JohnCuencaMD Profile Banner
John A. Cuenca, MD Profile
John A. Cuenca, MD

@JohnCuencaMD

Followers
720
Following
2K
Media
65
Statuses
494

🇪🇨 Internal Medicine PGY-3 @TigmerSA_IntMed @UnivHealthSA| PulmCrit🫁 enthusiast| Former researcher @MDAndersonNews & @ONCCCRNET

San Antonio, TX
Joined May 2019
Don't wanna be here? Send us removal request.
@SheilaMyatra
Sheila Myatra
29 days
Positive communication in ICU reduces burnout and enhances workplace culture among staff. Read the HELLO trial, just published in ICM https://t.co/8wNkY9jyX2 @ElieAzoulay5
2
15
55
@NEJM
NEJM
1 month
Original Article: A Pragmatic Trial of Glucocorticoids for Community-Acquired Pneumonia https://t.co/WEQvqhbqKY Editorial: Glucocorticoids for Pneumonia in Africa — Old Therapy, New Context https://t.co/6HbKy8HGeF #LIVES2025
3
14
56
@JAMA_current
JAMA
1 month
The Sequential Organ Failure Assessment (SOFA) score is the most widely used tool for evaluating organ dysfunction. This week, JAMA published the SOFA-2 score, a data-driven update that incorporates current organ support therapies and introduces new scoring thresholds.
3
130
336
@ross_prager
Ross Prager
1 month
(1/x) Andromeda-Shock 2 was just published in JAMA and is the most important septic shock trial in the past DECADE. They found that phenotyped resuscitation improves the composite outcome of mortality, vital support, and hospital LOS. Here's how you can apply this protocol to
17
278
674
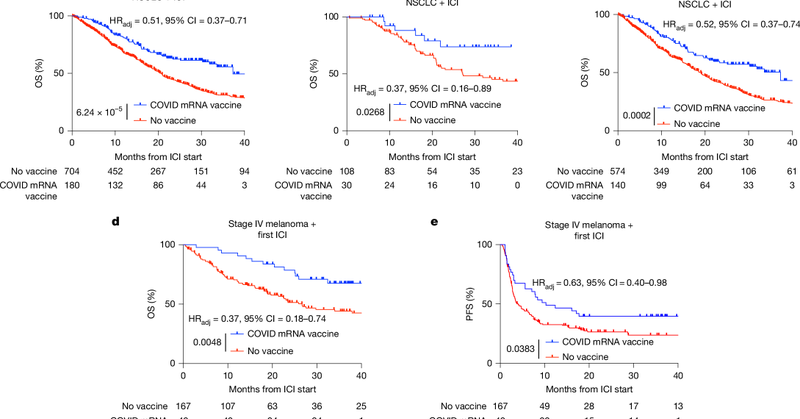
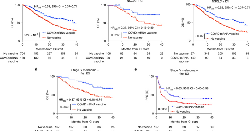
@adam_grippin
Adam Grippin
1 month
🚨Our new paper is out today in Nature! We show that SARS-CoV-2 mRNA vaccines can sensitize tumors to immune checkpoint blockade (ICI) — revealing that clinically available RNA vaccines may act as potent immune modulators.
Tweet card summary image
nature.com
Nature - mRNA vaccines targeting SARS-CoV-2 also sensitize tumours to immune checkpoint inhibitors.
28
70
212
@Nature
nature
1 month
Nature research paper: SARS-CoV-2 mRNA vaccines sensitize tumours to immune checkpoint blockade https://t.co/AFQZS85y6f
Tweet card summary image
nature.com
Nature - mRNA vaccines targeting SARS-CoV-2 also sensitize tumours to immune checkpoint inhibitors.
15
125
418
@JohnCuencaMD
John A. Cuenca, MD
1 month
Very happy to reconnect with many friends and mentors. #CHEST2025 @accpchest
2
2
18
@JohnCuencaMD
John A. Cuenca, MD
1 month
Had a great time at #CHEST2025, tons of learning, inspiration, and fun! Grateful to @accpchest for an amazing meeting, and proud to represent @TigmerSA_IntMed with 3 posters this year.
0
3
28
@JohnCuencaMD
John A. Cuenca, MD
2 months
What a privilege to have @Askins_Razor from @CritCareTime present a fantastic talk for @TigmerSA_IntMed Grand Rounds! #MedEd #MedTwitter
0
2
5
@ONCCCRNET
ONCCC-R-NET
5 months
🚨Join us for the 3rd Virtual World Symposium of Oncologic Critical Care 🌏 Cutting-edge Science, Global collaboration, Expert insights on cancer & critical illness. 📆July 17-18! 🖥️ Virtual 🔗 REGISTER NOW: https://t.co/1yJuBdThAI
