melegaro Profile Banner
Alessia Melegaro Profile
Alessia Melegaro

@melegaro

Followers
1K
Following
2K
Media
32
Statuses
653

Professor, Demography, Social Statistics, Epidemiology, population studies, modelling infections, vaccinations, @unibocconi, @DondenaCentre

Milano, Lombardia
Joined March 2009
Don't wanna be here? Send us removal request.
@CornoLucia
LuciaCorno
10 months
Are you based in Boston? Join the effort to make a difference: volunteer for the Homeless Census! Collecting data on homelessness is crucial for designing efficient public pulicies! More info here: https://t.co/ZS6zPoGima Registration here:
Tweet card summary image
boston.gov
In the annual Homeless Census, volunteers go out through all neighborhoods of Boston. They survey and offer shelter and services to people staying on the street. View the 2025 Census
0
5
7
@melegaro
Alessia Melegaro
1 year
Very much looking forward to our workshop on Infectious Disease Modelling and Human Behaviours next week. Grateful to Fondazione Romeo ed Enrica Invernizzi for supporting this event and our research. @DondenaCentre @Unibocconi. Full program and link for remote access below.
@DondenaCentre
Dondena Centre
1 year
Workshop on Infectious Disease Modelling with Human Behaviour organised by the Bocconi Covid Crisis Lab @DondenaCentre on November 21-22, 2024. Amazing set of speakers lined up. See full programme below and registration link!
0
2
16
@melegaro
Alessia Melegaro
1 year
2 POST-DOC positions open @Unibocconi for the BEHAVE-MOD project which aims to integrate behavioural aspects into the study of disease dynamics to generate a novel unified modelling framework. PhD required @DondenaCentre. More info for applying here:
jobmarket.unibocconi.eu
Recruiting, Faculty, Post-doc Grant, Collaboration Contracts
0
10
20
@DaniloBolano
Danilo Bolano
1 year
Job offer: Looking for a junior data scientist interested in data science and web scraping for a 6 month project - @DondenaCentre - deadline June 05th - to apply and see the call https://t.co/xZMOWWvkbe
0
6
9
@melegaro
Alessia Melegaro
1 year
Wonderful opportunity for a PhD position with @vcolizza on epi modelling and behavioural aspects in collaboration with us at @DondenaCentre and working on data gathered in the @ERC_Research funded IMMUNE project.
@vcolizza
Vittoria Colizza
1 year
We are looking for an *excellent* candidate for the PhD project "Data-driven modeling of disease transmission integrating risk perception and adaptive behavior" in collaboration with @melegaro @DondenaCentre @Unibocconi https://t.co/KEBXWXF7P0 https://t.co/XSLj1LglBG
0
4
11
@vcolizza
Vittoria Colizza
1 year
We are looking for an *excellent* candidate for the PhD project "Data-driven modeling of disease transmission integrating risk perception and adaptive behavior" in collaboration with @melegaro @DondenaCentre @Unibocconi https://t.co/KEBXWXF7P0 https://t.co/XSLj1LglBG
0
15
20
@nicolabarban
Nicola Barban
2 years
Looking for jobs? Come work with us in Bologna! Multiple postdocs available in our team. Looking for demo/socio/econ/data scientists. Working with online genealogies, DNA, text recognition from hist. documents and much more.. Competitive pay. Apply here: https://t.co/LL8uh0PcgP
0
54
65
@cosnet_bifi
Yamir Moreno
2 years
Happy to announce that we are now open for applications to the 8th Edition of the Lake Como School on Complex Networks & their Applications. Do not miss the opportunity to learn from top scientists in the field. + info at https://t.co/cEjLXfTPZQ. Application deadline: 25/02/2024.
