scottiehype Profile Banner
Scott Brown Profile
Scott Brown

@scottiehype

Followers
506
Following
307
Media
86
Statuses
255

Personal account full of joy, adventure, nonsense, and tomfoolery; enjoying life! Professional account @drscottrbrown

Grand Rapids, MI, USA
Joined July 2011
Don't wanna be here? Send us removal request.
@scottiehype
Scott Brown
4 years
Hey @iamjohnoliver, squeezing in a last-minute babymoon w/ my wife to NYC next wk & @LastWeekTonight's all sold-out. I know you've got more important things to think about, but if any extra seats pop up we'll be there in a heartbeat! Thanks & love your work!
0
0
0
@jb_morin
JB Morin
5 years
Congrats Dr Matt R Cross πŸ‘πŸ‘¨β€πŸŽ“ PhD βœ… today by @MattCrossNZ on ski β›·performance and force production @LIBM_lab @Univ_Savoie Great discussion with expert panel and great supervision by @PierreSamozino and @FedFranceSki Long journey, enjoy wine and raclette now πŸ‘πŸ‘
8
7
82
@stevenag04
Steven Garcia
7 years
When you eat, sleep and ..game ?? Biomechanics ✊🏽 Serving up a can of whoop a*# to @scottiehype on a Monday Night. Anyone have an idea what Mokap mans fatility would be ?? #MortalKombat
0
1
4
@scottiehype
Scott Brown
8 years
Lots of really cool projects from the @BJSM_BMJ Academy Awards (including mine). Have a look and make sure to vote on your favorite πŸ˜‰ πŸ‘Œ
@Alan_McCall_
Alan McCall
8 years
VOTING OPEN for People’s Choice - @BJSM_BMJ PhD Academy Awards 2017-18! Link below to vote! All PhD BJSM manuscripts free access and links to videos! https://t.co/Ebsdfg9OvA Last years winners @DrJamesOB (Editor’s Pick) & @ryan_timmins (People’s choice)
0
3
6
@scottiehype
Scott Brown
8 years
Cool presentation today from @shanki_swim87 (one of our postdoc fellows) at @UMHealthSystem on…
0
0
0
@scottiehype
Scott Brown
8 years
Hey Twitter world... after a 7-month journey around Southeast Asia, I'm back and in a new location. Just started a post-doc fellowship at the NeuRRo Lab at the University of Michigan. Very excited for this new opportunity! More details coming soon.
2
1
14
@scottiehype
Scott Brown
8 years
The latest highlight in my academic career: BJSM PhD Academy Award. 3 yrs of work in NZL in 600 words. Humbled...
5
9
32
@scottiehype
Scott Brown
9 years
Yet another amazing project underway @SPRINZ_AUT with @EricHarbour and top NZL women's rugby. #SportScience #WomensRugby
0
1
7
@scottiehype
Scott Brown
9 years
New S&C project on the rise @SPRINZ_AUT working with @DustinOranchuk @riki_lindsay & @agstorey πŸ‹πŸΌ #sportsscience
0
2
10
@scottiehype
Scott Brown
9 years
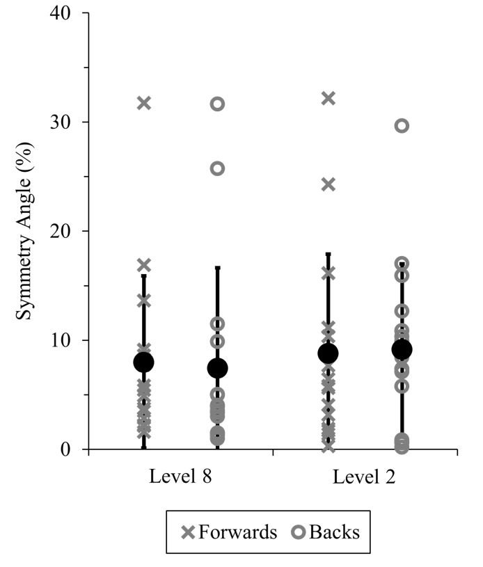
NEW sprint asymmetry paper from our group. What a great team 2 work with πŸ‡³πŸ‡ΏπŸ‡¨πŸ‡­πŸ‡ΆπŸ‡¦πŸ‡«πŸ‡·πŸ‘πŸ˜Ž Summary below & full paper here: https://t.co/gsX7IyLliZ
2
41
89
@peterfrancis_ie
Peter Francis
9 years
Last big track work out b4 Sydney 10km. What a difference it makes to have someone come hold the watch. Thanks @scottiehype #run4yourlife πŸƒπŸ»
0
1
3
@scottiehype
Scott Brown
9 years
An invaluable practical session 4 the 'new wave' of postgrads on vertical jump assessments from Prof John Cronin @SPRINZ_AUT #sportsscience
0
3
5
@scottiehype
Scott Brown
9 years
The final profiling chapter from my PhD has been accepted @Human_Kinetics's Motor Control. A very happy day for me! Only 4 chapters left πŸ˜œπŸ‘Œ
3
9
38
@scottiehype
Scott Brown
9 years
I couldn't agree more, VERY important @jb_morin!!! I wish more researchers nowadays understood this concept and actually applied it...
@jb_morin
JB Morin
9 years
Important editorial by @francoimpell https://t.co/ivLkrDI5NS Totally agree. Will papers have "carpool lanes" review/publication process? πŸ€“
1
1
5
@anthonyturneruk
Prof Anthony Turner
9 years
Big PhD prep day for @shy_2tweet with @Peter_Mundy close by to help and advise.
2
2
24
@scottiehype
Scott Brown
9 years
Not a bad view at my local library. Gotta catch-up on my weekend readings πŸ“š and keep the β˜•οΈ buzz goin πŸ‘ŒπŸΌ
0
0
6
@scottiehype
Scott Brown
9 years
My @ISBiomechanics Student Int'l Travel Grant report posted here: https://t.co/K6G6A8hXSU... a bit d'avant-garde from the rest πŸ˜‰πŸ»πŸ‘ŒπŸ‡³πŸ‡ΏπŸ‡«πŸ‡·πŸ‡ͺπŸ‡ΈπŸ‡¬πŸ‡§
2
5
13
@hypoxiapapers
Hypoxia Adaptation
9 years
Effects of Altitude/Hypoxia on Single- and Multiple-Sprint Performance: A Comprehensive Review.
0
5
9
@scottiehype
Scott Brown
9 years
Gr8 practical summary from our recent asymmetry work here https://t.co/5cKYjNeTBT written by @DimePerformance. Keep up the good work James!
0
5
14
@scottiehype
Scott Brown
9 years
Happy 15th birthday @AUTMillennium! Thanks for the πŸ“Έ shout-out πŸ‘ŒπŸΌ Always proud of our @SPRINZ_AUT research 😁
0
0
3