ISICEM
@ISICEM
Followers
11K
Following
1K
Media
1K
Statuses
2K
ISICEM is a non-profit organization, which was created in 1980 around one international symposium in intensive care & emergency medicine.
Brussels, Belgium
Joined April 2012
LAST DAY to submit your abstract for the 45th @ISICEM Don't miss the opportunity - go now on https://t.co/vLDKIACMXT
#research #ISICEM26 #Meducation
Innovative ideas. Unexpected insights. Research that matters. @ISICEM 2026 is your stage. ๐Submit your abstract โ deadline December 1. https://t.co/io0ItyX7Ez
#ISICEM26 #medicalresearch #MedEd #intensivecare #emergencymeeting #study
0
1
0
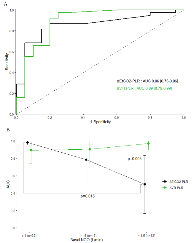
@ISICEM ๐๐ซ๐ข๐ญ๐ข๐๐๐ฅ ๐๐๐ซ๐ ๐๐ง๐ฉ๐ฎ๐ญ End-tidal #carbondioxide changes induced by passive leg raising can predict #fluid responsiveness in patients on veno-arterial extracorporeal membrane oxygenation: a prospective, interventional study ๐ https://t.co/q7JuLvyiuO For more
0
2
0
๐ข Submit Your Abstract to the 45th ISICEM. Your research can make a real impact in intensive care & emergency medicine. ๐ ๐ฅ This message from Prof. Xavier Monnetย was recorded last year, but it still captures perfectly why you should submit your abstract for the next ISICEM.
0
2
14
Itโs Friday โ and ISICEM Black Friday Deals are in full swing! Be among the first 100 and benefit from a 20% discount on 3 of our meetings: โจ 45th @ISICEM โ Brussels โจ @EuroNeuro 2026 โ Brussels โจ Challenges & Innovations in Emergency Medicine โ Rome โ ๏ธ Only a few places
0
0
0
Did you forget to register for the 27th Postgraduate Refresher Course โ#Cardiovascular and Respiratory Physiology Applied to ICMโ? No worries โ you can still join us and register on-site! ๐ Brussels ๐
December 2โ4, 2025 More info: ๐ https://t.co/WjW3bV1xBN
#ISICEMcourses
1
0
1
@ISICEM & @AOPhealth present: ๐๐๐ฌ๐จ๐ฉ๐ซ๐๐ฌ๐ฌ๐จ๐ซ ๐๐๐ง๐๐ ๐๐ฆ๐๐ง๐ญ ๐ข๐ง ๐๐๐ฉ๐ญ๐ข๐ ๐๐ก๐จ๐๐ค. Featuring experts G. Sache & A. van Zanten, and moderated by J-L Vincent โ a power-packed 1-hour session with insights & practical takeaways. โจ Free for all! ๐ 15 Dec โข
0
0
15
@ISICEM ๐๐ซ๐ข๐ญ๐ข๐๐๐ฅ ๐๐๐ซ๐ ๐๐ง๐ฉ๐ฎ๐ญ Evaluating the effect of heart and #respiratory rate measurement errors on the ability to predict the outcome of high flow nasal cannula therapy: a multi-centre study ๐ https://t.co/TYYFLY8yba
#ISICEMelearning #Meded #springernature
0
0
1
@ISICEM Critical Care Input ESICM guidelines on #circulatoryshock and #hemodynamic monitoring 2025 ๐ https://t.co/awOoaWvCWu
#ICUcommunity #MedEd #intensivecare
link.springer.com
Intensive Care Medicine - These European Society of Intensive Care Medicine (ESICM) guidelines provide recommendations for the diagnosis of shock and hemodynamic monitoring for adult critically ill...
0
0
3
@ISICEM ๐๐ง ๐๐จ๐ฎ๐ซ ๐๐จ๐ซ๐๐ฌ ๐๐๐ซ๐ข๐๐ฌ Nicolas from Brazil highlights the demo boxes as his favourite part of ISICEM. These small-group sessions provide an environment that makes it easier for participants to ask questions, share ideas, and truly connect with the
0
0
1
@ISICEM Black Friday Week ! The special Black Friday offer for three of our key scientific meetings is open! โจ 45th ISICEM โ Brussels โจ EuroNeuro 2026 โ Brussels โจ Challenges & Innovations in Emergency Medicine โ Rome This limited offer is available until Sunday, but only
0
0
3
Innovative ideas. Unexpected insights. Research that matters. @ISICEM 2026 is your stage. ๐Submit your abstract โ deadline December 1. https://t.co/io0ItyX7Ez
#ISICEM26 #medicalresearch #MedEd #intensivecare #emergencymeeting #study
0
3
5
What happens in Rome could help reshape #emergencymedicine! Four days where everything will be on the table: what still works, what doesn't, and what we should dare to try next. Challenges and Innovations in Emergency Medicine ๐
December 7โ10 ๐ Rome Come with your experience.
1
3
4
The #Echocardiography for #Hemodynamic Monitoring course has just come to an end. Thank you to all our participants, speakers, and sponsors for contributing to the success of this course. After 3 days of learning, exchanging, & hands-on practice, we hope you are leaving with
0
0
3
@ISICEM Critical Care Input Sodium #Bicarbonate for Severe Metabolic Acidemia and Acute Kidney Injury. The BICARICU-2 Randomized Clinical Trial https://t.co/Zz8H0pj45t
#ISICEMelearning @JAMANetworkOpen #MedEd #medicalresearch #kidneyinjury #nefrologie #bicarbonate
jamanetwork.com
This randomized clinical trial examines whether sodium bicarbonate infusion decreases day 90 all-cause mortality for patients with severe metabolic acidosis and moderate to severe acute kidney injury.
0
5
16
@ISICEM Critical Care Input Methylene Blue Administration in Septic Shock: A Retrospective Cohort Study ๐ https://t.co/eMYkbmHuEc
#ISICEMelearning #meded #SepticShock #methyleneblue #pubmed
2
5
19
@ISICEM Critical Care Input New persistent opioid use among #ICU survivors after discharge: incidence, predictors, and nationwide cohort analysis ๐ https://t.co/YLzoXbgwAd
#ISICEMelearning #Intensivecare @Crit_Care
0
0
0
In our @ISICEM series โ๐๐ง๐ ๐ช๐ฎ๐๐ฌ๐ญ๐ข๐จ๐ง, ๐๐ง๐ ๐๐ง๐ฌ๐ฐ๐๐ซโ, Prof. @DrAndreKalil provides his answer to the important and frequent concern about when #fever should be treated in the #ICU, and when not? Share your thoughts and experience in the comments. To learn more
0
2
3