HalaKerbage Profile Banner
Hala Kerbage Profile
Hala Kerbage

@HalaKerbage

Followers
165
Following
60
Media
67
Statuses
573

MD, PhD #ChildAdolescentPsychiatry #posttraumaticstress #posttraumaticgrowth #youthmentalhealth #CHUMontpellier

Joined December 2023
Don't wanna be here? Send us removal request.
@JAMAPsych
JAMA Psychiatry
9 days
Normative modeling of morphometric similarity networks in #ADHD identified three distinct biotypes with unique clinical-neural profiles, supporting more neurobiologically informed stratification for ADHD management. https://t.co/0GbFJ1n8fB
2
19
51
@JAMAPsych
JAMA Psychiatry
27 days
Neuropsychiatric disorders impose a substantial burden on individuals and societies worldwide. 📢 This Special Communications reflects the broad consensus of experts to advance the agenda for precision psychiatry. https://t.co/VykdMfL4Fg
3
24
65
@JAMAPsych
JAMA Psychiatry
27 days
Among individuals with #Schizophrenia and co-occurring #SubstanceUseDisorders, psychological and psychosocial interventions showed limited benefit for symptom reduction and no effect on substance use, except for nicotine. https://t.co/9BMKhrusWO
2
18
65
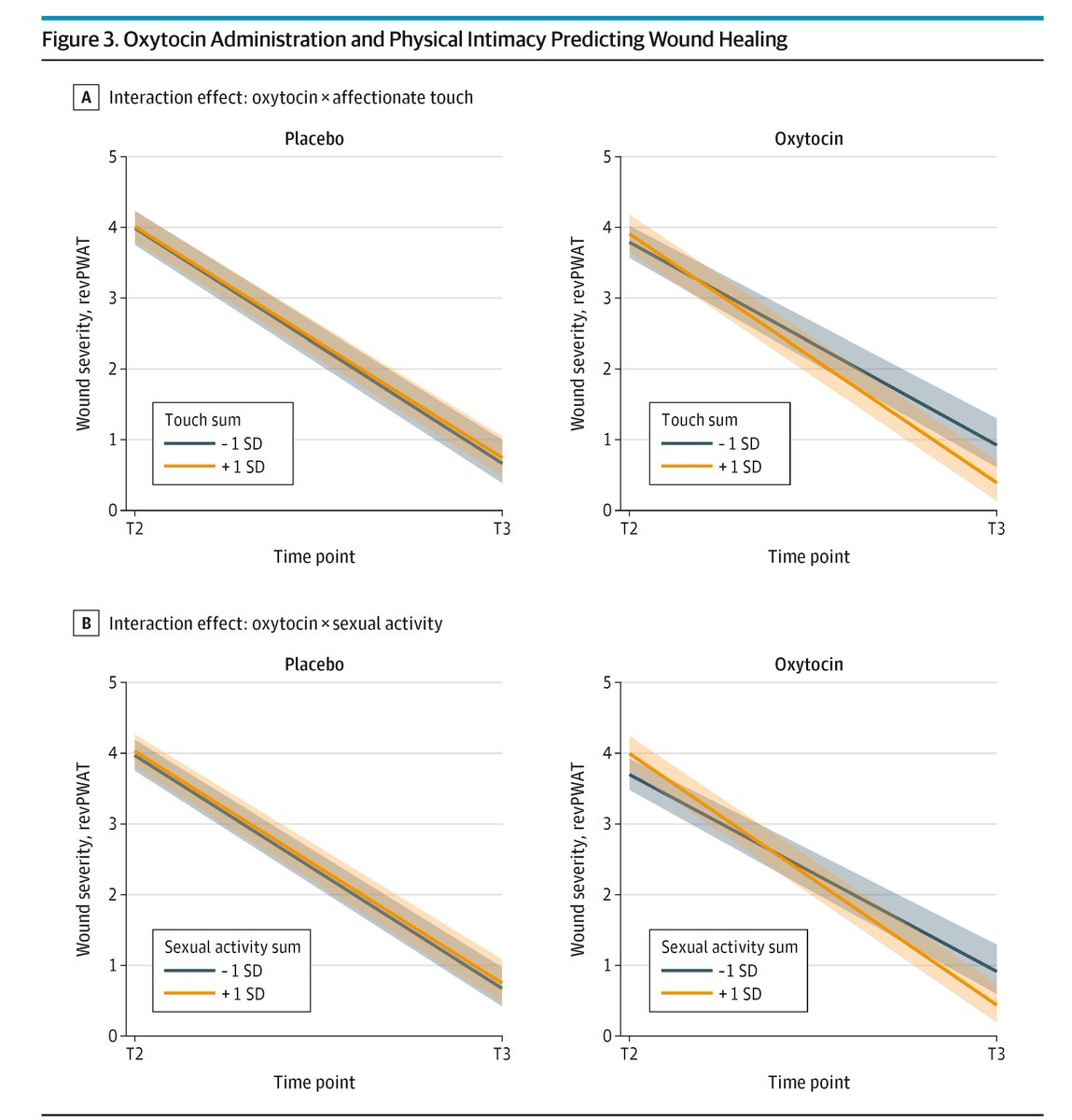
@JAMAPsych
JAMA Psychiatry
29 days
RCT: Daily oxytocin administration combined with positive physical intimacy was linked to improved wound healing and reduced cortisol; oxytocin alone or positive interactions without physical intimacy did not enhance healing.. https://t.co/TYEuZoqtoD
2
5
25
@ScienceMagazine
Science Magazine
1 month
"… I realized that an environment where people would feel free to share their thoughts with me and think creatively, regardless of the power hierarchy, was exactly what I wanted in my lab." #ScienceWorkingLife https://t.co/nXKEXTVlHa
6
55
237
@JAMAPediatrics
JAMA Pediatrics
1 month
Higher family connection in adolescence was associated with greater adult social connection, suggesting that safe, stable, nurturing relationships may reduce risk for loneliness. https://t.co/TM4TxeGm4R
0
5
8
@TheLancet
The Lancet
2 months
What will be the most pressing health challenge of 2026? A new Editorial discusses how conflict and armed violence are major determinants of global health, with far-reaching consequences that extend beyond battlefields: https://t.co/i79ATEFQ5Z
2
24
36
@TheLancet
The Lancet
2 months
@LancetCountdown Explore the full issue:
0
2
3
@TheLancet
The Lancet
2 months
NEW—Taking paracetamol during pregnancy does not increase risk of autism, ADHD, or intellectual disabilities, finds most rigorous synthesis of the current evidence to date. The research in context panel is provided below. Read the full paper: https://t.co/FZ1o5rOOjs
107
893
2K
@JAMAPsych
JAMA Psychiatry
2 months
