ACS_Spanish_Ch Profile Banner
ACS Spanish Chapter Profile
ACS Spanish Chapter

@ACS_Spanish_Ch

Followers
100
Following
124
Media
6
Statuses
80

Governor: Prof. L. Grande President: Prof. JM. Ramia @ramia34 Secretary: Dr. B. Ielpo @IelpoB

Spain
Joined August 2024
Don't wanna be here? Send us removal request.
@ACS_Spanish_Ch
ACS Spanish Chapter
22 days
Esta tarde a las 19:00h celebramos un webinar clave para investigadores: índices bibliométricos explicados (H-Index, impacto, citas, Altmetrics…). @AmCollSurgeons Ponente: Dr. @GianlucaPellino Moderador: Dr. Luis Grande 🔵 Webinar acreditado con créditos europeos 🔗 Enlace:
0
4
6
@ACS_Spanish_Ch
ACS Spanish Chapter
1 month
No os perdáis nuestra mesa en la RNC de la @aecirujanos: “En busca de un nuevo modelo para las guardias de Cirugía General” 🔹 ¿Cómo funcionan las guardias en otros países?Nuevas directrices europeas y aplicabilidad en España – @GianlucaPellino (Barcelona) 🔹 Efecto de las
lnkd.in
This link will take you to a page that’s not on LinkedIn
1
6
11
@ManuelPera11
Manuel Pera
2 months
El Dr. Miguel Pera elegido nuevo presidente de la @SCatCir . Un orgullo para todos los que hemos trabajado con el. La @SCatCir esta en buenas manos. @hospitalclinic @hospitaldelmar @aecirujanos @m_pera_roman
3
6
26
@Curro_Blanco
Curro Blanco
2 months
Honored and proud to have been inducted as a Fellow of the @AmCollSurgeons during the #ACSCC2025 in Chicago. Joining this distinguished community of surgeons represents a commitment to excellence, leadership, and advancing surgical care worldwide. Grateful for this recognition.
15
9
54
@juliomayol
Julio Mayol
2 months
Quantum computing for Surgeons @SEIQuirurgica @BJSAcademy #29SEIQ
0
3
9
@BalibreaJose
Jose M. Balibrea MD, PhD, FACS
7 months
Diferencias entre las esofaguectomías realizadas en Japón 🇯🇵 o Países Bajos 🇳🇱 ¿Mismos resultados en dos perfiles diferentes de pacientes? Recién publicado en @BJSurgery 📄 @juliomayol @SEIQuirurgica @EgarsotElisenda @MarcosBruna_ @aecirujanos
@BJSurgery
BJS
7 months
Oesophagectomy in the East versus the West: comparison of two national audit databases ➡️ https://t.co/ro6lAmr8kB The incidence of postoperative complications after oesophagectomy was nearly comparable between the Japanese and Dutch cohorts Some remarkable differences were
1
14
14
@BalibreaJose
Jose M. Balibrea MD, PhD, FACS
7 months
La cirugía mínimamente invasiva se justifica demostrando que el impacto sobre la respuesta inflamatoria sistémica es menor, la factibildad mayor y los resultados clínicos mejores. Este trabajo @BJSurgery nos indica que el abordaje robótico 🦾en las hernioplastias
@BJSurgery
BJS
7 months
Inflammatory response and short-term outcomes after laparoscopic versus robotic transabdominal preperitoneal inguinal hernia repair: randomized clinical trial (ROLAIS) ➡️ https://t.co/1MDPpxUDgQ This RCT compared robotic-assisted transabdominal preperitoneal (R-TAPP) and
0
7
24
@JAMASurgery
JAMA Surgery
8 months
This Guide to Statistics and Methods outlines essential elements of remote monitoring for surgical patients. https://t.co/QjBu15FhGL @laleh_melstrom
0
3
10
@AnnalsofSurgery
