SoltaniMD Profile Banner
Sanaz Soltani, MD Profile
Sanaz Soltani, MD

@SoltaniMD

Followers
301
Following
2K
Media
17
Statuses
645

Heme/Onc🩸🧪🥼 | Training:@NCICCR_WMB @NIH_NHLBI @GeisingerHealth | Currently:@WVUcancer | Posts=mine≠employer/endorsement | #HOWPG #Wolfpack #OncTwitter

Joined June 2013
Don't wanna be here? Send us removal request.
@SoltaniMD
Sanaz Soltani, MD
7 years
@Alfdoc2 @THilalMD I have an analogy where I compare cancer to a city with surrounding towns and travelers who are trying to find new homes. I tie surgeons to cutting out the city, rad onc to nuking the towns, and me (medonc) to poisoning the travelers in hopes they don’t find new homes
3
4
48
@SoltaniMD
Sanaz Soltani, MD
3 years
Cool
@DavidSteensma
David Steensma, MD
5 years
#HematologyTweetstory 32: lymph nodes with names. There’s also a major personal announcement in this thread. We each have lots of lymph nodes: an estimated 500-600 (Image: @MayoClinic). Like stars, they cluster. (Did you ever think of your axilla as a lymphatic “galaxy”?)🙂/1
0
0
2
@ErikaHamilton9
Erika Hamilton, MD, FASCO
4 years
#ASCO22 is only 2 weeks away! Below are my Top 10 abstracts I'm looking forward to in #bcsm across early & metastatic settings. I've also attached the "why" - what is intriguing me about these particular abstracts or why they are important IMO. @SarahCannonDocs @OncoAlert
7
106
320
@DrYukselUrun
Yüksel Ürün
4 years
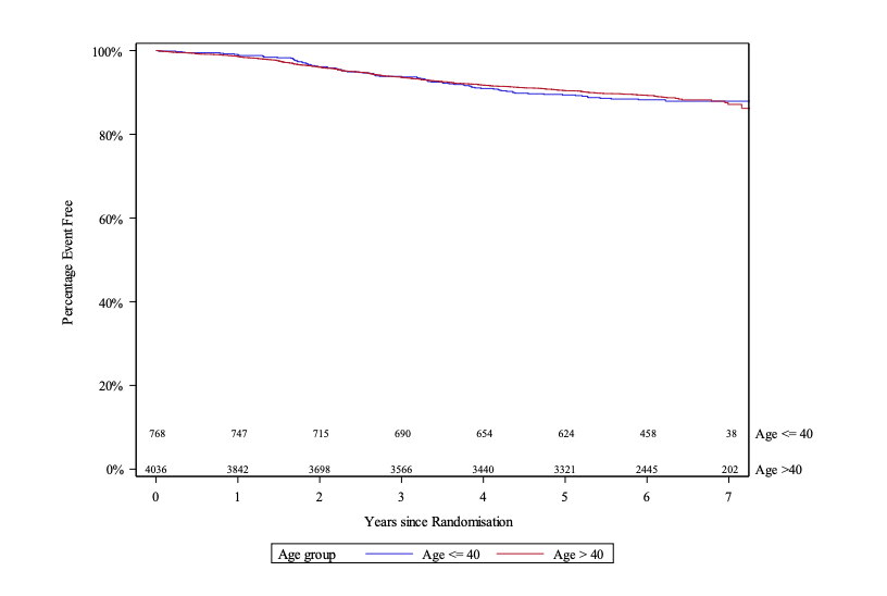
APHINITY: Adjuvant Pertuzumab and Trastuzumab in Early HER2-Positive #breastcancer "Age per se is not a reason either to prescribe more aggressive therapies or to expect a different treatment benefit" ~IDFS for age ≤40 or >40 @JNCI_Now @OncoAlert https://t.co/i1mCk2TFkr
2
25
66
@MelanicjMD
Christopher Melani
4 years
Great talk by my colleague and co-mentor @RoschewskiMD from @NCICCR_Lymphoma on a novel trial with Acala window in 1L DLBCL. Responses to BTKi across all COO and LymphGEN subtypes with ctDNA showing an early indicator of radiographic response #ASH21 #lymphoma
0
2
9
@stolaney1
Sara Tolaney
4 years
EBCTCG analysis of taxane with and w/o anthracycline. 15% relative reduction and 2.5% absolute reduction in invasive recurrence for A+T vs T. Larger reduction with concurrent schedules. @OncoAlert #SABCS2021 #bcsm
2
27
53
@neerajaiims
Neeraj Agarwal, MD, FASCO
4 years
Breaking news: Triplet therapy with Darolutamide + Docetaxel + ADT improves OS compared to docetaxel + ADT in men with mCSPC #ProstateCancer👉Significantly improved OS, the primary endpoint. Another position triplet Rx trial after Peace-1. @OncoAlert @urotoday
@amerseburger
Axel S. Merseburger
4 years
Exciting news #ARASENS #mHSPC pos. primary endpoint for OS, safety similar 🦾 - looking forward see presentation 👏#GU22 @OncoAlert @uroupdate @Uroweb @myESMO @AzadOncology @neerajaiims @scserendipity1 @DrChoueiri @APCCC_Lugano
4
79
194
@LPseattle
Leigh Pate
4 years
👉"I think FES-PET/CT may change patient management for initial staging of ER+ #lobular #breastcancer"👈 Early results look promising! Thx Dr. Covington @huntsmancancer #bcsm @ASTRO_org @ASCO @RadiologyACR @radiology_rsna @AuntMinnie https://t.co/xf4xWaJBjR
2
7
21
@SoltaniMD
Sanaz Soltani, MD
4 years
This thread 🥺
@londyloo
Londyn Robinson, MD
4 years
I lost my mentor. Pat Carlson, who as a rheum study coordinator hired me at 17 yo when I came from rural small town, who signed me up for mcat, who gave me $ for apps when I couldn’t afford secondaries, cried on my wedding and divorce day. 1/2
0
0
0
@marklewismd
Mark Lewis, MD, FASCO
4 years
I’ve never seen a better graphical depiction of grief
301
33K
179K
@Dr_RaviMadan
Ravi A Madan M.D.
4 years