Systematic review and meta-analysis: #PTSD, depressive, anxiety, and sleep disorders were associated with increased risk of #AcuteCoronarySyndrome, while bipolar and psychotic disorders were not significantly associated. https://t.co/VUoaTM9mT7
0
10
49
@JAMAPsych
JAMA Psychiatry
2 months
Chronic diseases were more strongly linked to suicide attempt, while severe conditions and psychiatric polygenic scores were more associated with suicide, indicating overlapping but distinct risk factors for attempt and death by suicide.
4
21
43
@JAMAPsych
JAMA Psychiatry
2 months
💬 Viewpoint: Generative #AI could transform mental health assessment by combining qualitative narratives with quantitative rigor; responsible development requires robust frameworks for validity, reliability, and fairness. https://t.co/iHXTIiPt0R
2
14
25
@JAMAPsych
JAMA Psychiatry
2 months
Adults exposed to sexual assault were at higher risk of developing functional somatic disorders, including single-organ and multiorgan subtypes—over five years, finds this cohort study. https://t.co/dT0Jxvw0Z7
3
20
55
@jayvanbavel
Jay Van Bavel, PhD
2 months
Does social media harm everyone? No. But it harms *most* adolescents, according to a new study. And not all platforms have harmful effects. A new analysis of 44,211 daily diaries from 479 adolescents over 100 days finds that the majority of adolescents (60%) experienced
40
198
815
@JAMAPsych
JAMA Psychiatry
2 months
💬 Viewpoint: Prolonged grief disorder may manifest differently in neurodivergent individuals, requiring clinicians to assess behavioral changes and loss of support rather than relying solely on typical diagnostic criteria. https://t.co/iR6FLDkci6
2
29
93
@JAMAPsych
JAMA Psychiatry
2 months
Among US #Veterans, higher cumulative burden of adverse social determinants of health was associated with greater risk of past-year suicidal ideation, suicide attempt, and future suicidal intent. https://t.co/PwrjjOg5LM
2
11
16
@TheLancet
The Lancet
2 months
👀 Among our most-read in 2025: A major meta-analysis investigating the effects of antidepressants on cardiometabolic and other physiological parameters. Find out more: https://t.co/s2Bv3lugDe
1
24
78
@NTFabiano
Nicholas Fabiano, MD
2 months
Perhaps because we are too focused on the brain. It's not all about brain changes & neurotransmitters. "Mental" health extends to the entire body.
23
70
523
@ScienceMagazine
Science Magazine
3 months
"Productivity, I’ve come to see, is not measured only by research papers and grants. It is also sustained by presence, rest, and the relationships that give meaning to the work." #ScienceWorkingLife https://t.co/wdvcDr1qMt
7
262
1K
@JAMAPsych
JAMA Psychiatry
4 months
Viewpoint: Clinical application of psychedelics in psychiatry should advance through empirical evaluation of biological, psychological, and contextual factors, emphasizing scientific rigor over uncritical idealism. https://t.co/kF2FOfhBFk
2
5
38