Annals of Surgery
8 months
REDSOC is the largest multinational, prospective observational multicenter study evaluating blunt solid organ injuries that warrant repeat imaging to identify treatable complications, now being presented at ASA's Annual Meeting by @LGHealth's Dr. Lindsey Perea #AmerSurg25
2
13
40
@SWexner
Steven D Wexner MD, PhD
8 months
Large language models as clinical decision support tools: A call for careful implementation in the care of patients with pancreatic cancer https://t.co/FqB2Hgzwex thank you as always @SyedAAhmad5 for your outstanding insights in @SurgJournal
2
9
16
@ACS_Spanish_Ch
ACS Spanish Chapter
8 months
0
0
0
@ACS_Spanish_Ch
ACS Spanish Chapter
8 months
¿Te gustaría tener una carrera académica como cirujan@? Hemos organizado este webinar para el próximo 🗓️ 29 de abril a las 19h en el que te explicaremos las claves para obtener las acreditaciones a los diferentes puestos docentes. ¡Os esperamos! Link ⬇️ @aecirujanos @IelpoB
1
10
19
@acsJACS
Journal of the American College of Surgeons (JACS)
8 months
Operative reports created by AI achieved higher accuracy than those written by surgeons. https://t.co/FzBZE1WGGu
0
7
16
@RCSnews
The Royal College of Surgeons of England
8 months
Disruptive behaviour in surgical teams is unacceptable—it puts patients at risk and harms colleagues. It’s time to act. Our guidance will help you identify, prevent and address these behaviours in the workplace. Learn more: https://t.co/SDCCeT8tUA
0
23
51
@juliomayol
Julio Mayol
8 months
La mayor inequidad surge, posiblemente, de la aplicación de terapias inútiles a quien no lo necesita.
5
11
22
@ACS_Spanish_Ch
ACS Spanish Chapter
9 months
Os esperamos mañana día 12 en nuestro webinar sobre el estado actual y futuro del modelo sanitario español! @IelpoB @sanidadgob #SoMe4Surgery
0
4
9
@BalibreaJose
Jose M. Balibrea MD, PhD, FACS
11 months
¡No os perdáis el próximo webinar del Capítulo Español del American College of Surgeons! ¿Somos conscientes de los costes en cirugía? 💶 @ACS_Spanish_Ch @IelpoB @ramia34 @RNCsantander https://t.co/qsrA3kVRN5
0
9
17
@ACS_Spanish_Ch
ACS Spanish Chapter
11 months
We are pleased to announce the appointment of Dr. Dieter Morales as the new President of the @AmCollSurgeons Spanish Chapter @RNCsantander @BalibreaJose @IelpoB @aecirujanos
@RNCsantander
Dieter Morales #yosoydelclinico
11 months
Very proud as surgeon ⁦@HUVV_SAS⁩ my appointment as new President of ⁦@ACS_Spanish_Ch⁩ ⁦@AmCollSurgeons⁩ ⁦@aecirujanos⁩ ⁦@asacirujanos⁩ ⁦⁦@BalibreaJose@MedicinaUMA⁩ ⁦@gerenteclinico⁩ ⁦@olgarguerrero70⁩ ⁦@teolopezuma
0
11
27
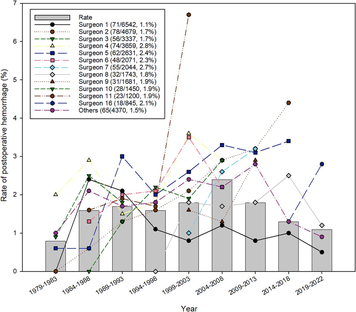
@SWexner
Steven D Wexner MD, PhD
11 months
A large single-center analysis of postoperative hemorrhage in more than 43,000 thyroid operations: The relevance of intraoperative systolic blood pressure, the individual surgeon, and surgeon-to-patient gender (in-)congruence https://t.co/MfeFPjpKzS Open access @SurgJournal
0
7
19
@aecirujanos
aecirujanos
1 year
Nuestra más sincera enhorabuena al Dr. @josemjover que acaba de ser nombrado secretario de la nueva Junta Directiva de @facme_es ¡Felicidades !👏
1
5
18