Ayaka Teshima Profile
Ayaka Teshima

@ayateshii

Followers
227
Following
874
Media
2
Statuses
200

PhD candidate @UniBarcelona @ICO_oncologia @TobControlUnit, Youth Ambassador @cancercode alum: @imperialSPH🎓Public Health | Tobacco Control | Migration Health

Joined June 2022
Don't wanna be here? Send us removal request.
@nicu_fight_25
豊島 勝昭(Toyoshima K)_NICUサポートプロジェクト
2 days
生まれてから治療の緊張感あるNICUで毎日を過ごす赤ちゃんとご家族、スタッフ。それぞれに一生忘れないような1日がある。そういう日が今日かもと気づき合い、皆で讃え合い大切に過ごせるNICUでありたい。 #神奈川県立こども医療センター #Nピアノ #にじ #コウノドリ #クリスマスウィッシュリスト
41
1K
14K
@COPDdoc
Nick Hopkinson
15 days
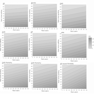
Lower-intensity smoking is associated with cardiovascular risk and the primary public health message for current smokers should be early cessation, rather than reducing the amount of smoking. https://t.co/2P9K7IqKdI #RespEd @AshOrgUK @asthmaandlung
Tweet card summary image
journals.plos.org
Using data from 22 prospective cohort studies, Erfan Tasdighi and colleagues investigate the relationships among smoking burden, intensity, and cessation duration across multiple cardiovascular...
0
1
0
@ayateshii
Ayaka Teshima
19 days
3️⃣ Overall initiation rates have declined; nonetheless, our findings suggest that the timing of peak initiation and the pace of reduction varied across regions, sex and age groups. An unacceptably high number of youth still begin smoking regularly before the legal age of 18.
0
0
0
@ayateshii
Ayaka Teshima
19 days
2️⃣ Initiation rates among young adults declined markedly across all regions and sexes, trends among minors diverged: a clear decrease was observed only for males in Northern Europe, whereas rates stagnated in most regions and increased for both sexes in Eastern Europe.
1
0
2
@ayateshii
Ayaka Teshima
19 days
1️⃣ while regular smoking initiation occurred mainly among young adults for most of the study period, it gradually shifted towards minors in the 2010s, with initiation rates in minors being approximately twice as high as those among young adults in both sexes.
1
0
1
@ayateshii
Ayaka Teshima
19 days
Finally got to share this new piece of work in European Journal of Public Health🎊 Many thanks to my co-authors for the great collaboration🙏 https://t.co/xPTiTXkrYc
Tweet card summary image
academic.oup.com
Abstract. In the European Union (EU), one in five youth currently smoke, with over half establishing regular smoking by age 18. Yet, evidence on the histor
1
0
4
@ayateshii
Ayaka Teshima
26 days
Thank you for the opportunity to present!👩🏻‍🏫
@apoptosislab
Muñoz-Pinedo/Ernest Nadal - PRETT lab
26 days
Tobacco-driven cancer death numbers are affected by social inequality, even in Europe. Excellent presentation by PhD student @ayateshii Cancer Research at @idibell (Oncology Bellvitge) rocks!
0
0
6
@ayateshii
Ayaka Teshima
1 month
博論4本目がついに@LancetRH_Europe に出版されました㊗️ 課税を通じたタバコ価格の引き上げは、若者の喫煙を抑制する最も効果的な手段であると考えられているが、EUを対象にした調査では、その効果は性別・地域別に異なり、一様ではないことを示した研究です✍️ https://t.co/dAUUdion4Z
Tweet card summary image
thelancet.com
Current taxation and age-of-sale policies remain insufficient, with impacts varying by sex and region. Achieving the tobacco endgame requires harmonised EU-level measures and stronger enforcement,...
@ayateshii
Ayaka Teshima
1 month
1
0
6
@ayateshii
Ayaka Teshima
1 month
higher prices were associated with a decrease in youth smoking among males, but not among females, and the pattern varied across regions. 3️⃣ Without stronger action, and at this pace, the EU’s goal of a “tobacco-free generation” by 2040 may remain far from reach.
0
0
0
@ayateshii
Ayaka Teshima
1 month
1️⃣ Despite an overall decline in youth smoking prevalence in the EU, as of 2023, one in five young Europeans still smoked. 2️⃣ tobacco prices and age-of-sale laws were not clearly linked to overall declines in youth smoking in the EU overall. Yet, the impacts differed by sex;
1
0
1
@ayateshii
Ayaka Teshima
1 month
1
2
6
@JAMA_current
JAMA
1 month
Lung cancer is the leading cause of cancer-related mortality worldwide, causing approximately 1.8 million deaths in 2022. 📝 This Review discusses the epidemiology, diagnosis, treatment, and prognosis of lung cancer in nonsmoking individuals. https://t.co/jGRmJPOulw
5
104
304
@FCTCofficial
WHO FCTC
2 months
Tobacco control is working.🌍 🌍 @WHO is urging governments to fully implement and enforce the WHO Framework Convention on Tobacco Control (WHO FCTC) — our global treaty to end the tobacco epidemic. 🚫 Ban tobacco advertising 💰 Raise taxes on tobacco products 🛑 Regulate
@WHO
World Health Organization (WHO)
2 months
Tobacco control is working.🌍 But we're still 50 million users away from our 2025 target. That's 50 million too many lives at risk.💔 Policy works. Let's not stop now. Read the report: https://t.co/hQ9qz1Qfln #TobaccoExposed #NoTobacco
0
14
12
@NobelPrize
The Nobel Prize
2 months
BREAKING NEWS The Royal Swedish Academy of Sciences has decided to award the 2025 #NobelPrize in Chemistry to Susumu Kitagawa, Richard Robson and Omar M. Yaghi “for the development of metal–organic frameworks.”
497
9K
19K
@NobelPrize
The Nobel Prize
2 months
Just in! A photo of new medicine laureate Shimon Sakaguchi, taken in his office today. Join us in congratulating him 🎉
151
909
8K
@ayateshii
Ayaka Teshima
2 months
なぜか分からないけど、沢山イイねいただいた🫶ありがとうございます🫶これは博論3本目にあたります。6回リジェクトされましたが、最終的に嬉しいジャーナルに通りました! 現在、4本目が別ジャーナルで査読第2ラウンド目で結果待ちです。ドキドキして毎日緊張でよく眠れません😪
0
0
1
@ayateshii
Ayaka Teshima
2 months
SNS不精すぎて、約1年ぶりのつぶやきとなった。この論文によって、リジェクトされても落ち込まない精神が養われました
1
0
3
@ayateshii
Ayaka Teshima
2 months
Accepted 🥳🥳🥳
6
0
174
@InstAlcStud
IAS
3 months
"Get tough on tobacco and alcohol firms to improve public health. "Hazel Cheeseman, Prof Sir Ian Gilmore and Katharine Jenner call for minimum unit pricing, a levy on profits and policies to improve food and drink." https://t.co/1LiXFVf8wA
Tweet card summary image
theguardian.com
Letters: Hazel Cheeseman, Prof Sir Ian Gilmore and Katharine Jenner call for minimum unit pricing, a levy on profits, and policies to improve food and drink. Plus a letter from Mary Foy
0
6
5
@DrSarahEJackson
Sarah Jackson
3 months
Our new paper in @LancetRH_Europe documents stark inequalities in health-related economic inactivity by smoking status. As of 2025, one in nine working-age adults in England who smoked were not in work due to long-term illness or disability. This association is embedded in
2
9
13