
LetPub
@LetPub
Followers
486
Following
2K
Media
1K
Statuses
2K
Research communication resources & insights for PhD researchers & STEM journal editors https://t.co/Yjv8CC1ESu & https://t.co/cEunh3OpQn
Boston, MA
Joined October 2017
Transform your draft into a clear, confident response. We help you communicate your revisions effectively and professionally. #responseletter #reviewer2
1
0
0
Recently published article in the @jbiolchem "A Farnesoid X Receptor T296I Variant Disrupts Ligand-induced FXR Activation and thus Bile Acid Transport in Progressive Familial Intrahepatic Cholestasis"by Behrendt et al. @ASBMB
https://t.co/ff1YQdMkDa
0
3
6
Recently published in @molcellprot “Proteomic analysis of human topoisomerases reveals their distinct and diverse cellular functions” by Zhang et al. https://t.co/DBntjgjtkd
@ASBMB
0
3
4
Looking to make your research stand out? LetPub’s Scientific Videos service delivers professional, animated content designed for maximum impact. Whether you need a concise summary or deep-dive visual storytelling, we’ve got you covered: https://t.co/jnTkv4FaDV
0
0
0
Recently published in @AppEnvMicro “Characterization of the bacterial and fungal diversity in habitats of Corsica Island” by Aghzaf et al. https://t.co/rmrR0zOzfg
@UnivCorse
0
1
1
We offer Data Analysis support to ensure the rigor of your research with expert statistical analysis, with statistical testing that conforms to your study design, and clear tables and figures in your deliverables: https://t.co/68RBXansky
0
0
0
According to a paper published in @EHPonline, one of the major reasons papers are rejected is due to poor quality of data.
1
0
0
Latest publication in Microbiology journal “Emergence of clade 3 emm89 group A Streptococcus in Queensland, Australia” by Graham et al. https://t.co/8S5luJmGlG
@AmyVJennison @MicrobioSoc
microbiologyresearch.org
0
2
5
🔬💡 Tired of second-guessing your solution prep? Try our Lab Solution Calculator! Get accurate results for dilution, reconstitution, and molarity. Try it here: https://t.co/jm2Rq6bbTN
0
0
0
Latest publication in @J_A_C_S “How Electrolyte pH Affects the Oxygen Reduction Reaction” by @bender_science et al. https://t.co/oJnzgSquIa
@JoaquinResasco @DeliaMilliron
0
3
8
Selecting the right display items—figures, tables, and charts—is key for effective research communication in peer-reviewed manuscripts. These visuals clarify complex data and highlight key results: https://t.co/LMa1IqUDfI
0
0
0
Have LetPub maximize your #publication chances! Our editorial team can benefit authors, reviewers, and journal editors by improving the language and scientific quality of the #manuscript. https://t.co/CCc8F5n40k
0
0
0
Embracing AI as a supportive tool, not a replacement! While @YoungShull was drafting his grant on cellular stress responses, AI helped uncover data connections and themes in existing research. It's all about enhancing the thought process: https://t.co/NV5l1TCH0C
@ASBMB
asbmb.org
Associate professor shares how generative AI, used as a creative whiteboard, helps scientists refine ideas, structure complexity and sharpen clarity — transforming the messy process of discovery into...
0
4
6
💰 Starting at just $75 per figure ⏳Fast 3‑business‑day turnaround Start your project here: https://t.co/4Hg6yiNQ99
0
0
0
Preparing figures for journal submission can be tricky — from resolution and layout to journal-specific style guidelines. LetPub’s Figure Formatting Service transforms your existing figure files into publication-ready visuals.
