FuninganaMD Profile Banner
Gabriel Funingana Profile
Gabriel Funingana

@FuninganaMD

Followers
36
Following
12
Media
2
Statuses
27

Clinical Research Training Fellow in Medical Oncology @CRUKCI and @addenbrookes PhD student @University of Cambridge

Cambridge, UK
Joined January 2011
Don't wanna be here? Send us removal request.
@FuninganaMD
Gabriel Funingana
6 months
Mâine dacă ne aliniem Moscovei Tarife vamale de 5-10 % pe maşinile, piesele auto şi alimentele pe care azi le vindem liber în UE. Pierdere estimată: -4 mld. € pe an numai în industrie Scădere de PIB cel puţin -6 % în primul an, pentru că investiţiile şi exporturile se prăbuşesc
0
0
0
@FuninganaMD
Gabriel Funingana
6 months
Cu Europa alături: 31,5 mld. € fonduri nerambursabile pentru 2021-2027 – bani de autostrăzi, spitale şi şcoli Peste 70 % din exporturile noastre merg în UE; asta înseamnă ~70 mld. €/an pentru fabricile româneşti 120 mld. € stoc de investiţii străine, majoritatea din state UE
0
0
0
@FuninganaMD
Gabriel Funingana
6 months
România între UE și influența Rusiei sau Molotov–Ribbentrop 2.0 (acum cunoscut sub numele Pactul Trump-Putin) - ziua in care Romania a pierdut un nou razboi fara a trage un foc de arma.
2
0
0
@FuninganaMD
Gabriel Funingana
2 years
🎗️ New! Genetic Testing Patient Info videos. A collaboration with #IMPROVEUK, NHS Trust, & @CR_UK. Empowering #OvarianCancer patients with knowledge. In 🌍 Bengali, Polish, Punjabi, Romanian, Urdu. 👉 https://t.co/2NR5qUtpMp #DEMOproject #PatientEmpowerment
Tweet card summary image
ovarian.org.uk
Learn about genetic testing after an ovarian cancer diagnosis, including its benefits, how it works, and who should consider getting tested.
0
0
1
@CRUKCamCentre
CRUK Cambridge Centre
3 years
Our Ask me anything about #ovariancancer webinar is in full swing. Our experts @CUH_NHS and @Cambridge_Uni are answering audience questions about symptoms, diagnosis, treatment, diet and exercise. @CR_UK @OvarianCancerUK @TargetOvarian @ovariancancerco @Ovacome @CambCancer
0
6
19
@FuninganaMD
Gabriel Funingana
3 years
🎓 Delighted to see this collaborative work out. We present here our vision of integrating single-cell proteomics and genomics to find order in ovarian cancer biology - a disease with chaotic and heterogeneous biological features. ⛓️🧬🟰💊 https://t.co/HUeibERzjp
Tweet card summary image
link.springer.com
Seminars in Immunopathology - High-grade serous ovarian cancer (HGSOC) is the most lethal gynecological malignancy. Its diagnosis at advanced stage compounded with its excessive genomic and...
0
0
0
@FuninganaMD
Gabriel Funingana
3 years
Just posted a photo @ City Of Cambridge, England
0
0
0
@Cancers_MDPI
Cancers MDPI
3 years
✨Delighted to share our review that summarises the key steps that stand between the translation of Artificial Intelligence (AI) tools to clinics to improve the imagin biomarkers and design of the clinical trials. This is a team effort!✨ Enjoy reading ➡ https://t.co/Iy4ZKRBDO5
0
3
8
@FuninganaMD
Gabriel Funingana
3 years
So thrilled to present our collaborative work that can impact patient care. #GERS22 #Genomics #Medicine
0
0
1
@CRUKCamCentre
CRUK Cambridge Centre
4 years
Sign up for our next next #IntegratedCancerMedicine virtual seminar with @Richard_Baird and @DavidTamborero @karolinskainst on the development and implementation of clinical decision support systems for precision oncology 📆 Tues 8 February 👉 Zoom link https://t.co/S6qcwv9ZDe
0
3
1
@FuninganaMD
Gabriel Funingana
8 years
0
0
0
@FuninganaMD
Gabriel Funingana
8 years
Best articles at #ESMO17
0
0
0
@FAndreMD
FabriceAndre
8 years
superb review on pattern recognition receptors and cancer immunotherapeutics. next wave of IT compounds ?
0
4
12
@FuninganaMD
Gabriel Funingana
8 years
A very good collection
0
0
0
@FuninganaMD
Gabriel Funingana
8 years
Anti-inflammatory cuts risk of heart attack
0
0
1
@ThinklabCancer
Thinklab Cancer
8 years
The top 50 thought leaders in cancer research: https://t.co/6ZGhFgCsTc (Follow this account for retweets of aggregated top stories)
2
7
9
@FuninganaMD
Gabriel Funingana
8 years
The emperor of all diseases
0
0
0
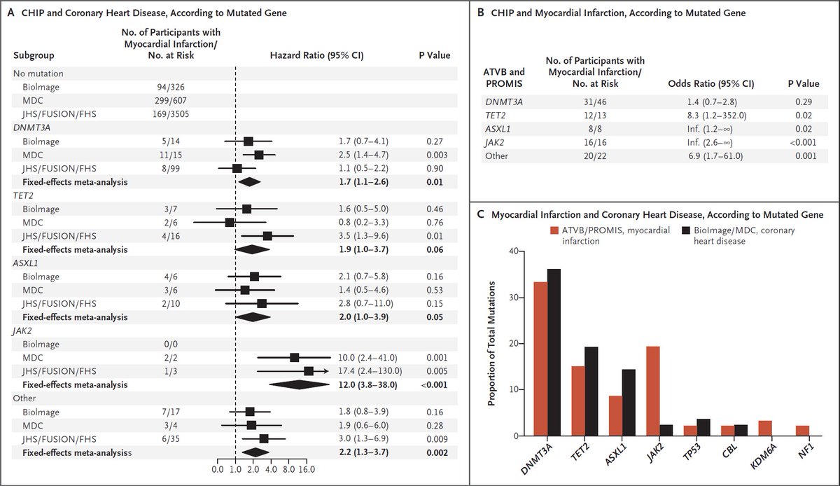
@NEJM
NEJM
8 years
Original Article: Clonal Hematopoiesis and Risk of Atherosclerotic Cardiovascular Disease https://t.co/rBoGKNY0Zk #cardiology
0
46
37