DevInteracts Profile Banner
Developmental Interactions Lab Profile
Developmental Interactions Lab

@DevInteracts

Followers
72
Following
2
Media
18
Statuses
55

Research on developmental interactions at Faculty of Veterinary Medicine, University of Helsinki, Finland

Helsinki
Joined December 2019
Don't wanna be here? Send us removal request.
@DevInteracts
Developmental Interactions Lab
3 years
Developmental Interactions Lab website: https://t.co/YN4mW7UGRK
0
0
1
@DevInteracts
Developmental Interactions Lab
5 months
6/ We are now studying the bacterial extracellular vesicle proteomes to learn more about their potential functions and to develop novel tools for targeted investigations. Stay tuned - preprint coming soon!
0
0
0
@DevInteracts
Developmental Interactions Lab
5 months
5/ Researchers at @UniOulu reported bacterial extracellular vesicles in the human amniotic fluid. This suggests that they may also stimulate the early development of the immune system. https://t.co/BpeIpc7H7L
Tweet card summary image
link.springer.com
Microbiome - Reports regarding the presence of bacteria in the fetal environment remain limited and controversial. Recently, extracellular vesicles secreted by the human gut microbiota have emerged...
1
0
0
@DevInteracts
Developmental Interactions Lab
5 months
4/ Extracellular vesicles from intestinal bacteria were recently shown to pass to the blood and prime systemic defense by stimulating innate immunity.
1
0
0
@DevInteracts
Developmental Interactions Lab
5 months
3/ In the intestine, commensal bacterial EVs are thought to modulate immunity and the intestinal barrier, boost digestion and help to control pathogens.
Tweet card summary image
isevjournals.onlinelibrary.wiley.com
The intestine is fundamental in controlling human health. Intestinal epithelial and immune cells are continuously exposed to millions of microbes that greatly impact on intestinal epithelial barrier...
1
0
0
@DevInteracts
Developmental Interactions Lab
5 months
2/ Bacteria use EVs to acquire nutrients, dispose of waste, communicate, and defend against other bacteria, viruses and antibiotics. EVs enable quantal secretion: delivery of bioactive compounds in high-concentration packages, protected by the membrane.
1
0
0
@DevInteracts
Developmental Interactions Lab
5 months
1/ Extracellular vesicles (EVs) are membrane particles released from most cell types, typically 50-200 nm in diameter. They contain proteins, nucleic acids and other cargo from the secreting cells. Gram-negative and gram-positive bacteria produce different kinds of EVs.
1
0
0
@DevInteracts
Developmental Interactions Lab
5 months
Talk about bacterial extracellular vesicles by @MikaelNiku at #MOVE2025. They are thought to mediate microbe-host interactions in the intestine and possibly beyond. We investigate the vesicle proteomes of the mammalian intestinal microbiota. 🧵
1
0
0
@DevInteracts
Developmental Interactions Lab
5 months
Presenting our research on the effects of gestational antibiotics on offspring microbiota, immune system and growth, and on bacterial extracellular vesicle proteomes at @iuis_online #IUIS2025!
0
0
1
@DevInteracts
Developmental Interactions Lab
1 year
Rose gave an excellent talk at the @BioCityTurku symposium "Unleashing the power of metabolism" #BCS2024!
0
0
0
@MetaStem_Center
MetaStem
2 years
Welcome to the Metabolism seminar next week Friday Dec 8th 9-11am in Viikki. Exciting talks on #lipidomics in human disease by @samrip lab and maternal #microbiome #metabolites in development by @MikaelNiku lab. ☕️🍪at 8:30 @LifeSciHelsinki @FIMM_UH @HiLIFE_helsinki @BIOTECH_UH
0
6
5
@DevInteracts
Developmental Interactions Lab
2 years
Exciting new research on prenatal host-microbe interactions from our colleagues in Oulu!
@MicrobiomeJ
Microbiome
2 years
Maternal microbiota communicates with the fetus through microbiota-derived extracellular vesicles https://t.co/kwGrxYZY39
0
0
0
@DevInteracts
Developmental Interactions Lab
2 years
Presenting our research at the meeting of the Finnish Society of Developmental Biology! Great event, great atmosphere.
0
2
8
@DevInteracts
Developmental Interactions Lab
2 years
Press release on our latest research: maternal microbiota and microbial metabolites can modulate fetal development
Tweet card summary image
helsinki.fi
In a Finnish study, significant differences in the gene activity of the foetal intestine, brain and placenta were identified, depending on the microbes in the mother’s body and the compounds produced...
0
0
0
@DevInteracts
Developmental Interactions Lab
2 years
0
0
0
@DevInteracts
Developmental Interactions Lab
2 years
🧵Thus: although the uterus is largely sterile, the maternal microbiota broadly modulates fetal gene activity and is likely important for the developing intestinal immune system and brain, and for pregnancy regulation. Microbial metabolites probably mediate many of these impacts.
1
0
1
@DevInteracts
Developmental Interactions Lab
2 years
🧵We observed a potential sex difference in the fetal sensitivity to the modulation by maternal microbiota: a larger number of genes was differentially expressed in male germ-free versus normal fetuses, compared to female germ-free versus normal fetuses.
1
0
0
@DevInteracts
Developmental Interactions Lab
2 years
🧵Fetal energy metabolism was also affected by the maternal microbial status (and/or the germ-free dam physiology). The most strongly downregulated gene in all the tissues from germ-free fetuses was Ide, coding for the insulin-degrading enzyme.
1
0
0
@DevInteracts
Developmental Interactions Lab
2 years
🧵Genes for translation and unfolded protein response were upregulated in the fetuses of germ-free dams. They were associated with the microbially modified tRNA nucleobase queuine — a striking example of our intimate coexistence with our microbiota!
link.springer.com
The EMBO Journal - Global protein translation as well as translation at the codon level can be regulated by tRNA modifications. In eukaryotes, levels of tRNA queuosinylation reflect the...
1
0
0
@DevInteracts
Developmental Interactions Lab
2 years
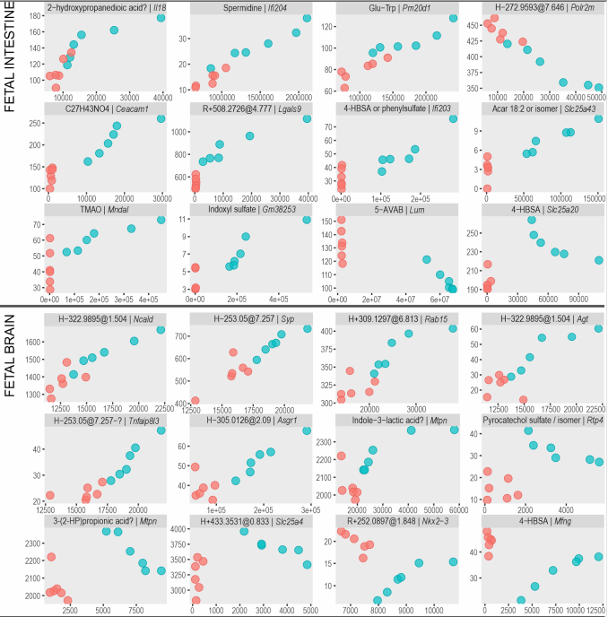
🧵The impacts of maternal microbiota on fetal gene expression were associated with microbially modulated metabolites: aryl sulfates, indoles & other AhR ligands, trimethylated compounds TMAO & 5-AVAB, dipeptides, fatty acid derivatives, and many currently unidentified compounds.
1
0
1