1
0
0
Newly published in @AppEnvMicro “Photoinactivation of influenza viruses by modulated indoor daylight spectrum and intensity” by Zhao et al. https://t.co/y1DxHpnk7m
@p_macnaughton
0
1
2
Our Journal Recommendation Service is designed specifically for researchers like you. With our extensive database and expert insights, we can guide you to the most suitable journals for your work, ensuring your research reaches the right audience. https://t.co/hM0bmr3PmU
0
0
0
🌟Struggling to find the right journal for your research? LetPub is here to help! 🌟
1
0
0
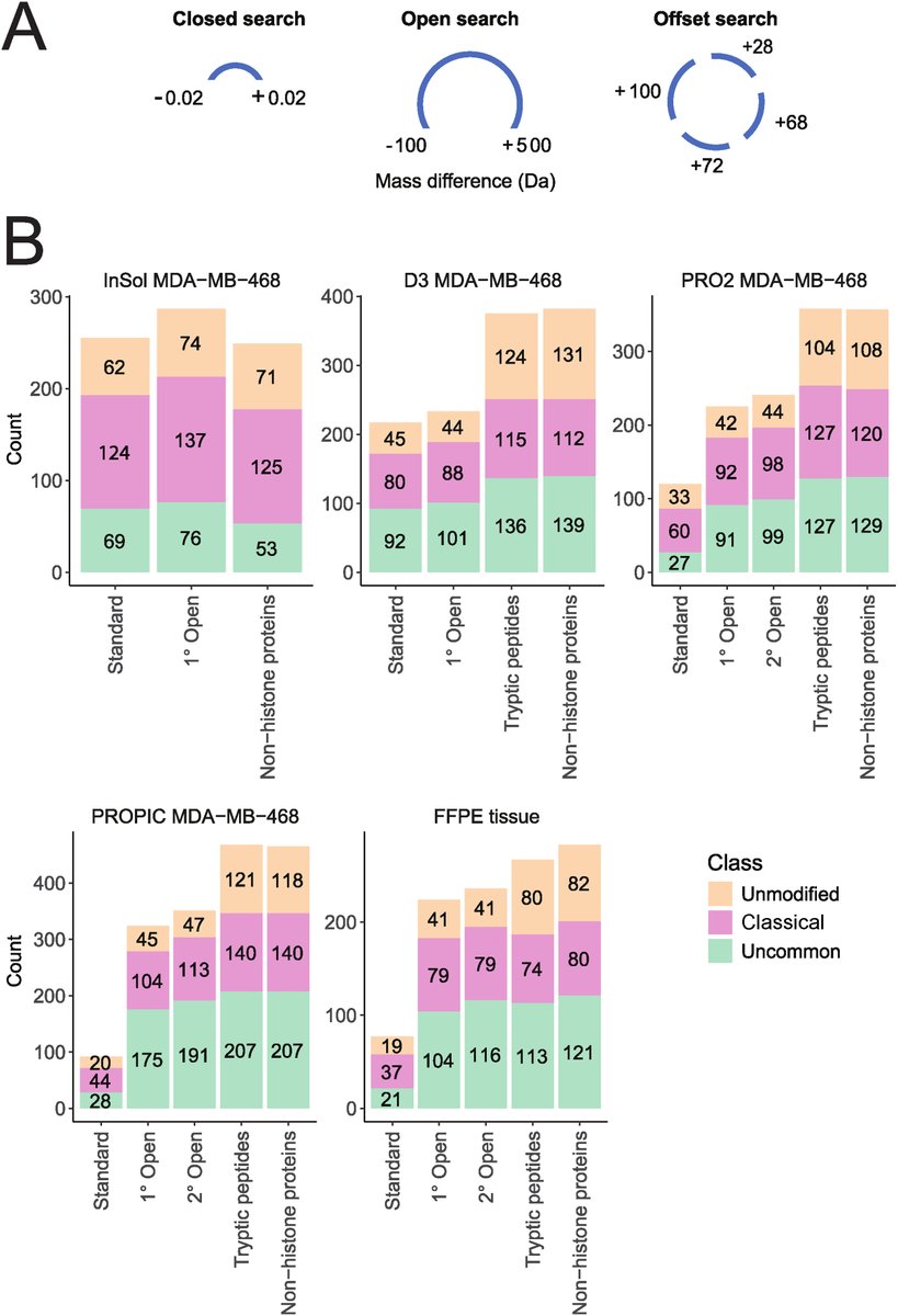
Newly published in @molcellprot “Breaking Boundaries in Histone Modification MS-based Detection: A Tailored Search Strategy for Unrestricted identification of novel epigenetic marks” by Vai et al. https://t.co/KhJ8HnSVee
@ASBMB @nesvilab
0
1
1