redmankellyanne Profile Banner
Kellyanne Redman PhD Profile
Kellyanne Redman PhD

@redmankellyanne

Followers
523
Following
660
Media
6
Statuses
62

Strength & Conditioning Coach | NSWIS | Rowing | Wheelchair Track & Road

Sydney, New South Wales
Joined September 2016
Don't wanna be here? Send us removal request.
@EamonnFlanagan
Eamonn Flanagan
2 years
The 3 As of strength & conditioning program monitoring: Attendance Adherence Adaptation Often in S&C we jump to monitor Adaptation first. Is the athlete getting bigger/faster/stronger.... but what value is there in this if we don't know if our program is contributing to any
3
57
298
@redmankellyanne
Kellyanne Redman PhD
2 years
Proud of Grace and her efforts during the 2023 World Rowing U23 Championships campaign
instagram.com
0
0
0
@redmankellyanne
Kellyanne Redman PhD
3 years
Congratulations to all the athletes that competed at the Para-powerlifting Wollongong Classic @Powerlifting @AUSParalympics
0
0
14
@redmankellyanne
Kellyanne Redman PhD
3 years
It’s official, Kellyanne Redman PhD. Thank you to everyone that has been apart of the journey.
2
2
60
@redmankellyanne
Kellyanne Redman PhD
3 years
This study provides S&C coaches with an analysis of the relationship between outcomes from tests commonly used in practice and match tackle outcomes @RyWhitley84 @BeckmanEmma @VinceKellySport @ConnickMJ @LWadeBiomech
@JSCRonline
Journal of Strength and Conditioning Research
3 years
Current Issue: The Relationship Between Match Tackle Outcomes and Muscular Strength and Power in Professional Rugby League, by @redmankellyanne et al. https://t.co/K0ABe4PYjx @NSCA @lippincott
0
4
23
@CarmenColomer1
Carmen Colomer
3 years
Really looking forward to this!
@PerthGloryFC
Perth Glory FC
3 years
Key High Performance Appointments Made... A warm welcome to Head of High Performance @CarmenColomer1, Head of Medical Jasraj Sidhu, High Performance Analyst @CamLord89 and Strength & Conditioning Coach Adam Holmes. Details here: https://t.co/Jjuwi6Oino @aleaguemen #OneGlory
4
2
59
@redmankellyanne
Kellyanne Redman PhD
4 years
The off-season is necessary for physical and mental restoration. We found it had a positive effect on players ability to rapidly generate ground reactions forces. There was a large sig r’ship between resistance training and players reporting feeling restored when training resumed
@IJSPPjournal
Int'l Journal of Sports Physiology and Performance
4 years
Now ahead of print: Effects of the Off-Season on Muscular Power in Professional Rugby League by @redmankellyanne, Logan Wade, @VinceKellySport, Mark J. Connick & Emma M. Beckman
0
0
15
@IJSPPjournal
Int'l Journal of Sports Physiology and Performance
4 years
Now ahead of print: Predicting Rugby League Tackle Outcomes Using Strength and Power Principal Components by @redmankellyanne, Logan Wade, @VinceKellySport, Mark J. Connick & Emma M. Beckman https://t.co/g9FBDUJSGV
0
4
11
@redmankellyanne
Kellyanne Redman PhD
4 years
This study provides coaches with a method to predict match tackle outcomes from tests commonly used in practice. It is recommended S&C programs aim to develop forceful and rapid concentric actions @BeckmanEmma @VinceKellySport @LWadeBiomech @ConnickMJ
0
2
12
@redmankellyanne
Kellyanne Redman PhD
4 years
During the later stages of competition a decrease in performance is regularly observed and often attributed to fatigue. It is unclear if this decline is exclusively due to physical fatigue or an indicator of a decrease in decision-making ability @jason_siegler @VinceKellySport
@JSCRonline
Journal of Strength and Conditioning Research
4 years
Current Issue: Effects of a Rugby League Match Simulation on Decision-Making in Elite Junior Rugby League, by @redmankellyanne et al. https://t.co/tx0dYyJuN9 @NSCA @lippincott
