Ryan Keeley Profile
Ryan Keeley

@RyanEKeeley

Followers
169
Following
422
Media
8
Statuses
103

Astroparticle Physicist / Cosmologist Lecturer at UC Irvine Associate Member of the CGWU https://t.co/XxMCmVMSpi

Mariposa, CA
Joined March 2020
Don't wanna be here? Send us removal request.
@RyanEKeeley
Ryan Keeley
1 year
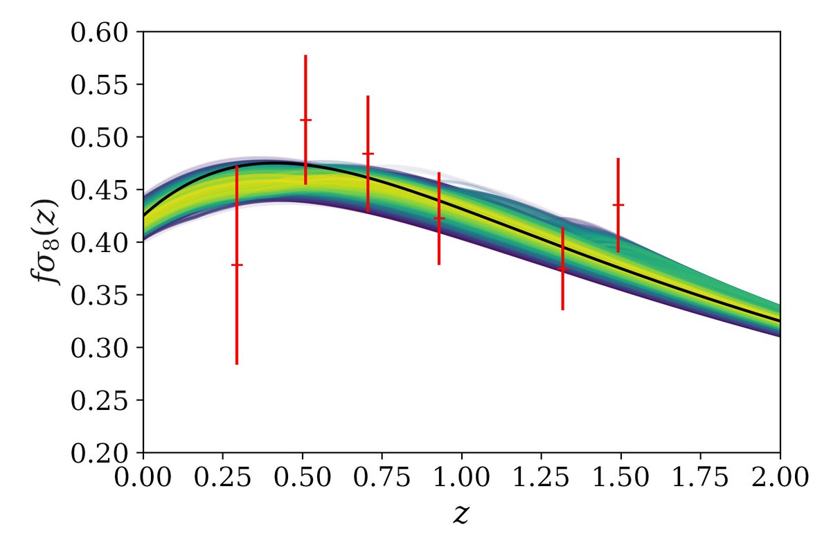
Paper Day! Here I’m testing the DESI preference for evolving DE using a different parametrization, Transitional Dark Energy. The goal of the paper is an in-depth investigation into why the DESI data prefer evolving DE over LCDM
1
2
5
@RyanEKeeley
Ryan Keeley
1 year
Big thanks to collaborators @kevaba , Manoj, and Arman
0
0
0
@RyanEKeeley
Ryan Keeley
1 year
So if the DESI preference for evolving DE is robust, further evidence for it could come in the form of a modified growth history, which would show up as a flattening of fsigma8(z)
1
0
1
@RyanEKeeley
Ryan Keeley
1 year
Another interesting part of the paper is that we calculated the growth functions that correspond to these DE models. Even within GR, changing the Universe’s expansion history will change the growth history.
1
0
0
@RyanEKeeley
Ryan Keeley
1 year
We don’t really need the contour as a function of parameters but only need the chi^2 value that corresponds to that contour. So that’s what we calculate here, the chi^2 value where 95% of the chi^2 values are better than it.
1
0
0
@RyanEKeeley
Ryan Keeley
1 year
One of the interesting things I did with this paper is a new way to calculate significance. Instead of claculating significance with corner plots, what one really wants instead is the contour that contains 95% of the volume of the posterior in the full N-D parameter space.
1
0
0
@RyanEKeeley
Ryan Keeley
1 year
Rather than plot the posterior in terms of parameters, I like plotting the posterior in terms of functions, to really see what the model is doing and what’s really going on with the data.
1
0
0
@RyanEKeeley
Ryan Keeley
1 year
The TDE parametrization of the DE EOS allows for a sharp transition compared to CPL where dw/da is constant. The DESI(+SN+CMB) dataset still prefers an evolving DE over LCDM.
1
0
0
@RyanEKeeley
Ryan Keeley
1 year
Paper Day! Here I’m testing the DESI preference for evolving DE using a different parametrization, Transitional Dark Energy. The goal of the paper is an in-depth investigation into why the DESI data prefer evolving DE over LCDM
1
2
5
@astrogrant
Grant Tremblay
2 years
Yes DS9 updates will absolutely end.
4
17
42
@annanierenberg
Anna M Nierenberg
2 years
Our @NASAWebb program data is picture of the month 🤩. Besides being beautiful, gravitational lenses let us see dark matter halos. The 9 lenses measured by @RyanEKeeley gave us one strongest warm dark matter constraints to date. Stay tuned for results from the full sample!
@ESA_Webb
ESA Webb Telescope
2 years
🆕 Webb brings you a jewelled ring! Our ESA/Webb Picture of the Month features the gravitational lensing of a quasar! 🔍 Read more: https://t.co/UtOiiVPIuM or 🧵👇
1
4
20
@jbprime
James Bullock
2 years
Posterior of mass down to which dark matter halos must exist in new lensing results by @RyanEKeeley @annanierenberg et al. Getting VERY interesting. https://t.co/pxVuTkJzZj
3
3
29
@RyanEKeeley
Ryan Keeley
2 years
From this anomalous flux, we can characterize the population of low-mass dark matter halos which are determined by the microphysics of the dark matter particle and collect more clues to figure out what dark matter really is
0
0
1
@RyanEKeeley
Ryan Keeley
2 years
We measure the flux ratios of strongly lensed quasars and look for any anomalous flux, flux that would be caused by magnification from low-mass dark matter halos.
1
0
1
@RyanEKeeley
Ryan Keeley
2 years
This is also the most observational work I’ve done where I’m publishing data from the JWST, as well as constraints on DM physics from data; really doing that full-stack cosmology as I like to stay
1
1
2
@RyanEKeeley
Ryan Keeley
2 years
Here, we calculate constraints on the free streaming length of dark matter (aka the mass of a thermally produced DM particle) and find dark matter must be heavier than 6.1 keV
1
0
1
@RyanEKeeley
Ryan Keeley
2 years
This is probably the biggest work I’ve done and thanks to all my collaborators for all their efforts! @annanierenberg @MrGilmanDa @sibirrer @maverick_sh_oh @kevaba @alexkusenko @SebHoenig @RisaWechsler (the ones I know on twitter)
1
0
3
@annanierenberg
Anna M Nierenberg
2 years
Big congratulations to @maverick_sh_oh for this exciting paper: https://t.co/vQKgSb2Bh2 When we measure dark matter with, we need to compare with a model prediction. Maverick has shown that with HST quality data, we can dramatically improve the model precision.
Tweet card summary image
arxiv.org
Flux-ratio anomalies in quadruply imaged quasars are sensitive to the imprint of low-mass dark-matter haloes. The reliability of detection depends on the robustness of the smooth mass model....
3
4
16