 
            
              Jason Luke, MD, FACP, FASCO
            
            @jasonlukemd
Followers
                6K
              Following
                5K
              Media
                479
              Statuses
                7K
              Physician-Scientist-Executive & Chief Medical Officer @StrandTx
              
              Joined March 2015
            
            
           Colleague Prof. Max Konig and Hopkins colleagues shows that anti-9G4 precision cellular therapies provide a strategy to selectively target pathogenic B cells in lupus, while minimizing risks of infection and cytokine-related toxicities. Read more here:  https://t.co/v9kKkdXFR4 
          
          
                
                1
              
              
                
                16
              
              
                
                76
              
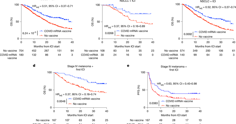
             🚨Our new paper is out today in Nature! We show that SARS-CoV-2 mRNA vaccines can sensitize tumors to immune checkpoint blockade (ICI) — revealing that clinically available RNA vaccines may act as potent immune modulators. 
          
            
            nature.com
              Nature - mRNA vaccines targeting SARS-CoV-2 also sensitize tumours to immune checkpoint inhibitors.
            
                
                26
              
              
                
                59
              
              
                
                191
              
             🧬 In-Vivo CAR-T: Pharma’s New Holy Grail Ex-vivo cell therapy was biotech’s moonshot. But it’s running into gravity, manufacturing drag, cost friction, and clinical complexity. The next frontier is in-vivo CAR-T, programming immune cells directly inside the body. Pharma’s 
          
                
                6
              
              
                
                69
              
              
                
                241
              
             Thank you to all who engaged on my blog trifecta on my two decade “Atlas-versary”…. They were fun and cathartic to write, and hopefully of broader interest. ICYMI - here are the links to the three posts: The science of startups: risk, novelty, innovation: 
          
            
            lifescivc.com
              In the blink of an eye, twenty years have passed: in mid-October 2005, I joined Atlas Venture as a principal on the global life science team.  We closed Fund VII a few months after I joined; and,...
            
                
                3
              
              
                
                9
              
              
                
                126
              
             Great Elpiscience SAB & honored to speak at Immunology Innovations hosted by Westlake University, Hangzhou, CN. Tremendous op to network on @StrandTx LNP repRNA IL-12 cancer IO programs & in vivo CART. Also lectured on p38i work w @RiyueSunnyBao. Beautiful place - tx for invite! 
          
                
                2
              
              
                
                1
              
              
                
                17
              
             Appreciate the personal profile  https://t.co/tXNBj4AVqW  from @edsilverman & @statnews! Amazing progress at @StrandTx advancing field leading genetic medicines. Tx @DrSynbio & Tasuku Kitada for the op! #synbio #immunotherapy #cancerresearch
          
          
                
                3
              
              
                
                1
              
              
                
                10
              
             Big story in NY Times this morning on how Washington is considering what to do (or not do) about China biotech - and the lobbying effort on both sides. Honored to be quoted, and they even linked to a BiotechTV piece. 
          
            
            nytimes.com
              Behind the scenes, major pharmaceutical companies and Trump-tied billionaires are furiously lobbying in opposite directions over proposed anti-China measures.
            
                
                20
              
              
                
                27
              
              
                
                155
              
             I want to share a harrowing scientific experience, without exposing too many details, to see if any of my Twitter science friends have seen the same. I was asked to review a ms from a low-mid impact journal. The title caught my eye, so I agreed, but was in for a surprise. 1/ 
          
                
                6
              
              
                
                6
              
              
                
                41
              
             In our latest episode of #OncLiveOnAir, @jasonlukemd of @UPMCHillmanCC discussed the rationale for evaluating IMA203 in cutaneous #melanoma and what data from the PRAME trial may mean for the future of TCR therapy. Listen now 🎧:  https://t.co/B6eCNfFaao 
          
          
                
                1
              
              
                
                3
              
              
                
