Young Kim Profile
Young Kim

@2YoungKim

Followers
48
Following
237
Media
1
Statuses
175

Joined May 2018
Don't wanna be here? Send us removal request.
@liamihorne
Liam Horne
1 year
Feels like 2025 will reshape the blockchain industry. Major apps will come onchain with distribution; chains, stablecoins, and ramps will commoditize; and the US will open up on the regulatory side causing a massive influx of assets, liquidity, and use cases. Can't wait! :)
20
9
123
@Stake_Stone
StakeStone
2 years
๐ŸŽ‰Omnichain Carnival Wave 1 is now live with early access! TL;DR -Early access for Wave 1 starts on 3/26 at 14:00 UTC and lasts for 4 days -Register during early access to receive a 15% bonus in wave 1 -3% of the total supply will be allocated in Wave 1. Lead Wave 1 with extra
7K
64K
20K
@0xInuarashi
0xInuarashi
2 years
I've been working on something that I believe has the power to revolutionize the current NFT industry. A revisited idea, and my own take - introducing SFT A semi-fungible token paradigm.
78
76
320
@cointrainer
Hamin
2 years
๋ธ”๋ผ์ŠคํŠธ๊ฐ€ ๋ณด์—ฌ์ฃผ๋Š” L2์˜ ์˜๋ฏธ 1/ ์ˆ˜ ๋งŽ์€ L2๋“ค์ด ๋‚˜์˜ค๊ณ  ์žˆ์ง€๋งŒ ์†”์งํ•˜๊ฒŒ ๊ฐ L2์˜ ํŠน์ƒ‰๋“ค์€ ์ฐพ์•„๋ณด๊ธฐ ํž˜๋“ค๋‹ค. ๋Œ€๋ถ€๋ถ„์˜ L2๋“ค์—๋Š” ์œ ๋‹ˆ์Šค์™‘์ด ์žˆ๊ฑฐ๋‚˜ ํฌํฌ ๋œ ์œ ๋‹ˆ์Šค์™‘์ด ์žˆ์„ ๋ฟ์ด๋ฉฐ ์•„๋ฒ ๋‚˜ ์ปดํŒŒ์šด๋“œ๊ฐ€ ์žˆ๊ฑฐ๋‚˜ ํฌํฌ ๋œ ์•„๋ฒ ๋‚˜ ์ปดํŒŒ์šด๋“œ๊ฐ€ ์žˆ์„ ๋ฟ์ด๋‹ค.
1
12
34
@aaliya_va
Aaliya
2 years
Faceless YouTube channels can make you $6000/month. But 99% of people donโ€™t know how to get started. So I built the "1000 Faceless YouTube Channels Ideas" for you. Just: - Like this post - Repost (RT) it - Comment "Send" and I will DM you. Must Follow @aaliya_va
368
222
353
@atiselsts_eth
atiselsts.eth
2 years
DEX research paper review: Non-Atomic Arbitrage in Decentralized Finance https://t.co/I0qe6deDd1 by @liobaheimbach and others. This is a paper about how does CEX/DEX arbitrage look on the blockchain, how to identify it, and who exactly controls it.
Tweet card summary image
arxiv.org
The prevalence of maximal extractable value (MEV) in the Ethereum ecosystem has led to a characterization of the latter as a dark forest. Studies of MEV have thus far largely been restricted to...
4
39
163
@BitMEXResearch
BitMEX Research
2 years
ETF Day 1 Flow - UPDATE Finally the GBTC number is out. GBTC has $95m of outflow Total net flow for the day into the new ETFs was $625.8m Bitwise was the victor for day 1
78
169
684
@eesee_io
eesee.io
2 years
1/ Major Leap Forward for eesee! We've successfully closed our funding rounds, backed by leading investors and partners. This marks a new era in our journey to innovate in the area of Digital Assets and Web3, making them user centric and accessible to everyone!
16K
62K
45K
@vaneck_us
VanEck
2 years
Born to Bitcoin. ๐Ÿงก
264
1K
4K
@ChampionsVerse
Champions Tactics
2 years
