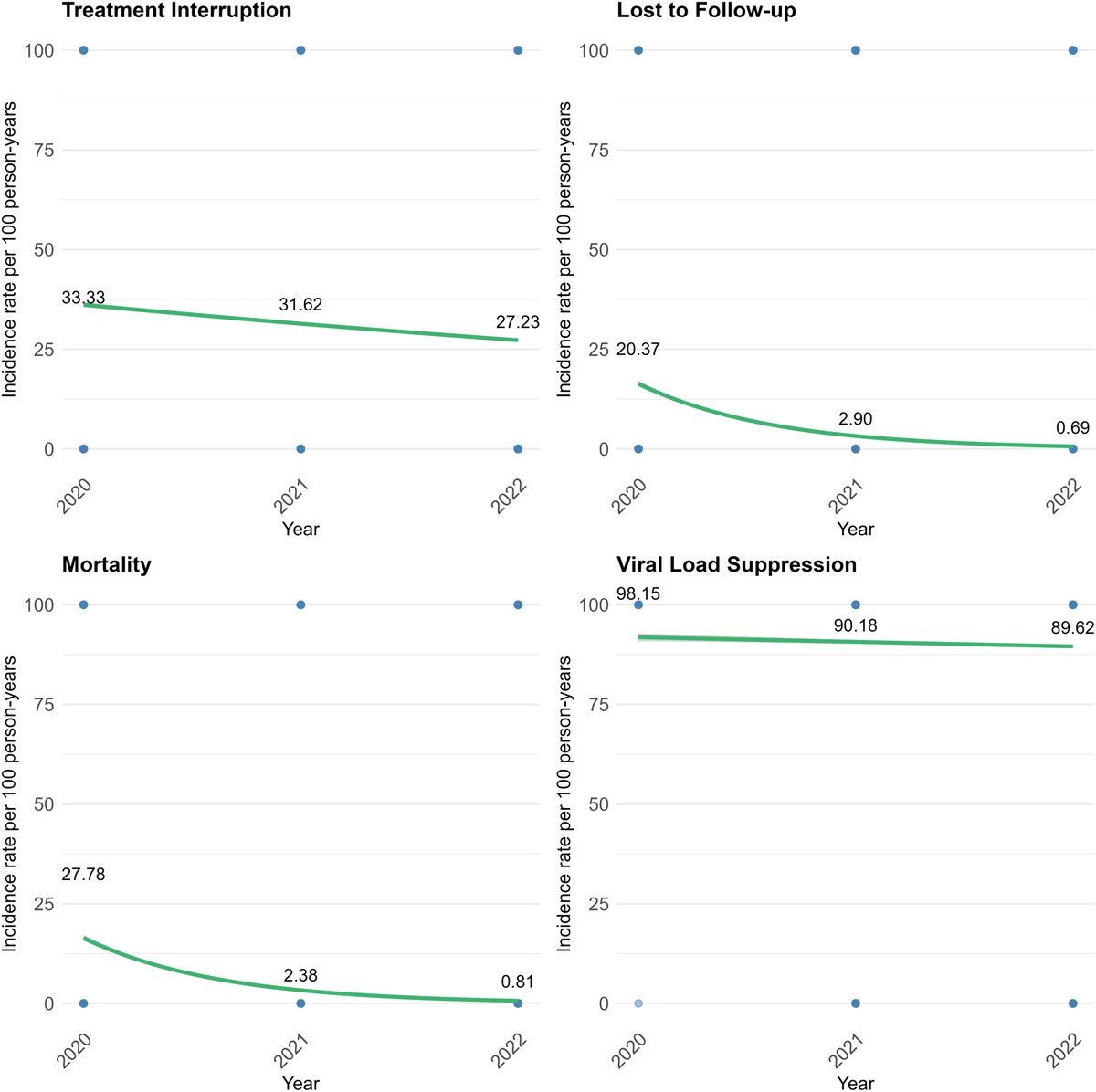
@SFHNigeria
Society for Family Health
18 days
We are pleased to announce the publication of our latest research article in @PLOSONE. The study, titled “Antiretroviral treatment outcomes and survival pattern of people living with HIV in Bauchi State, Nigeria”, highlights critical insights into antiretroviral therapy (ART)
0
0
4
@DohertyCailbhe
Dr Cailbhe Doherty
1 month
Apple Watch estimates VO₂ max from submaximal exercise, but how accurate is it? In our study of 40 adults, it underestimated VO₂ max by ~6 ml/kg/min—often a whole fitness category. Useful for trends, not precision. 📄 DOI: https://t.co/RHkwiQLmQs @PLOSONE @ucd_sphpss
1
2
12
@betl_karc
Betül
1 month
İlk Makale 👏🎉 #Plosone #scı #academia https://t.co/B7oej79Pb3 👇🏼 Open Access avaible
0
0
0
@TheSumairaFDN
The Sumaira Foundation
18 days
A @PLOSONE study assessed the emotional and psychological impact of #NMOSD on patients and caregivers. Patients commonly reported anxiety, depression, trouble coping, etc., highlighting the need for mental health support. https://t.co/KwHxELlnlA
0
0
5
@maoviedogarcia
MA Oviedo-Garcia
1 month
#MiniReviewMill 43 @PLOSONE Expression of Concern for this flagged article https://t.co/dxH7krnPGU “Editors identified concerns about the article’s peer review. In addition, there are concerns over citation patterns in the article”
@maoviedogarcia
MA Oviedo-Garcia
4 months
#MiniReviewMill 43 #FakeReview #CoerciveCitation @PLOSONE 2. Reviewer Randhir Kumar➡️4 articles to be cited Reviewer=coauthor in4⃣ https://t.co/5RwWRIJlDs Standard review (type 1) Are the required references relevant❓
1
1
2
@physorg_com
Phys.org
9 hours
##RadiocarbonDating of Egyptian artifacts indicates the Thera (Santorini) eruption occurred before Pharaoh Ahmose, placing the event earlier than previously aligned with Egyptian chronology. @PLOSONE https://t.co/VPNu4vN0Cw
1
