Raimundo Rodriguez Profile
Raimundo Rodriguez

@R_X_Rodriguez

Followers
28
Following
0
Media
5
Statuses
15

PhD student in neuroscience @Yale

Joined October 2021
Don't wanna be here? Send us removal request.
@R_X_Rodriguez
Raimundo Rodriguez
21 days
There is still much to learn about caricatured FC, but we conclude that dominant task-like patterns are not the only useful signals. What the caricatured data represents and how it can be optimized for downstream applications are exciting questions ready for future exploration.
1
0
0
@R_X_Rodriguez
Raimundo Rodriguez
21 days
We then created predictive models using the caricatured connectomes and benchmarked the performance versus standard model accuracy. Caricatured models predicted most behaviors tested and sometimes outperformed standard models, suggesting a useful and unique source of information.
1
0
0
@R_X_Rodriguez
Raimundo Rodriguez
21 days
We first ensured the method truly caricatures the data according to the definition proposed by Finn et al., 2017 (NeuroImage). By demonstrating decreased between-individual similarity and increased fingerprinting accuracy, we showed that the caricaturing definition is satisfied.
1
0
0
@R_X_Rodriguez
Raimundo Rodriguez
21 days
Resting-state FC has long been a source of debate. Recent evidence suggests that task-like patterns dominate its signal. To study less dominant components, we introduced a caricaturing method to project the data to a subspace orthogonal to these patterns. https://t.co/B5S7xxReOk
1
3
2
@RosenblattMatt
Matt Rosenblatt
3 years
Use machine learning in🧠research or for other high-dimensional data? Curious about its robustness to data manipulations ("trustworthiness")? Check out our new article in @Patterns_CP and thread ⬇️
Tweet card summary image
cell.com
Imperceptible data manipulations can drastically increase or decrease performance in machine learning models that use high-dimensional neuroimaging data. These manipulations could achieve nearly any...
4
58
149
@RongtaoJiang
Rongtao Jiang
3 years
Curious about how frailty may be an indicator of other health outcomes? We present new work that suggests a link between frailty and >300 health-related outcomes, especially those relating to mental health, which may be mediated by brain structure. Now out in @LancetDigitalH