Champions Tactics Grimoria Chronicles๐Ÿ’€ โ€ข Create Unique Champions โ€ข Assemble your team โ€ข Become a Worldwide Legend โ€ข Tactical Play-to-Win Craft Your Legend : https://t.co/JtGps4D653 #ChampionsTactics #Ubisoft #CraftYourLegend #TacticalRPG #game #Web3 #NFT #Web3gaming
4K
3K
4K
@jarrodwatts
Jarrod Watts
2 years
"Blast is just a 3/5 multisig..." I spent the past few days diving into the source code to see if this statement is actually true. Here's everything I learned:
90
268
1K
@0xFinish
Finish ๐Ÿ
2 years
The next bull run catalyst is set - RWAs ๐Ÿณ After months of research, I am betting big with my WHOLE portfolio! Underexposed protocols that could bring 5000% returns in 1 year ๐Ÿงต
54
84
440
@atiselsts_eth
atiselsts.eth
2 years
This is my attempt to classify Uni v2 USDC/WETH swaps by receiver address. Most of the pie chart is grey - the receiver is another pool address. These are likely to be either retail or internal arbs. It looks very likely there's enough non-toxic flow for Uni v2 LPs make profit.
1
2
10
@LinusEkenstam
Linus โœฆ Ekenstam
2 years
Prototyping for Vision Pro with Figma A little app by @alexwidua that allows you to take frames from @figma and place them anywhere in 3D space The 3D Figma content stays connected to Figma and updates persist in the spatial scene ๐Ÿ˜ฑ๐Ÿคฏ
63
578
4K
@NathanYJLee
Nathan | Factomind
2 years
์ง€๊ธˆ ๊ฑฐ์‹œ๊ฒฝ์ œ๋ฅผ ์ดํ•ดํ•˜๊ธฐ ์œ„ํ•ด ๊ผญ ์•Œ์•„์•ผ ํ•  ์ฑ„๊ถŒ ์ˆ˜์ต๋ฅ  ๊ณก์„ ์— ๋Œ€ํ•œ ์ด์•ผ๊ธฐ ์šฐ๋ฆฌ๊ฐ€ ํœด์ผ์„ ๋ณด๋‚ด๋Š” ๋™์•ˆ ๊ฐ๊ตญ์˜ ํ™˜์œจ๊ณผ ๋ฏธ๊ตญ ์ฑ„๊ถŒ ์ˆ˜์ต๋ฅ ์ด ๊ฝค๋‚˜ ๊ธ‰๊ฒฉํ•œ ์›€์ง์ž„์„ ๊ณ„์† ์ด์–ด ๋‚˜๊ฐ€๋Š” ์ค‘. ๊ทธ ์ค‘ ํŠนํžˆ ๋ˆˆ์—ฌ๊ฒจ ๋ณด์•„์•ผ ํ•  ์ง€ํ‘œ๋Š” 10๋…„๋งŒ๊ธฐ ๋ฏธ๊ตญ ๊ตญ์ฑ„์˜ ์ˆ˜์ต๋ฅ  (yield), ๊ทธ๋ฆฌ๊ณ  ์ˆ˜์ต๋ฅ  ๊ณก์„ 
12
233
468
@SoyFady
Fady Raad โšก
2 years
La IA nos permite romper con la barrera del idioma al momento de crear contenido ๐Ÿ‡บ๐Ÿ‡ฒ๐Ÿ‡ฉ๐Ÿ‡ช๐Ÿ‡ฏ๐Ÿ‡ต๐Ÿ‡ต๐Ÿ‡น๐Ÿ‡ซ๐Ÿ‡ท La herramienta @HeyGen_Official ha lanzado una nueva funciรณn que me ha volado por completo la cabeza. Clona tu voz para hacer doblaje de tus videos y hace una sincronizaciรณn labial BRUTAL
1
3
9
@LinusEkenstam
Linus โœฆ Ekenstam
2 years
Full video in Korean To all my Korean friends, rate it below
33
402
675
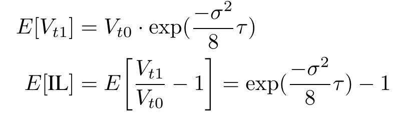
@atiselsts_eth
atiselsts.eth
2 years
1/4 What is impermanent loss, really? It's the reason why LPs lose against holders when the price moves, most would say. But there's more. If holding the asset has zero EV under geometric Brownian motion, the value of a LP's principal itself is expected to go down with time ฯ„!
2
4
30
@atiselsts_eth
atiselsts.eth
2 years
2/4 Holders are expected to have no losses, EV[IL] is nonzero, so the LP must have some losses, but where do they come from? Price movement is non-ergodic. The average return is zero, but most of the gains come from a few extreme winners. The median outcome is negative.
1
1
3