3
14
@ExtraaIraq
إكسترا عراق - Extra Iraq
29 days
إليك تأثير الكافيين على أدمغة الأطفال في قناتنا على تليجرام : https://t.co/b34jDJSpWZ #الكافيين #الأطفال #دراسة #دماغ #منوعات #PLOSOne #صحة
0
0
0
@MatthewAndrew23
Matthew Andrew
14 days
How does the soccer environment influence the talent identification processes for women’s youth national team players in the United States? Great to see this published in @PLOSONE Massive thanks to @Sam_Wood05, @jmolivalozano, Mirelle Van Rijbroek, @RickCost , and @mjreevesphd
7
2
6
@drantonioquispe
Antonio M Quispe, MD, PhD 🇵🇪
2 days
🎉✨ ¡Con muchísima alegría comparto una gran noticia! ✨🎉 PLOSONE #SteppedWedge #ClusterRandomizedTrial #Malaria #VectorControl #AmazoníaPeruana #InvestigaciónAplicada #KOICA #WorldVision #Epidemiología #PublicHealth #OpenAccessa revista Q1 de alto impacto como Plos One 📊.
2
20
52
@physorg_com
Phys.org
26 days
#Endangered #IndusRiver dolphins show high levels of microplastic contamination, primarily PET fibers, posing significant ecological and health risks through trophic transfer in polluted #FreshwaterHabitats. @PLOSONE https://t.co/XjugWskde6
4
20
43
@physorg_com
Phys.org
28 days
#Conventional municipal #WastewaterTreatmentPlants fail to effectively remove many pharmaceuticals, resulting in persistent drug pollution that poses ecological risks to aquatic environments. @plos @PLOSONE https://t.co/IC59OtXWVn
1
14
25
@nutrisci_uoft
U of T Nutritional Sciences
1 day
New from L’Abbe Lab: Canadians with higher Food Choices Assessment Score (FCAS), which measures alignment with Canada’s 2019 Food Guide, had lower odds of having a heart age older than their actual age and lower odds of high 10-year CVD risk! https://t.co/x9IZaQFA90
1
1
2
@tabino_sora__
旅野そら🤍元戦場カメラマンVTuber
27 days
凄く面白い研究 参政党やトランプがよく言っている「多様性を重視するリベラルな社会は、文化を破壊し、平和を破壊する」という話を、理論物理学者が複雑系の理論モデルを使ったシミュレーションで示している https://t.co/ye7eUM1jGg
2
129
563