Nabin Shrestha, MD, MPH Profile
Nabin Shrestha, MD, MPH

@nksmd

Followers
183
Following
388
Media
6
Statuses
76

Infectious Disease Physician @ClevelandClinic Views are my own

Cleveland, OH, USA
Joined May 2010
Don't wanna be here? Send us removal request.
@nksmd
Nabin Shrestha, MD, MPH
8 months
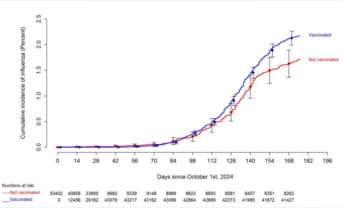
Our updated study, with longer follow-up, on effectiveness of the #influenzavaccine still fails to find the vaccine to be effective in protecting against #influenza this year. https://t.co/6SSXCto2VR
5
3
6
@nksmd
Nabin Shrestha, MD, MPH
10 months
The #influenzavaccine varies in its effectiveness from season to season. This prospective study has been unable to find the vaccine to be effective thus far this respiratory season, in protecting against #influenza.
Tweet card summary image
medrxiv.org
Background The purpose of this study was to evaluate the effectiveness of the influenza vaccine during the 2024-2025 respiratory viral season. Methods Employees of Cleveland Clinic in employment in...
1
2
4
@GuntherEagleman
Gunther Eagleman™
10 months
This is a must-watch. Rand Paul just WENT OFF at RFK Jr.'s hearing.
3K
26K
100K
@brownstoneinst
Brownstone Institute
1 year
The commercial imperative to extract money from human bodies is playing havoc. Nowhere is this more apparent than in the field of vaccines, and their place in determining the length of our lives. ~@bell00david Vaccines and the Length of Our Lives https://t.co/1brsepqKbn
Tweet card summary image
brownstone.org
Imperative to extract money is playing havoc. Nowhere is this more apparent than vaccines and their place in determining length of our lives.
2
16
34
@bell00david
David Bell
1 year
We need to return to reality on pandrmics, rather than flawed models. The world has changed. The pandemic industry seems stuck in the Middle Ages. https://t.co/2xz04N6kwM
Tweet card summary image
brownstone.org
Modeling can assist in raising questions. Technological advances have contributed to reduction in diseases, including pandemic mortality.
0
3
9
@ccf_idfellows
CCF ID Fellows
1 year
Excited for the official CCF Infectious Diseases Fellowship account ! Follow us for updates on ID education, research, and insights from our fellows. #InfectiousDiseases #MedicalEducation #IDFellows
0
7
7
@bell00david
David Bell
1 year
‘Hybrid immunity’ is a construct of Pharma to sell vaccines that: 1. Don’t stop infection, or 2. The company wants to inject into already-immune people. But perhaps scientific journals should separate advertising from science. Immunity is immunity. https://t.co/nELrBaHPgM
Tweet card summary image
cell.com
Voss et al. demonstrate that hybrid immunity to SARS-CoV-2 arises from distinct immunological imprints left by infection and vaccination. Plasma antibodies maintain these initial imprints, with over...
2
18
37
@nksmd
Nabin Shrestha, MD, MPH
2 years
Our study on the effectiveness of the latest #COVID #vaccine is now available online for those who may be interested. https://t.co/zJQCi93Ac9
8
0
6
@nksmd
Nabin Shrestha, MD, MPH
2 years
As defined by current CDC criteria, those who have not received a single dose of the bivalent vaccine are considered to not be up-to-date with COVID-19 vaccination. This study calls into question the validity of this classification. https://t.co/EU7XBFdzez
3
3
8
@nksmd
Nabin Shrestha, MD, MPH
4 years
Important questions about duration of immunity after COVID-19 infection/vaccination, and timing and number of vaccine doses needed for those previously infected, are examined in this study. https://t.co/oazmfFDiaN
5
1
9
@atul_MDFACP
Atul Thakur MD MEd
4 years
Congratulations! Well deserved award! @medpedshosp
@OhioAcp
ACP Ohio
4 years
Congratulations to Dr. Moises Auron, Evelyn V. Hess, MACP Master Teacher Award! #NationalInternalMedicineDay #IMProud @ACPinternists @GeorgeAbraham65 @doctorbecca1 @DarilynMoyer @craigniel13 @kjgoistMD @ClevelandClinic
1
1
4
@nksmd
Nabin Shrestha, MD, MPH
4 years
Prior infection provided as much protection as vaccination against COVID-19 infection, hospitalization, and death, in this nationwide study from Israel, https://t.co/9dElhV5Mke, supporting the idea that vaccination is not needed until natural immunity wanes. #covidvaccine
1
3
8
@nksmd
Nabin Shrestha, MD, MPH
4 years
People who’ve had COVID-19 don’t need the vaccine. See findings of study done @ClevelandClinic: https://t.co/PJyyCNMloM. Let’s prioritize these amazing vaccines accordingly. Don’t waste precious resources vaccinating those who don’t need to be vaccinated. #covidvaccine #covax.
2
13
34
@adarsh_bhimraj
Adarsh Bhimraj
5 years
@AnitaJReddy @ClevelandClinic @CleClinicRespir @SumitaKhatri @StevenG10606465 Congratulations @AnitaJReddy @SumitaKhatri & @StevenG10606465. Thank you all for your tireless, selfless service, your sacrifice and your leadership during the pandemic. It’s and honor and a pleasure I get to call you all colleagues and friends 🙏🏾🙏🏾🙏🏾@CleClinicRespir @RaedDweikMD
0
3
5
@nksmd
Nabin Shrestha, MD, MPH
5 years
I recommend this book highly for anyone who wants to learn R. This is the best I’ve come across on the topic. Will give you the competency to do decent data analyses and position you very well to learn more specialized topics.
@hadleywickham
Hadley Wickham
5 years
And R for Data Science also gets the new bs4_book treatment: https://t.co/6zKz6iGyCI #rstats
0
1
1
@HillaryClinton
Hillary Clinton
5 years
Please share with friends and family in Georgia: If you voted absentee in Georgia, please check the status of your ballot now. If it was rejected, you have until 5pm on Friday, November 6, to fix it and make sure your vote counts. https://t.co/dbcsk0fv0R
3K
62K
152K
@IDSAInfo
IDSA
5 years
IDSA supports the continued collection of data in randomized clinical trials to better understand the benefits of #convalescentplasma treatment before authorizing its wider use in patients with #COVID19.
5
129
227
@CarlosdelRio7
Carlos del Rio
5 years
Distribution of Transmission Potential during Non-Severe COVID-19 Illness https://t.co/w5lfg50ZXj. Elegant study from @ClevelandClinic suggesting in non-severe COVID-19, viral loads in upper resp specimens peak by 2-3 days from symptom onset and decrease rapidly thereafter.
academic.oup.com
Distribution of transmission potential during nonsevere COVID-19 was examined. Viral loads in upper respiratory specimens peak by 2 or 3 days from symptom
1
20
42
@IDSAInfo
IDSA
5 years
As ID physicians on the front line of combating the current global crisis, we stand strongly against @POTUS's decision to leave @WHO. We will not succeed against this pandemic, or any future outbreak, unless we stand together, share information, and coordinate actions.
11
255
519