0
0
11
@DannyLum82
Danny Lum, PhD, CSCS, ASCA L2
4 years
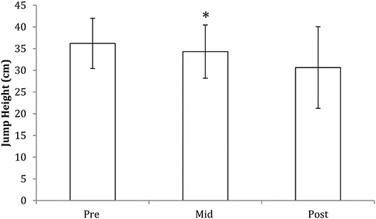
This study compared resistance training to failure vs 10% velocity loss threshold (VL10) in highly trained rowers. Despite 25% lower training volume, VL10 resulted in double the gains in strength as compared to training to failure, in terms of percentage change.
1
9
63
@alex_natera
Alex Natera, PhD
4 years
Pls RT. Looking for a highly driven S&C Coach with a specialism in team sports and a thirst for continual improvement. The successful applicant will lead and build on the @NSWIS S&C support to our Women’s & Men’s Hockey 🏑 program up to the Oly Games 2024 https://t.co/Y8Mi7pvQDv
2
55
69
@JSCRonline
Journal of Strength and Conditioning Research
4 years
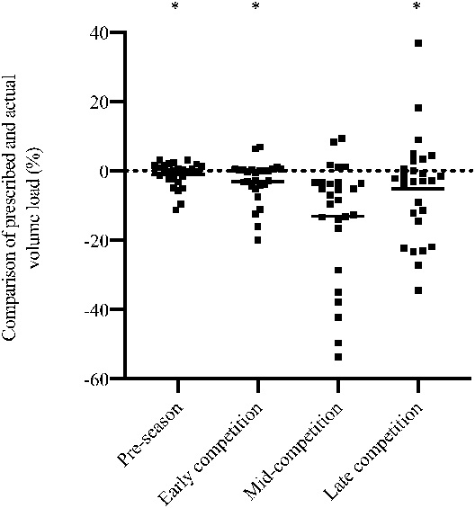
Current Issue: Monitoring Prescribed and Actual Resistance Training Loads in Professional Rugby League, by @redmankellyanne et al. https://t.co/qDxsBtF7X9 @NSCA @lippincott
0
8
34
@georgiedent
Georgie Dent
5 years
“I will not respect a man who has the time to shake hands of men who have won a football match but is ‘too busy’ to attend the March for Justice,” Eels sports scientist Tahleya Eggers. #EnoughIsEnough https://t.co/DtmZRawKmb
Tweet card summary image
foxsports.com.au
New twist as Eels staffer deletes tweet after THAT ScoMo dressing room scowl goes viral
154
700
4K
@PeterHarrisonAU
Peter Harrison
5 years
@DocLachJames @VinceKellySport Take homes: - Only small changes following the exercise prescribed. Need to find out if these are practically important for athlete performance - Important to consider time course of responses as this appears to vary depending on loading stimulus
0
2
9
@redmankellyanne
Kellyanne Redman PhD
5 years
With pre-season training in full swing, which strength and power qualities may S&C coaches want to focus on to influence tackle outcomes during competition @BeckmanEmma @VinceKellySport @ConnickMJ @RyWhitley84 @LWadeBiomech
1
3
30
@redmankellyanne
Kellyanne Redman PhD
5 years
Sadly my time @brisbanebroncos has come to an end. I feel privileged to have worked here, to complete my PhD with the team and to be apart of the Broncos family. It is bittersweet to turn the page on this chapter but I am looking forward to what the future holds
3
0
54
@redmankellyanne
Kellyanne Redman PhD
5 years
Looking forward to presenting alongside these heavy hitters on Sunday. If you can't make the event full recordings are available for 72hrs post
eventbrite.com.au
The S&C Pathway: 2020 International Webinar Series I
@chris_epakis
Chris Epakis
6 years
📢Happy to introduce THE S&C PATHWAY: INTERNATIONAL WEBINAR SERIES I. Awesome opportunity to see some world-class practitioners present. For more info see: https://t.co/D2hj7kG8EY @RMcKeefery @julianjSAC @ajbeardo @RyWhitley84 @wadey142 @jack_milligan1 @redmankellyanne
2
1
14
@redmankellyanne
Kellyanne Redman PhD
6 years
A must-see for aspiring S&Cs!
@chris_epakis
Chris Epakis
6 years
📢Happy to introduce THE S&C PATHWAY: INTERNATIONAL WEBINAR SERIES I. Awesome opportunity to see some world-class practitioners present. For more info see: https://t.co/D2hj7kG8EY @RMcKeefery @julianjSAC @ajbeardo @RyWhitley84 @wadey142 @jack_milligan1 @redmankellyanne
0
0
4
@redmankellyanne
Kellyanne Redman PhD
6 years
An effective technique to stay focused and get the most out of your day 🤓
@suzanna_russell
Suzy Russell
6 years
An interesting read supporting why the pomodoro technique or apps such as Be Focused may aid cognitive performance🍅for large tasks use time or completion of smaller sub-tasks as a way to improve completion efficiency🧠may be of use for #PhD students
0
0
3