MaterialChemist Profile Banner
Philip Drake Profile
Philip Drake

@MaterialChemist

Followers
10K
Following
11K
Media
628
Statuses
7K

Lecturer in Materials Chemistry Researching nanoparticles for cancer therapy and pathogen detection. Nanostructures, magnetic hyperthermia, SERS, biosensors.

University of Bradford
Joined March 2017
Don't wanna be here? Send us removal request.
@Science_TechTV
Science & Tech
2 days
Visual proof of the Pythagorean theorem. 📽️ H. Joachim Schlichting
11
220
1K
@slavov_n
Prof. Nikolai Slavov
3 days
How do plants orient towards light ? In the absence of obvious physical sensing organs like lenses, how do plants work out the precise direction from which light is coming ?
23
47
238
@abakcus
Abakcus
3 days
The periodic table of elements scaled to show the actual abundance of the elements on Earth by Prof. Wm. F. Sheehan in 1976.
45
605
3K
@NobelPrize
The Nobel Prize
5 days
Diabetes used to be a death sentence, but that changed in 1922 when a teenager’s miraculous recovery brought hope to millions. Leonard Thompson was a happy child who loved football and other sports. At the age of eleven, he was diagnosed with diabetes, a then incurable
19
176
603
@NobelPrize
The Nobel Prize
5 days
On this day 40 years ago, a group of scientists published a journal article only two pages long that revolutionised nanotechnology. They had stumbled upon a strange football-shaped molecule. Their discovery of C60 known as buckminsterfullerene or the “buckyball” scored them a
24
162
694
@ChemistryWorld
Chemistry World
8 days
AI has helped researchers design antibodies that bind to antigenic sites with atomic-level precision. https://t.co/qWxC8ZPm8f
Tweet card summary image
chemistryworld.com
Epitope-binding proteins designed from scratch by generative AI model
0
3
11
@ChemistryWorld
Chemistry World
9 days
A cheap universal antivenom could save thousands of lives every year. Llamas and alpacas are helping bring this dream closer with their unusual antibodies. https://t.co/c5CoVp6fbS
Tweet card summary image
chemistryworld.com
Novel nanobody mix protects against 17 African snake species
0
2
8
@SmartBiology3D
Smart Biology
9 days
Moving DNA along histones, one turn at a time! Learn more at https://t.co/rZjuFXgP1n #science #biology #education #cell #DNA #animation #Edtech #STEM
7
130
497
@NobelPrize
The Nobel Prize
8 days
Did you know that the discovery of the elements americium (95) and curium (96) were first announced on kids radio? On this day in 1945, #NobelPrize laureate Glenn Seaborg announced his discovery of elements 95 and 96 in response to a question on a Quiz Kids radio program.
25
86
437
@HistoryGirlBW
History Girl
8 days
One of the most intense and profound moments in history. 11am on the 11th November 1918 when the guns fell silent. This should be shown in every school.
249
5K
22K
@nz_molecules
Making_Molecules
8 days
With stunning originality & a certain amount of flare, I give you Nucleophilic Aromatic Substitution 3. A #ChemEd #Chemistry summary discussing substitution via aryne intermediates. It is pitched at #UG. More detail/references at https://t.co/j4FWCeQFFl Hope it is useful, enjoy
0
4
36
@ChemistryWorld
Chemistry World
8 days
Waste from beer brewing has been spun into a sustainable yarn for producing clothes. The protein-based thread is stronger than wool, and its inventors are already scaling up to produce tonnes of the yarn before the end of the year. https://t.co/foyTeEo8oV
Tweet card summary image
chemistryworld.com
Brewery waste can be turned into a cheap, environmentally-friendly textile
0
9
17
@MaterialChemist
Philip Drake
8 days
my last online talk at Universitas Airlangga. Lots of questions and discussions at the end. Its been fun to chat about nanomedicine with students across the world! Thanks for the opportunity! DM me if you want me to deliver these lectures anywhere anytime (within reason) 😁
0
1
2
@ChemistryWorld
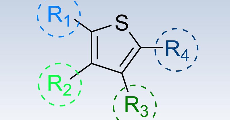
Chemistry World
9 days
Arylating at every position on a thiophene ring has now been made easier with a modular synthetic strategy. https://t.co/fPF2JJG6Ht
Tweet card summary image
chemistryworld.com
Approach holds potential for creating new drugs and unique optoelectronic materials
0
5
27
@ScienceMagazine
Science Magazine
10 days
From carbon dioxide to starch—no plants required. In Science, researchers developed a cell-free method of synthesizing starch from CO2 and hydrogen using a combination of chemical catalysts and a carefully selected set of enzymes. Learn more: https://t.co/VAZOIozsqk
23
116
471
@nz_molecules
Making_Molecules
15 days
Here is the second #ChemEd #Chemistry summary on nucleophilic aromatic substitution. This time it covers the formation & use of diazonium salts. The substitution mechanism is either ionic or radical depending on the nucleophile. Hope this is useful. Enjoy
0
14
46
@Rainmaker1973
Massimo
19 days
Math at Halloween.
32
320
3K
@ChemistryWorld
Chemistry World
19 days
Lithium-ion batteries are an important part of the mix to reduce global carbon emissions. But the emissions produced by making them still needs to be addressed. https://t.co/siI5KuXDK4
Tweet card summary image
chemistryworld.com
Emissions could be cut a third by 2060
0
4
9
@cenmag
C&EN (Chemical & Engineering News)
19 days
The chemistry of candy corn: This edition of #PeriodicGraphics explores the colorful chemistry behind this classic #Halloween candy. https://t.co/eDGETUalHa
0
4
10
@MaterialChemist
Philip Drake
19 days
Happy Halloween 🎃 A perfect song for tonight. When the Night Wind Howls From Ruddigore By Gilbert and Sullivan
0
0
0