                8
              
             This is how generative A.I. could be used to design far better, more potent mRNAs (linear and circular) for the future for genome editing, engineered T cells, cancer therapy, vaccines  https://t.co/KbfU2lW9sL 
            @ScienceMagazine
          
          
                
                6
              
              
                
                65
              
              
                
                197
              
             Extremely excited for this new opportunity & career challenge! @StrandTx is a field-leader in RNA engineering, lipid nanoparticle technology & now clinical cancer #immunotherapy. Our lead program STX-001 is rapidly advancing with multiple clinical programs coming. Time to work! 
           Proud to share that @jasonlukemd will be joining Strand as Chief Medical Officer! Previously a professor @UPMC, he brings decades of expertise in cancer immunotherapies to the team. 
            
                
                18
              
              
                
                9
              
              
                
                113
              
             Tumors drive vagal dysfunction to alter liver metabolism and drive cachexia. Blocking the right cervical vagus nerve alleviates cachexia and synergizes with chemotherapy to improve overall health and survival in mice @CellCellPress @AyeletErez
             https://t.co/HqGl6OYe14 
          
          
                
                1
              
              
                
                19
              
              
                
                59
              
             An impressive array of Big Pharma backers have lined up to ensure Strand Therapeutics has the funding needed to take its mRNA-based solid tumor drug further into the clinic. 
          
            
            fiercebiotech.com
              An impressive array of Big Pharma backers lined up to ensure Strand Therapeutics has the funding needed to take its mRNA-based solid tumor drug further into the clinic. | An impressive array of Big...
            
                
                1
              
              
                
                2
              
              
                
                9
              
             We just raised $153M Series B to advance the future of programmable mRNA medicinesđź“· Thank you to our investors fueling the next generation of cell-targeted genetic medicines. #biotech #mRNA #SeriesB #synbio #StrandTherapeutics
             https://t.co/FTts6zYt0F 
          
          
            
            forbes.com
              For years, Jake Becraft has been working at the bleeding edge of cancer research. Now, with solid early clinical results and a boatload of cash he’s hoping to bring his first innovative therapeutic...
            
                
                7
              
              
                
                21
              
              
                
                127
              
             I am thrilled to finally share my lab's first paper showing that sucralose consumption reduces immunotherapy efficacy in cancer, published NOW in @CD_AACR ! Let's break it down. 1/n  https://t.co/B85rLv9HDD 
          
          
                
                10
              
              
                
                22
              
              
                
                95
              
             🤯Three (!!!) new papers today in @ScienceMagazine on the application of generative AI for the de novo design of peptide/HLA binding molecules! Completely unique 3D structure and binding mode compared with natural TCRs and TCR mimics! Links to papers 👇 
          
                
                8
              
              
                
                134
              
              
                
                687
              
             In vivo generation of panCAR (CAR-T/NK/Mφ) via immunotropic LNP-circRNA and boosting with circRNA vaccine effectively inhibits tumor growth and reshapes the tumor microenvironment in mice @CellRepMed
             https://t.co/Yl08EjWJC2 
          
          
                
                0
              
              
                
                13
              
              
                
                45
              
             T cells do the heavy lifting when it comes to the anti-tumor action of checkpoint immunotherapy. But do antibodies play a role too? That’s the question @yile_dai looked to answer in his thesis work, out today in @Nature! 🧵below  https://t.co/VgTByRKRCX 
          
          
                
                21
              
              
                
                111
              
              
                
                404
              
             1/11 Our study on subclonal immune evasion in non-small cell lung cancer has just been published in @Cancer_Cell
          
          
            
            cell.com
              Dijkstra et al. investigate whether individual cancer subclones differ in their immune evasion capacity. They establish organoids representing distinct subclones from multi-region lung cancer...
            
                
                5
              
              
                
                114
              
              
                
                341
              
             Review @sigtrans_sttt: Pattern recognition receptors: function, regulation and therapeutic potential  https://t.co/rfs8imv2pu 
          
          
                
                0
              
              
                
                6
              
              
                
                21
              
             
             
             
             
             
             
             
             
             
               
             
             
             
             
            