0
3
3
@JohnCuencaMD
John A. Cuenca, MD
5 months
🎤 Honored to speak at the Third World Symposium of Oncologic Critical Care hosted by @MDAndersonNews & @ONCCCRNET I’ll be presenting (in Spanish 🇪🇸) on immune checkpoint inhibitor-related respiratory failure, a growing challenge in #OncCrit. #PCCM #Sepsis #Immunotherapy
1
4
31
@JohnCuencaMD
John A. Cuenca, MD
6 months
That awesome moment when your mentee cites your work on her research. Proud of @paoyepezg growth and strong work in the oncologic critical care field. #ATS2025
0
2
23
@JohnCuencaMD
John A. Cuenca, MD
6 months
Grateful for the opportunity to present 2 cases at #ATS2025—both cancer patients with resp failure and bilateral infiltrates: ❗️PJP and rhino-orbital mucormycosis ❗️Antibody-drug conjugate pneumonitis Similar presentation, divergent etiologies. Much research still needed🔬
0
4
30
@JohnCuencaMD
John A. Cuenca, MD
8 months
We invite you to read our latest publication in @intensiva_med 📢 In this systematic review of septic shock RCTs, we found striking variability in how mortality timeframes are reported—making cross-trial comparisons challenging. 🔗 https://t.co/LF0MkQhggm #Sepsis #MedTwitter
1
4
11
@semicyuc
SEMICYUC
8 months
Últimos días para inscribirse en el Congreso Internacional de Oncología Crítica de la SEMICYUC. Te esperamos en Sevilla el 27 y 28 de marzo. Congreso presencial y online. Más info.: https://t.co/WEBotLDFKx #medicinaintensiva #intensivistas
0
2
2
@IM_Crit_
IMCrit
9 months
ICU #POCUS Secrets: It is nice to see POCUS becoming "mainstream" @JAMA_current just published an interesting piece about how FoCUS (focused cardiac US) can contribute information for rapid diagnosis & effective treatment of patients with sepsis & septic shock
4
51
249
@JAMA_current
JAMA
9 months
🧵 Among patients with moderate to severe ARDS, inhaled sedation with sevoflurane resulted in fewer ventilator-free days at day 28 and lower 90-day survival than sedation with propofol. https://t.co/YYP6wGnMfQ #ISICEM25
6
46
105
@TigmerSA_IntMed
TIGMER - San Antonio Internal Medicine Residency
9 months
Happy #ThankAResidentDay! 🎉 Today, we celebrate the hard work, dedication, and resilience of our incredible residents. A huge thank you to our continuity clinic team for the sweet surprise—your support means the world! 🍩💙 #MedEd
0
2
9
@TigmerSA_IntMed
TIGMER - San Antonio Internal Medicine Residency
11 months
🎄✨ Merry Christmas from all of us at TIGMER! 🎅🎁 We are grateful to our dedicated residents who have been on call this week, ensuring the best care for our patients. Your hard work and commitment embody the true spirit of the season. 🌟 Thank you for all that you do!
0
1
5
@IM_Crit_
IMCrit
1 year
ICU Stories: By now, you have probably read or heard about the recently published ADAPT-Sepsis RCT where the measurement of PCT (but not of CRP) was found to safely decrease antibiotic duration compared with standard care
4
94
459