JNCI_Now Profile Banner
JNCI Profile
JNCI

@JNCI_Now

Followers
25K
Following
2K
Media
3K
Statuses
12K

Publishing impactful cancer research with a global mission, the JNCI family of journals champion quality, innovation, and equity.

Joined April 2009
Don't wanna be here? Send us removal request.
@JNCI_Now
JNCI
2 years
📢 Calling Early Career Investigators! Is publishing your research with a respected journal on your 2024 #Resolutions list? You're in luck - @JNCI_Now is creating a special section devoted to publishing manuscripts from ECIs. Find out more here: https://t.co/SXJM611FsA
6
9
20
@JNCI_Now
JNCI
2 days
How do structures of care shape the outcomes we study? This JNCI Cancer Spectrum collection explores the intersection of health systems, access, and context in shaping the cancer experience. Explore the full issue: https://t.co/mn2TNcZ8h9
0
0
0
@JNCI_Now
JNCI
2 days
Research by Dr Ye Zhang presents a risk prediction model for metachronous colorectal cancer. This model may provide evidence for improved surveillance guidelines by providing an individualized risk for people who have had CRC:
Tweet card summary image
academic.oup.com
AbstractBackground. Being able to estimate the risk of metachronous disease in a patient with colorectal cancer (CRC) could enable risk-appropriate surveil
0
0
0
@JNCI_Now
JNCI
4 days
Publish with a journal that values diversity, equity, and inclusion. JNCI Cancer Spectrum welcomes authors from all backgrounds and publishes inclusive, impactful science. https://t.co/v8dimkNlc2
0
0
0
@JNCI_Now
JNCI
5 days
Breast cancer survivors have an increased risk of heart disease related to their treatment. Watt et al. report that a genetic score is associated with the risk of heart disease at least 25 years after diagnosis of breast cancer:
Tweet card summary image
academic.oup.com
AbstractBackground. Cardiovascular disease is a leading cause of death for long-term breast cancer survivors. We evaluated whether a polygenic risk score f
0
1
3
@JNCI_Now
JNCI
7 days
Cancer care does not begin with diagnosis but through exploring the social determinants of health. This collection considers how a range of environmental and social conditions shape who gets screened, treated, and followed up. View the collection: https://t.co/0T0bD8x6zx
0
0
0
@JNCI_Now
JNCI
8 days
.@JNCI_Now offers rapid, rigorous peer review and global reach. Your findings belong here. 📢 Submit now: https://t.co/lU8nx9ayab
0
0
0
@JNCI_Now
JNCI
9 days
Among 1,931 patients who underwent autologous HCT at City of Hope (2010–2016), CH was significantly associated with increased risk of non-myeloid subsequent malignant neoplasms following HCT, with higher risk observed at greater VAF:
Tweet card summary image
academic.oup.com
AbstractBackground. The association between clonal hematopoiesis (CH) and nonmyeloid subsequent malignant neoplasms (SMNs) after autologous hematopoietic c
0
0
1
@JNCI_Now
JNCI
12 days
Join @JNCI_Now as a peer reviewer and play a key role in advancing knowledge, maintaining research integrity, and supporting your peers. 🔗 Reviewer guidelines: https://t.co/Wc34siV6m9 #PeerReview #CancerResearch #MedEd
0
0
1
@JNCI_Now
JNCI
25 days
In a nationwide U.S. cohort of overweight or obese patients with T2D, GLP-1a, when compared with oGLD, was associated with a lower risk of ORC, with more pronounced risk reduction with increasing body weight:
Tweet card summary image
academic.oup.com
AbstractBackground. Evidence regarding the effect of glucagon-like peptide 1 receptor (GLP-1) agonist, when compared with other glucose-lowering drugs, on
0
0
1
@JNCI_Now
JNCI
1 month
Treatment innovations have dramatically increased survival rates for patients with advanced lung cancer, but are also associated with a rise in financial toxicity among survivors. Strategies to mitigate financial hardship needed: https://t.co/Hpw0Yix39q @KhorSara
Tweet card summary image
academic.oup.com
AbstractBackground. Recent advancements in cancer treatments have improved survival rates, but rising costs associated with these innovations raise concern
0
0
1
@JNCI_Now
JNCI
1 month
Become a peer reviewer for @JNCI_Now and help authors improve their work, connect with our Editorial Board, and uphold ethical standards in research. 🔗 Start here: https://t.co/MVyMq3OsJt #Oncology #AcademicPublishing #MedEd
0
0
0
@JNCI_Now
JNCI
1 month
Publish with a journal that values diversity, equity, and inclusion. JNCI Cancer Spectrum welcomes authors from all backgrounds and publishes inclusive, impactful science. https://t.co/m2z5xCnhcB
0
0
0
@JNCI_Now
JNCI
1 month
.@JNCI_Now offers rapid, rigorous peer review and global reach. Your findings belong here. 📢 Submit now: https://t.co/kUX8HkHQX7
0
0
0
@JNCI_Now
JNCI
1 month
Bariatric surgery may reduce risk of cardio metabolic disease and improve health of survivors of childhood cancer living with severe obesity:
Tweet card summary image
academic.oup.com
Abstract. Childhood cancer survivors are at increased risk for obesity, which can potentiate treatment-related late effects. The association between bariat
0
1
0
@JNCI_Now
JNCI
1 month
This JNCI Cancer Spectrum collection brings together research on social determinants of health, analysing factors that frame how cancer is experienced across communities. Explore how systems and settings matter: https://t.co/99mtqOmiMR
0
0
0
@JNCI_Now
JNCI
1 month
Help researchers refine their work and drive cancer innovation with JNCI Cancer Spectrum. 🚀 Make your expertise count. https://t.co/rgGxO1nxI2
0
0
0
@JNCI_Now
JNCI
2 months
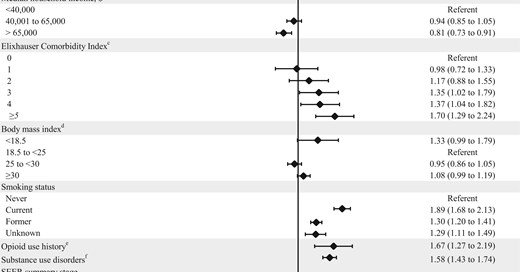
Study of 14,347 breast cancer survivors finds about 16% of patients developed persistent opioid use in the years following active cancer treatment. Risk of all-cause death was 84% higher among survivors with persistent opioid use: https://t.co/oOXs1ZzwCi @KPSCalResearch
Tweet card summary image
academic.oup.com
AbstractBackground. Harm associated with persistent opioid use beyond the first-year intensive cancer treatment is underinvestigated in cancer survivors. W
0
0
1
@JNCI_Now
JNCI
2 months
Peer review is the foundation of research integrity. Join the @JNCI_Now team and help uphold the quality of published cancer research. 📚 Reviewer guidelines: https://t.co/7qo5fQ6vHe
0
0
0
@JNCI_Now
JNCI
2 months
Some populations receive different care not by chance, but by design. This collection from JNCI Cancer Spectrum invites us to examine how infrastructure and interaction contribute to unequal cancer outcomes. Read the collection: https://t.co/X7zkNv85pD
0
0
0