
Jafar⚡️
@Jafar874
Followers
2K
Following
141K
Media
745
Statuses
10K
Geriatrics, Machine Learning, AI, Bitcoin, Pleb Rap. @IfGF_UUlm @Uni_Ulm
Germany
Joined May 2019
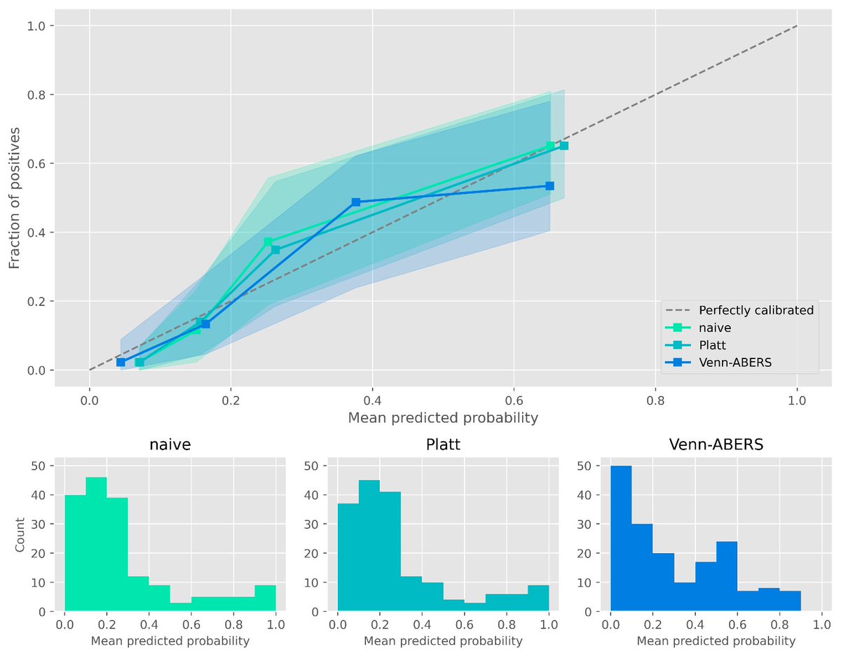
Excited to share our delirium prediction model + paper! 📊 ROC AUC: 0.86 📈 Brier Score: 0.14 🔧 Recalibrate to your data with conformal prediction SURGE‑ahead postoperative delirium prediction: external validation and open‑source library Links below ⬇️
🔥HOT!🔥 New prediction algorithm for post-operative delirium (POD) just dropped: - transparent - explainable - ethical - pragmatic - performant Read the paper at: https://t.co/lnVVJf2oFK Warm thanks to @Age_and_Ageing @AgeingRes @IfGF_UUlm @uni_ulm
3
4
35
Wer versucht, Sprache zu verbiegen, will eigentlich Menschen verbiegen.
Wenn politische Aktivisten am liebsten verbieten würden, einen Zwangsbeitrag „Zwangsbeitrag“ zu nennen, dann wirkt das auf den ersten Moment eher belustigend. Doch das Bestreben, Sprache vorzuschreiben, dient dazu, das klare Denken anzugreifen. Wer Begriffe im Sinne seiner
3
14
89
@Pleb_Style In case anybody wonders, why I have liquor in my office. https://t.co/21nDuHVO2r
xkcd.com
0
0
0
NerdQaxe++ Hydro from my brother @Pleb_Style 💪 Overclocked to 6TH/s 🤫 Runs quietly in my office ❄️ Liquid Cooling and some additional Liquor Cooling in the background for good measure.
4
1
13
"Weil wir dir nicht die Tür eintreten, wenn du es nicht nutzt und weil wir keinen Krieg führen um es zu schützen, steht nichts dahinter und darum hat Bitcoin auch keinen Wert." HFSP ihr Fiat-Maximalisten.
Christine @Lagarde, Chefin der Europäischen Zentralbank (@ecb) hat jüngst noch einmal auf die Frage eines Ökonomiestudenten hin bekräftigt, dass Bitcoin für sie keine digitale Form von Gold darstelle und keinen inneren Wert habe. 📉🇪🇺
53
52
742
China saved opensource LLMs between July 16th and today, these are the major releases: > DeepSeek V3.2 > GLM-4.6 (335B-A32B) > Qwen3-VL-30B-A3B (Instruct & Thinking) > Qwen3-VL-235B-A22B (Instruct & Thinking) > Qwen3-Next 80B-A3B (Instruct & Thinking) > GLM-4.5V (VLM,
95
349
3K
“This is an immensely exciting development for the Huntington’s field.” https://t.co/RWTVZ4Mnpd
@NewsfromScience
science.org
Small study suggests uniQure drug could be first successful treatment for devastating brain disorder
4
24
106
This project is the brainchild of @Magic_Inet_User , founder of @Pleb_Style , inspired by the encouragement of his brother @Jafar874 , who says: “Nothing is as fair as the gym, where effort equals results. Nothing, except Bitcoin.”
2
2
4
if you're a medical researcher using ai, a clinician who loves tech, building or want to build state-of-the-art ai for healthcare, have superpowers in healthcare or ai, believe in open-source, you're the future. let's connect!
28
15
126
FREIHEIT Das freie Wort, die Macht zum Nein und das Ja zum Leben. Diese Freiheit macht seit Menschheitsgeschichte einigen derartige Angst, dass sie die Freiheit radikal unterdrücken, Völker in den Untergang treiben und die Kämpfer der Freiheit töten. LANG LEBE DIE FREIHEIT!
62
245
2K
Banksy has been censored by the establishment. How they fail to see the irony in this is beyond parody.
2K
26K
167K
Banksy artwork that depicted a judge attacking a protester and silencing free speech that was covered up has now been removed... Proving Banksy was right. You may or may not agree with his msg, but it was a double-edged sword.
953
5K
23K
Ich empfehle Bitcoin für den Kriegsfall zu bunkern und sich den Seed zu merken, für die schnelle Ausreise.
Bundesernährungsminister fordert, Dosenravioli für den Kriegsfall zu bunkern https://t.co/Pe3icV2IXF
2
0
6
Thank this man for digital communication, data compression (ZIP, MP3), coding theory, and cryptography. Claude Shannon’s biggest scientific contribution was the creation of information theory in his 1948 paper “A Mathematical Theory of Communication.” He defined “information”
48
340
2K
"₿uy you fools" -Gandalf in @TheGuySwann epic LOTR bitcoin vs fiat meme. https://t.co/Gxt5lDLwub must watch!
40
112
827
“I prefer dangerous freedom over peaceful slavery” - Thomas Jefferson (probably a Bitcoiner)
1
8
64
Hot tub heated by Bitcoin miners from Sunbit at @btchelevent 🇫🇮🛁 Temperature: 40C, but feels like freedom
10
12
109