Vivek Rudrapatna Profile
Vivek Rudrapatna

@vivicality

Followers
843
Following
201
Media
19
Statuses
101

Assistant Professor, GI/IBD physician, healthcare #AI researcher, aspiring global citizen.

San Francisco, CA
Joined January 2010
Don't wanna be here? Send us removal request.
@vivicality
Vivek Rudrapatna
4 years
We are hiring! Looking for a talented postdoc to work on clinical #DataScience @UCSF_BCHSI. If you know of folks with a background in any of the following please reach out! #PublicHealth #Epidemiology #MachineLearning #NLP #EHR bio #Stats #DeepLearning
1
10
17
@vivicality
Vivek Rudrapatna
3 months
My sincere thanks to co-authors @Doug_Arneson @armanmosenia and Vignesh @UCSF_BCHSI , and Shan @usfca. Thanks to @YODAProject, @VivliCenter, and to all trial participants whose data continues to advance medical research and IBD patient outcomes decades later.
1
3
5
@vivicality
Vivek Rudrapatna
3 months
We think there's something for everyone here: #ibd patients, medical researchers, data scientists, trialists, and people who believe in a future of personalized #PrecisionMedicine.
1
0
1
@vivicality
Vivek Rudrapatna
3 months
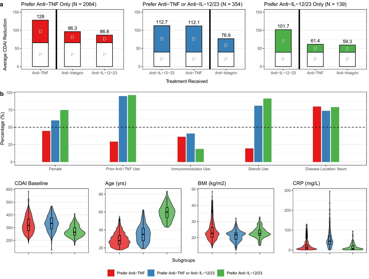
We found interesting differences between the patients recruited into trials and those seen in clinical practice. The subgroup of women over 50 were only 2% of the pooled population across 15 RCTs, yet they are actually 25% of IBD patients @UofCAHealth. RCT selection bias we think
1
0
2
@vivicality
Vivek Rudrapatna
3 months
We discover multiple subgroups of patients with Crohn's disease with different treatment responses. For example, women over the age of 50 w/ prior anti-TNF exposure have treatment responses that deviate from the majority trend, responding better to anti-IL12/23s than anti-TNFs.
1
1
1
@vivicality
Vivek Rudrapatna
3 months
Now we extend this concept to virtual cohorts of identical patients (#digitaltwins). Using nested models to separate placebo effects from drug effects, we performed multiple RCTs in silico to find the best treatments for each patient. We use data from 5703 patients, 15 RCTs.
1
1
2
@vivicality
Vivek Rudrapatna
3 months
In prior work, we developed a method for accurately predicting the results of head-to-head trials using historical data. We showed that we could correctly predict the results of a head-to-head trial in #crohnsdisease, using preexisting RCT data.
1
1
1
@vivicality
Vivek Rudrapatna
3 months
The ideal scenario would be to run many randomized trials on a hypothetical population of identical patients, studying pairs of drugs head-to-head, to see what works best for each patient. But this is clearly impossible!
1
1
1
@vivicality
Vivek Rudrapatna
3 months
Medical practice today is guided by studies that measure drug effects by looking at population averages. But in many cases, individual patient responses can deviate from the majority trend. How can we evolve from a world of one-size-fits-all medicine to #personalizedmedicine?
1
2
2
@vivicality
Vivek Rudrapatna
3 months
It is with a mix of emotions that I finally announce this work, my very last w/ @atulbutte. Atul believed in the power of open data and our ability to learn from the data we already have to improve healthcare now. This work is a tribute to this belief, made possible by his career
1
10
26
@vivicality
Vivek Rudrapatna
4 months
Thank you @microsoft research for supporting our work! We are committed to advancing the use of AI in medicine
@UmaMahadevanIBD
Uma Mahadevan
6 months
Wow! CSO of Microsoft Eric Horowitz quoted @vivicality work @UCSFHospitals @@ASGEendoscopy presidential plenary @DDWMeeting So proud!
0
3
9
@UCSF_BCHSI
UCSF Bakar Computational Health Sciences Institute
7 months
Congratulations to @UCSF Duygu Tosun-Turgut @birtutamtuz Inducted into the 2025 Class of the @AIMBE College of Fellows! https:///press/tosun-turgut-COF-9122.pdf @UCSF_Ci2
1
7
11
@astro_Pettit
Don Pettit
10 months
One photo with: Milkyway, Zodical light, @Starlink satellites as streaks, stars as pin points, atmosphere on edge showing OH emission as burned umber (my favorite Crayon color), soon to rise sun, and cities at night as streaks. Taken two days ago from Dragon Crew 9 vehicle port
786
2K
11K
@astro_Pettit
Don Pettit
10 months
Flying over aurora; intensely green.
640
5K
28K
@vivicality
Vivek Rudrapatna
1 year
Truly grateful to the @KR_Foundation for their generosity. We are on a mission to advance artificial intelligence for IBD research and patient care. This award will go a long way towards helping us get there!
@KR_Foundation
Kenneth Rainin Foundation
1 year
Early career researchers introduce new lines of thinking and technologies. Read about our Early Career Catlayst Awardees, Dr. Nicole Belle and Dr. Vivek Rudrapatna, and their research into intestinal healing and applying AI to clinical decision making.
0
4
18
@vivicality
Vivek Rudrapatna
1 year
Thank you @UCJointCPH for the shoutout!
@UCJointCPH
UC Joint Computational Precision Health Program
1 year
Using machine learning to improve detection and diagnosis of rare diseases--CPH and @UCSF_BCHSI faculty @vivicality talks to @wcbs880 on new work and potential for future advances. https://t.co/xaCiB5w0rI
0
2
13
@vivicality
Vivek Rudrapatna
1 year
Thanks @thezebramd for the shout out! And my sincere thanks to @wcbs880 for highlighting our work today. Will repost the interview here once it becomes available.
@thezebramd
zebraMD
1 year
🚨 TUNE IN TODAY!! 🚨 📻 to hear the amazing @vivicality on KCBS Radio in San Francisco between 11:30am-12:25pm PST. Listen in to hear about Project Zebra, and how our current work with @UCLA and @UCSF is aiming to improve detection and management of rare diseases!
0
1
6
@_ahmedmalaa
Ahmed Alaa
1 year
Excited to share our new work accepted for an oral presentation at #ICML2024! We use ideas from mean-field theory to develop generative diffusion models for 3D point clouds. Kudos to Sungwoo Park and @gimdong58085414 for leading this effort! 📌 Paper: https://t.co/9lY1BMVO4p
6
22
136
@vivicality
Vivek Rudrapatna
1 year
Thanks to @UCLAHealth for covering our work. Truly a team effort at @UofCAHealth. Check out the article to learn about the bigger mission: use #AI to optimize diagnoses across diseases, and learn from the data of many centers using privacy-preserving tech
Tweet card summary image
uclahealth.org
A UCLA medical school graduate co-created an algorithm that combs through electronic health records for faster diagnoses.
@vivicality
Vivek Rudrapatna
1 year
Excited to share our latest work, an algorithm for reducing diagnostic delays in acute hepatic porphyria, a famously difficult-to-diagnose #raredisease. Now out in JAMIA: https://t.co/YgnrvfxDNk Code: https://t.co/8yvCnV77EO.
0
2
8