Explore tweets tagged as #AlphaGoZero
@polynoamial
Noam Brown
3 years
In 2016, AlphaGo beat Lee Sedol in a milestone for AI. But key to that was the AI's ability to "ponder" for ~1 minute before each move. How much did that improve it? For AlphaGoZero, it's the equivalent of scaling pretraining by ~100,000x (~5200 Elo with search, ~3000 without) 2/
2
19
211
@pachabelcanon
francis
1 year
venkatesh rao on why we're not going to get an alphagozero of general reasoning, reasoning as an infinite game, and what that means for artificial intelligence
0
0
5
@1a3orn
1a3orn
1 year
R1 shows a sudden growth in use of "wait" as it learns to find solutions -- as in the past, AlphaGoZero had growth (and decline) of specific Go strategies. I hope to see a similar rise / fall, for other reasoning techniques, for future R1-trained models.
2
0
47
@DGetback47618
Dischargedarrow Getback
9 months
AlphaZeroは囲碁ソフトAlphaGoZeroを一般化したもので、ルールしか与えられず、既存の棋譜データもない状態で、2時間で最強の将棋ソフトに勝ち、4時間で最強のチェスソフトを退け、8時間で前身であるAlphaGoZeroを圧倒しました。
3
52
190
@kpd_musing
Keith Dear
2 years
1975 article discussing the importance of the game ‘Wei-Ch’i’ better known to us as’Go’ in Chinese military thought and planning. Tell me again that AlphaGoZero’s victory almost a decade ago now has no relevance to military planning. #AI #ArtificialIntelligence
2
0
3
@bookwormengr
GDP
1 year
There is a great debate whether O3 might be using test time search or not. @natolambert believe it is not Search during Test time, but only RL training. Respectfully disagree. This is from AlphaGoZero paper. You can train with RL+Search and turn off Search, but performance 📉
1
0
0
@mateusf74923221
Mateus Ferreira
3 years
Vocês tem acompanhado o desenvolvimento extremamente rápido das AI? Bom a @deepmind com a #AlphaGoZero mostra avanços significativos em inteligência artificial generativa ou inteligência artificial profunda. Tá, mas o que isso significa? É uma singularidade tecnológica? Comente!!
0
0
0
@The17thChapter
SchoolOfAncientMysteries.com
11 months
@superjan "Ook staat in Niflheim de bron van Mímir, die wijsheid schenkt en waar Odin zijn oog voor opofferde om ervan te mogen drinken." In de eindeloze duisternis waar Mimir voor eeuwig schaak met zichzelf speelt. Net zoals "AlphagoZero"🤫🤖
1
0
0
@XiongYueLi
L
1 year
注册个英文名,叫什么? facebook,google,microsoft,yahoo,zoom,mihoyo,robot,tensorflow,alphagozero
0
0
1
@RC2208
Rajiv Chopra
1 year
The combined 'onslaught' of AI and synthetic biology will change us all. Mustafa Suleyman founded 'Deep Mind,' the company that created AlphaGo and AlphaGoZero. Read the book. https://t.co/aRLEVpRQJI https://t.co/qzD8aEpMKi https://t.co/hCQVxCRJHP #bookrecommendations
0
0
0
@XiongYueLi
L
1 year
Alphagozero有点像动态规划用空间换时间,区别是用模型来预测状态胜率而不是储存每一个状态。
0
0
0
@XiongYueLi
L
1 year
未来AI要超越人类,不可能像alphagozero一样从零开始,必须建立在大语言模型之上,必须理解人类语言。 因为必须用上人类过去的实验数据,比如1919年英国天文学家证实爱因斯坦广义相对论的日全食实验。
0
0
0
@cheng_pengyu
Pengyu Cheng
2 years
When is LLMs' #AlphaGOZero moment? Imagine #LLMs self-evolving without human supervision 🔥🔥🔥 Through #selfplay in an adversarial language game 🕹️, we observe continuous improvements in LLM reasoning 🚀. #AGI is getting closer! Check our paper at https://t.co/p89UrP1mah!
16
40
226
@jeffjeel
Jeff J. Lee
3 years
Alphagozero, Dalle-2, ChatGPT Thinking how generative AI will change our daily lives over the next 5 years
0
0
0
@atushiTAKEDA
Atsushi Takeda @takedarts
8 months
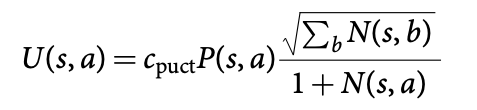
今更ながら囲碁AIや将棋AIで出てくるPUCTについて調べてました。 PUCTの評価式として画像のものを使うことが多いけど、これはAlphaGoZeroの論文のAppendixで出てきた式で、論文にはPUCTを変形したものと書いているけど、参考文献はPUCBを参照していて、わけわからん。
1
1
4
@suwakopro
Suwako — e/acc
5 months
@LuckyJoe198x 我还会经常看看当年棋界对alphagozero的反应,真的特别有意思 https://t.co/2gCvSryLF9
0
0
10
@anomaly_verimag
投資アノマリー検証マガ���ン
1 year
DeepSeekの論文読んだ。AIはさらに発展する。半導体産業は過剰な割高の調整を受ける。 強化学習の利用による圧倒的な能力向上はAlphaGoZeroでも見られており、LLMでも起きうるというのは信ぴょう性が高い ルールベース評価で計算量の大幅な節約と高性能が両立しうるか、Aha が本当に起きるかは要検証
1
0
0
@Sh0rtArr0w
ShortArrow
10 months
今はまだAlphaGoZeroみたいなことをして強化したLLMは無いのかな
1
0
0