Ninon Mounier Profile
Ninon Mounier

@Nin0nM

Followers
190
Following
354
Media
4
Statuses
65

Postdoctoral Researcher in Statistical Genetics

University of Exeter, England
Joined September 2017
Don't wanna be here? Send us removal request.
@lcpilling
Luke Pilling
3 years
Multimorbidity is a common and complex clinical problem. At #ESHG2023? Come and speak to @Nin0nM and Beth about how we are using genetics to understand the mechanisms linking long term chronic conditions Amazing work by @GEMINIcollab led by @timfrayling @ExeterMed @eshgsociety
0
5
12
@lcpilling
Luke Pilling
3 years
🗣️11 talks and 12 posters by @ExeterMed colleagues at this weekend's @eshgsociety 🧬 meeting in Glasgow Very excited for the science and networking... less so the 7.5hr train! 🚆 #ESHG #ESHG23 #ESHG2023 #genetics #science #health @uniofexeHLS
1
8
21
@medrxivpreprint
medRxiv
3 years
MR-AHC: A fast, efficient and robust method for two-sample summary data Mendelian randomization based on agglomerative hierarchical clustering https://t.co/0Ne32tDC3o #medRxiv
0
1
0
@MultimorbCOP
Multimorbidity Statistical Community of Practice
3 years
🔊Next Multimorbidity Community of Practice is taking place taking place on Wednesday 22nd February 2023 at 10am! 🎉 (1/4)
1
7
8
@Nin0nM
Ninon Mounier
3 years
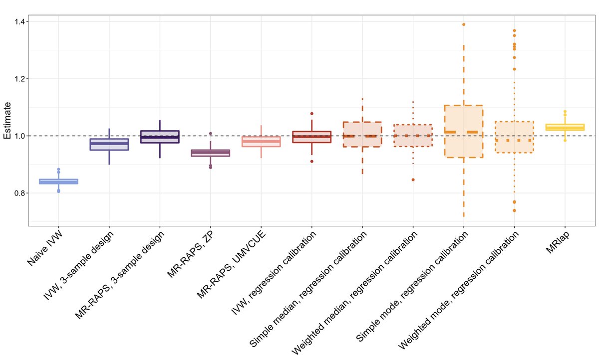
Our regression calibration approach has been implemented for several estimators in an R-Package: https://t.co/mRNyQcV0e7, and is compatible with the TwoSampleMR R-Package. If you have data at hand to perform three-sample MR analyses, don’t hesitate to try it! 11/
Tweet card summary image
github.com
Contribute to n-mounier/RegressionCalibration development by creating an account on GitHub.
1
0
6
@Nin0nM
Ninon Mounier
3 years
We further assessed the extent of the bias and the performance of the approaches using a same-trait analysis for BMI. Our results suggest that Winner's curse can lead to strong bias, important under-coverage, and could hinder the identification of modest causal effects. 10/
1
0
3
@Nin0nM
Ninon Mounier
3 years
By providing pleiotropy-robust causal effect estimates, our approach also outperformed all other approaches in presence of correlated pleiotropy. The underlying genetic architecture of the confounder strongly influences the performance of the pleiotropy-robust estimators. 9/
1
0
2
@Nin0nM
Ninon Mounier
3 years
The replication sample does not necessarily have to be large to provide a robust correction, and for realistically large sample sizes, the bias-variance trade-off is clearly in favour of using a three-sample design to account for Winner's curse and weak instrument bias. 8/
1
0
2
@Nin0nM
Ninon Mounier
3 years
In simulations, our regression calibration approach drastically reduced the bias in all designs, compared to a naïve MR implementation. We also showed that when ignored, Winner’s curse and weak instrument bias can have a very deleterious effect on the bias-variance trade-off. 7/
1
0
2
@Nin0nM
Ninon Mounier
3 years
It simultaneously corrects for Winner's curse and for weak instrument bias, and no assumption is needed to estimate the calibration parameter. It can be used with a wide range of existing MR methods, including pleiotropy-robust methods such as median- and mode-based ones. 6/
1
0
2
@Nin0nM
Ninon Mounier
3 years
Our regression calibration approach relies on the use of two independent samples for the exposure (discovery and replication) to estimate the amount of bias that is expected for a specific set of instruments, and re-calibrate the causal effect estimate accordingly. 5/
1
0
2
@Nin0nM
Ninon Mounier
3 years
@MRC_BSU @zkutalik @dbc_unil @UoL_Health_Sci @jack_bowdenjack @Exeter_Diabetes In this pre-print, we compare the performance of current approaches to deal with Winner's curse and/or weak instruments, using two- and three-sample designs and introduce a novel approach based on the technique of regression calibration to de-bias the causal effect estimate. 4/
1
1
2
@Nin0nM
Ninon Mounier
3 years
@MRC_BSU @zkutalik @dbc_unil @UoL_Health_Sci @jack_bowdenjack @Exeter_Diabetes The selection process used to identify instruments in MR analyses induces Winner's curse, but this selection step is key to guarantee that the SNPs used are strong instruments and alleviate weak instrument bias, leading to a no-win paradox. So, what can we do? 3/
1
0
1
@Nin0nM
Ninon Mounier
3 years
I would like to start by thanking the people who contributed to this work: David Robertson from @MRC_BSU, @zkutalik from @dbc_unil, Frank Dudbridge from @UoL_Health_Sci and @jack_bowdenjack from @Exeter_Diabetes 2/
1
0
3
@Nin0nM
Ninon Mounier
3 years
Another year, another paper about Winner's curse and weak instrument bias in MR analyses: "Incorporating discovery and replication GWAS into summary data Mendelian randomization studies: A review of current methods and a simple, general and powerful alternative” 1/
@biorxiv_genetic
bioRxiv Genetics
3 years
Incorporating discovery and replication GWAS into summary data Mendelian randomization studies: A review of current methods and a ... https://t.co/1QmkN9n1yN #biorxiv_genetic
2
11
48
@jack_bowdenjack
Jack Bowden
3 years
Exciting news! We have been awarded an @MRC Better Methods Better Research grant to develop the The Triangulation WIthin a STudy (TWIST) framework for causal inference within pharmacogenetic research
4
11
85
@zkutalik
Zoltán Kutalik
3 years
Post-doc position open in my group. Are you a curious, motivated scientist with good stats background? Would you like to develop creative causal inference methods next to Lake Geneva and surrounded by these mountains? Apply by 30 September! More details: https://t.co/jRNoiEklSd
0
57
117
@ElePorcu
Eleonora Porcu
4 years
🔔New pre-print out!!! With @CAuwerx @smarie_smarie Alexandre Reymond and @zkutalik we combined eQTL, mQTL and GWAS data in a multi-omics Mendelian Randomization approach to identify metabolites mediating transcript-trait associations. https://t.co/1L5f7INDuS
1
19
71
@ruthcbowyer
Ruth Bowyer
4 years
Looking forward to hearing @Nin0nM of @UniofExeter & part of the GEMINI project, presenting work on 'Going from genetic correlation to causation in multimorbidity research using Mendelian randomization' at our multimorbidity community of practice meeting tomorrow at 10am!
1
4
5
@CAuwerx
Chiara Auwerx
4 years
Excited to have my 1st first author paper out in @AJHGNews! 🤩 We explored the role of individual #CNVs and their burden in complex traits using @uk_biobank and @ESTbiobank data. Summary of findings 👉🏻 https://t.co/gCwzpCSmGn. Full text in #OpenAccess 👉🏻 https://t.co/EVuW9gYz8k.
3
28
148