0
26
72
@melegaro
Alessia Melegaro
2 years
Using sequence analysis to study timeliness in vaccination behaviour in Italy. Get in contact if you want to know more! #Epidemics9 @DondenaCentre @chiarenna @RegLombardia
@chiarenna
chiara chiavenna
2 years
Presenting work on childhood vaccination timeliness today at #epidemics9. If you are attending the conference and working on relevant questions, I would love to meet you! You will find me by my poster (slot 120)
0
0
11
@bugwonk
Ben Cooper @bugwonk.bsky.soci
2 years
The burden and dynamics of hospital-acquired SARS-CoV-2 in England. Relieved to see this finally out: https://t.co/c81GLNCuwy with @_StephanieEvans @thimui_pham @JVRobotham @gmknght @InfectiousMoYin @cherrylimxq @markgpritchard @drdavideyre @JonRead15 @PeterHorby @sbfnk et al
4
28
73
@DaniloBolano
Danilo Bolano
2 years
#hiring we are looking for a data scientist interested in mapping/geotag/web scraping to work with me and @sissinicobalbo @DondenaCentre on the automatic mapping of services for disabled child in Italy. Length: 6 month (with possible extensions). Deadline Oct 23rd. Link ๐Ÿ‘‡
1
12
19
@Unibocconi
Universitร  Bocconi
2 years
Bocconi strengthens its knowledge network โ€“ with two new double programs with @HECParis, in Data, Society & Organisations, and with @KingsCollegeLon, as part of the LLM in Law of Internet Technology Read ๐Ÿ‘‰ https://t.co/zK37rbOUnW
0
2
9
@DanieleDurante2
Daniele Durante
2 years
๐Ÿ“ฃHiring! Join us for a well-funded postdoc at @Unibocconi (BIDSA center) to answer modern questions from Demography via advanced Statistics! Project: CARONTE ( https://t.co/yLwEpMyy0K) Deadline: Nov 20, 2023 Duration: 1 year Interested? Apply now๐Ÿ˜ƒ! Here https://t.co/6I9GRnHttZ
0
12
25
@LucchiniLorenzo
Lorenzo Lucchini
2 years
18Oct'23 14CET #covidcrisislab Fall'23 seminar series starts! Join us for "Navigating Moral Narratives in Vaccine Decision-Making: A Multifaceted Analysis of Cross-Border Misinformation Dynamics" w/ @KyriakiKalimeri fm @ISI_Fondazione Joining info ๐Ÿ‘‰ https://t.co/wt3Kkh4XmE
1
6
14
@DondenaCentre
Dondena Centre
2 years
๐Ÿ“ŒCovid Crisis Lab's Seminars are back! Check out the program ๐Ÿ‘‡
0
3
12
@chiarenna
chiara chiavenna
2 years
Exciting list of speakers! First talk *this Wednesday* by @KyriakiKalimeri, details and Zoom link here
@DondenaCentre
Dondena Centre
2 years
๐Ÿ“ŒCovid Crisis Lab's Seminars are back! Check out the program ๐Ÿ‘‡
1
5
15
@MariaCucciniell
Maria Cucciniello
2 years
๐Ÿ“ข Exciting Opportunity!Join us for a Post-Doc at @Unibocconi ๐ŸŽ“ ๐Ÿ” Project: Co-designing robust schools to create public value for the young generations (CRoS) ๐Ÿซ ๐Ÿš€ Deadline: Nov 3, 2023 ๐Ÿ—“๏ธ Period: Dec 2023 - Oct2025 ๐Ÿ“ Apply Here: https://t.co/n8uzZ0h3kM
1
15
20
@cosnet_bifi
Yamir Moreno
2 years
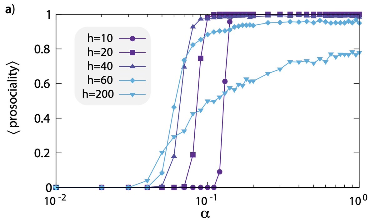
Just out: We present an agent-based model that explores the relationship between pro-family and prosocial behaviors, their impact on settlement formation, and the key role of technology in driving the transition between such behaviors. + Info at https://t.co/wwQjiUY6u0
2
9
34
@melegaro
Alessia Melegaro
2 years
Very pleased and honoured to have been part of the PhD examining committee of @eli_colosi at the @vcolizzaโ€™s lab. A wonderful thesis work on modelling Covid-19 school transmission. Well done dr. @eli_colosi. Great to see new scholars passionate about modelling infectious dynamics
0
0
10