Free Self Paced on-line @NIH #Pharmacology course #pharmacology is very complicated, but necessary for many aspects of #medicine & #research Learn from a course directed by 2 of the best: Drs. Cordes & Figg @WilliamFigg1 #MedTwitter Link: https://t.co/kI97dPiif1…
2
12
35
@DrSGraff
Stephanie Graff, MD, FACP, FASCO
4 years
#SABCS21 Abstracts are out! Here’s what I’m looking forward too! ⁦@matteolambe⁩ ⁦@OncoAlert⁩ ⁦@ErikaHamilton9⁩ ⁦@JavierCortesMD⁩ ⁦@SABCSSanAntonio⁩ ⁦@DrLoveResearch⁩ ⁦@BrownUCancer
3
37
115
@HwakeleeMD
Heather Wakelee
4 years
Very happy to see the FDA approval of adjuvant atezolizumab in patients with resected PD-L1+ early stage NSCLC. So excited to have been a part of the practice changing IMpower010 trial! Making a difference in the lives of NSCLC patients! #LCSM
7
48
272
@DrArturoAI
Arturo LoAIza-Bonilla, MD MSEd
4 years
FDA Approves Adjuvant Atezolizumab for PD-L1+ Non–Small Cell Lung Cancer ⁦@TargetedOnc
Tweet card summary image
targetedonc.com
Atezolizumab is now approved for the adjuvant treatment of NCSLC expressing PD-L1≥1%. The approval is based on the IMpower010 study.
0
2
6
@Annals_Oncology
Annals of Oncology
4 years
Abemaciclib + endocrine therapy for early breast cancer was approved by @FDAOncology based on the monarchE study. Results of the the primary outcome analysis presented at the #ESMOVirtualPlenary are available #openaccess in @Annals_Oncology https://t.co/I5kFGN3NBJ #bcsm
1
67
125
@matteolambe
Matteo Lambertini, MD PhD
4 years
Updated data from #monarchE trial just presented at #ESMOVirtualPlenary showing increased magnitude of benefit for the addition of #abemaciclib to adjuvant #EndocrineTherapy in high-risk HR+/HER2- #BreastCancer patients: very important data! @myESMO @OncoAlert @Annals_Oncology
3
57
130
@bin_abeid
Abeid Athman (Omar).
4 years
Who are the patients who will benefit the most from abemaciclib in adjuvant ET? What is the optimum duration for CDK 4/6 inhibitors? @dradityabardia @matteolambe @kevinpunie @myESMO @prat_aleix
0
5
18
@bin_abeid
Abeid Athman (Omar).
4 years
In the ITT population, the updated monarchE data shows abemaciclib benefit continues even after its stoppage with the curves further separating with time. @myESMO plenary session. #BCSM @kevinpunie @matteolambe @BenWestphalen @weoncologists @PTarantinoMD @tmprowell
0
4
12
@LGerratana
Lorenzo Gerratana
4 years
The updated follow-up of the monarchE study confirms the emerging role of Abemaciclib in the adjuvant setting of high risk Early #BreastCancer. Now it's time to design new effective #biomarkers to further #personalize the treatment algorithm @myESMO #ESMOVirtualPlenary #EBC #bcsm
0
28
63
@stolaney1
Sara Tolaney
4 years
FDA approves abemaciclib in the adjuvant setting for HR+ breast cancer!!! Incredible for our high risk patients with HR+ disease! Interesting that the approval includes Ki67≥20% given benefits seen in pts with both low and high Ki67. #bcsm @OncoAlert https://t.co/T2p2Agav3E
Tweet card summary image
fda.gov
FDA approves abemaciclib as initial therapy for HR-positive, HER2-negative metastatic breast cancer
2
54
120
@kevinpunie
Kevin Punie
4 years
#abemaciclib obtained FDA approval for pts w/ er+/her2- early #breastcancer that is both node positive➕Ki67>=20 Given 2 cohorts in #monarchE surprised to see this specification in the label 👀 forward to see the data thursday during #Esmovirtualplenary @myESMO @OncoAlert #bcsm
@DrHBurstein
Harold J. Burstein, MD, PhD, FASCO
4 years
US @FDA has approved abemaciclib for early stage, ER+ breast cancer with high risk of recurrence (N+) AND Ki67 > 20%. Which is interesting as Ki67 testing remains a very controversial topic and difficult to standardize.
0
8
26