2
18
24
@R_X_Rodriguez
Raimundo Rodriguez
3 years
4/5 Here, we introduced a statistical application of the edge-centric framework popularized by @joshfasky, @richardfbetzel, and others. We still have much to learn about edge-centric networks, but as edge-centric research progresses, we anticipate power will continue to increase.
1
0
0
@R_X_Rodriguez
Raimundo Rodriguez
3 years
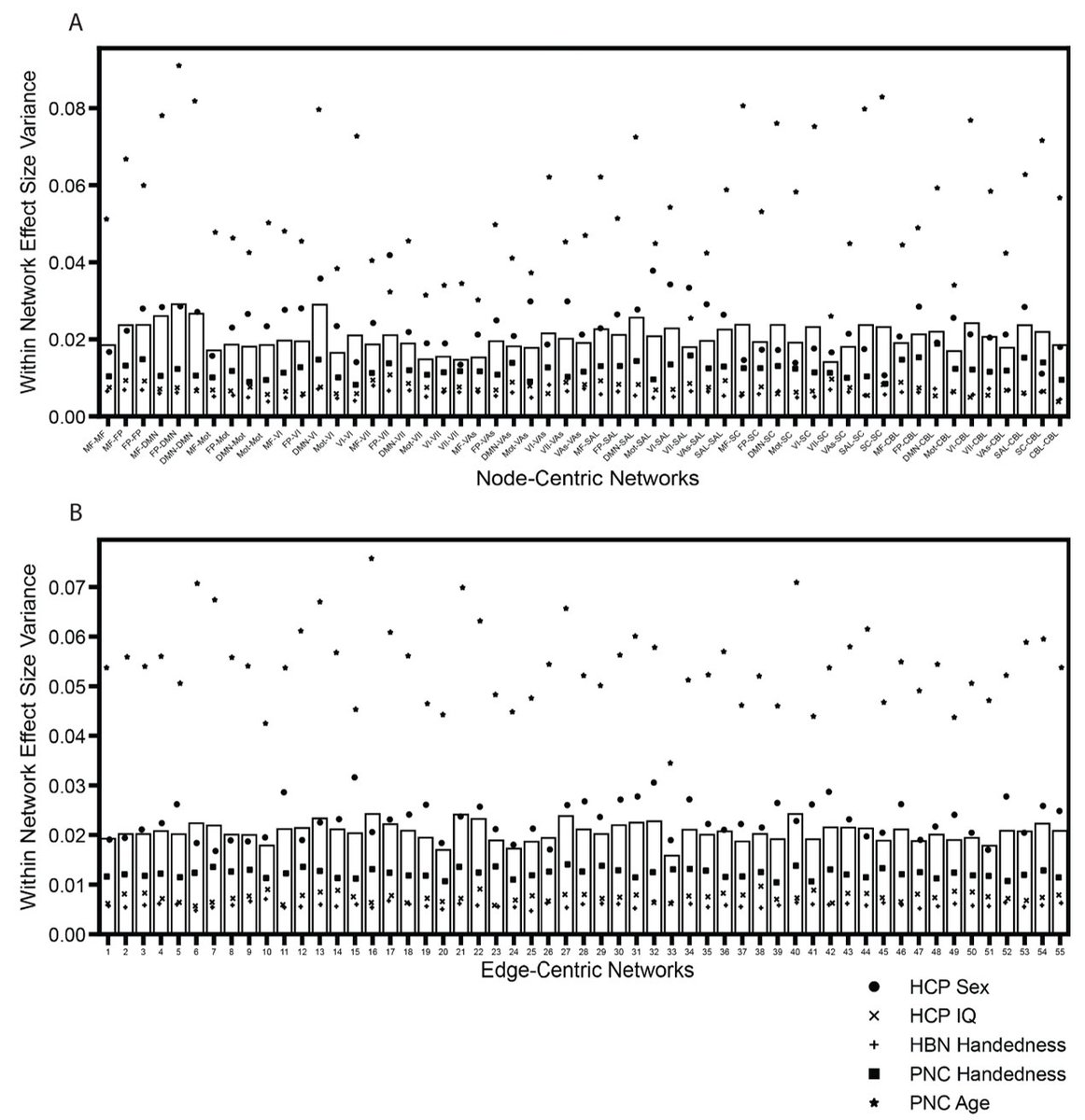
3/5 So is edge-centric *better* than node-centric? It’s relative: Node-centric networks had lower mean within-network effect size variance, but edge-centric networks varied less in this measure across networks implying they are more fair to the underlying effects.
1
0
0
@R_X_Rodriguez
Raimundo Rodriguez
3 years
2/5 Using edge-centric partitions in the network-level inferential procedure, we observed up to a ~3.5-fold average increase in power compared to the complementary node-centric approach. An even larger increase in power was seen compared to edge-level FDR correction and NBS.
1
0
0
@R_X_Rodriguez
Raimundo Rodriguez
3 years
1/5 Remember when @sNeuroble went Super Saiyan? https://t.co/oI0fLY1YED We made it edgier, addressing a question that arises from her cNBS work–how to pool edges? In our new work, we explore the use of edge-centric, rather than node-centric, networks. https://t.co/D5pQS5PV8L
@sNeuroble
Stephanie Noble (@sneuroble.bsky.social)
3 years
Do you use cluster-level inference to pinpoint effects? 🧠🎯 Are you concerned about power? 🔍 Then we have a simple message for you: Level Up 💪🏾 https://t.co/9xg2wHgjGd w/ @DScheinost @mandyfmejia @AndrewZalesky @PNASNews 1/6
1
9
10
@RosenblattMatt
Matt Rosenblatt
3 years
Very excited for this - thanks for the opportunity @riotscienceclub!
@riotscienceclub
RIOT Science Club
3 years
Super excited to welcome @DScheinost and @RosenblattMatt speaking (virtually) for RIOTS all the way from across the pond @Yale. Make sure not to miss it!
0
5
10
@RosenblattMatt
Matt Rosenblatt
3 years
Are you in a neuroscience-related field? We are seeking online survey participants for the study: “Opinions on self-citation rates in neuroscience research”. It will only take about 10 mins if you are interested in participating:
1
9
10