Matt Mills Profile
Matt Mills

@statmills

Followers
413
Following
2K
Media
200
Statuses
2K

Data Scientist at Intuit/Mailchimp. I like to share random musings on R, Stats, and College Football

Atlanta, GA
Joined June 2010
Don't wanna be here? Send us removal request.
@statmills
Matt Mills
10 years
I've uploaded some CFB Data for open source use https://t.co/YpY8nkZ8xH 10 years of Team recruit rankings Draft Picks Schedule and Results
0
3
22
@statmills
Matt Mills
6 months
10 of the 11 writers list FSU as making the playoff, none of them include Clemson at all, and yet at Fanduel right now Clemson is still the favorite to win the ACC at +185
Tweet card summary image
sportsbook.fanduel.com
Bet on all college football games on FanDuel Sportsbook. Find college football odds for the biggest upcoming games.
@ESPNRittenberg
Adam Rittenberg
6 months
College Football Playoff predictions: Who's most likely to make the field - via @ESPN App
0
0
0
@statmills
Matt Mills
6 months
@BudElliott3 FPI still has preseason projections built in, so even if teams play to their current ratings the changes from the preseason should get more drastic as the current season gets more weight.
0
0
0
@statmills
Matt Mills
6 months
FSU's schedule changes are even more striking @BudElliott3
1
0
0
@statmills
Matt Mills
6 months
Fun wrinkle for GT this year; only 3 conference opponents are playing better than expected. Technically FPI has us favored in every game until UGA lol @FTRSJoey
1
0
2
@statmills
Matt Mills
10 months
I'd guess you'd find the same results in basketball as well, the game the same it just got more fierce.
@jburnmurdoch
John Burn-Murdoch
10 months
NEW with @KuperSimon The prevailing narrative around increased injuries and player workload in elite football is wrong. Players don’t play more football than in the past. What has changed is a sharp rise in intensity of play. Not more minutes, but each minute exerts more load.
0
0
0
@statmills
Matt Mills
10 months
Sharing for the morning crowd; My latest blog post covers how you can fit shape constrained models in python leveraging splines and JAX
@statmills
Matt Mills
10 months
My latest blog post is a walk-through of how Shape Constrained P-splines work and how you can use them to fit a curve of any arbitrary shape like monotonically increasing or decreasing #pydata #pystats #datascience #MachineLearning
0
0
0
@statmills
Matt Mills
10 months
This means you can enforce arbitrary shapes, even convex and concave, but still leverage all the benefits of a traditional GAM. Even better they are so straightforward you can fit them using general optimization packages like {jax} and {scipy}
1
0
0
@statmills
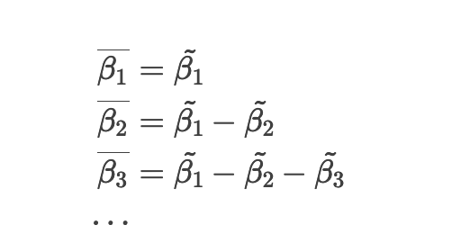
Matt Mills
10 months
They work by a simple yet effective reparameterization of a traditional GAM: 1. make all the coefficients positive 2. transform the coefficients with a running addition or subtraction of the previous coefficients to ensure they always get bigger or smaller
1
0
0
@statmills
Matt Mills
10 months
My latest blog post is a walk-through of how Shape Constrained P-splines work and how you can use them to fit a curve of any arbitrary shape like monotonically increasing or decreasing #pydata #pystats #datascience #MachineLearning
2
1
3
@statmills
Matt Mills
1 year
This lets you generate different levels of smoothing. There is an additional way to smooth the data using low rank smoothers. These not only smooth differences between neighboring values but also fit much faster by using fewer overall parameters.
0
0
0
@statmills
Matt Mills
1 year
The data was a chance for me to explore geo location models with {mgcv}. Similarly to penalizing the difference between neighboring coefficients in a GAM, you can penalize the difference between neighboring locations using a Markov Random Field
2
0
1
@statmills
Matt Mills
1 year
I'm excited to finally share some Atlanta Housing Data Charts! The first image shows the census tracts with the highest rate of first time buyers, the second shows the average sale price. Yes, they are basically inverses of each other but I enjoy the details of both
1
0
1
@statmills
Matt Mills
1 year
I hate how it's never the actual data analysis that trips me up when switching between R and Python, it's the silly base stuff like `int` and `len` that takes me multiple tries to switch over 🀬
0
0
0
@statmills
Matt Mills
2 years
Between him and Marcus Dupree there may be nothing cooler in CFB than an OU running back hitting a crease and seeing the crowd go insane for the long touchdown run
@FBGreatMoments
Football’s Greatest Moments
2 years
Adrian Peterson during his days as a Sooner. https://t.co/QwYYkHKPOu
0
0
2
@statmills
Matt Mills
2 years
Especially the pysparklines package that can do multiple line graphs?? That is rrreeeaaalll nice
0
0
0
@statmills
Matt Mills
2 years
And some python packages already exist: https://t.co/mTxwFCkbxF & https://t.co/I0jPbZqG1v for much more robust implementations than mine.
Tweet card summary image
pypi.org
Generate sparklines for numbers using Unicode characters only.
1
0
0
@statmills
Matt Mills
2 years
For the life of me I could not remember the proper name last night but some helpful redditors have reminded me these are called sparklines, from Tufte:
@statmills
Matt Mills
2 years
A couple of years ago I saw a really neat R function that printed a histogram as unicode text (β–β–‚β–„β–ˆβ–†β–ƒβ–β–). I put together a python function that does the same so you can quickly see the distribution of your variables without creating tons of plots or for use in text blocks
1
0
0